JBCS



22:17, dom nov 16

Acesso Aberto/TP



Artigo


Imobilização de lipase por encapsulação em sílica aerogel
Immobilization of lipase by encapsulation in silica aerogel

Anderson dos S. BarbosaI; Matheus Albuquerque de O. SilvaI; Nayara B. CarvalhoI; Silvana MattediII; Miguel Angel IglesiasII; Alini T. FricksI; Alvaro S. LimaI; Elton FranceschiI; Cleide M. F. SoaresI,*

IInstituto de Tecnologia e Pesquisa, Universidade Tiradentes, 49032-490 Aracaju - SE, Brasil
IIDepartamento de Engenharia Química, Universidade Ferderal da Bahia, 40210-630 Salvador - BA, Brasil

Recebido em 06/11/2013
Aceito em 25/02/2014
Publicado na web em 11/06/2014

Endereço para correspondência

*e-mail: cleide.soares@pq.cnpq.br

RESUMO

Lipase from Burkholderia cepacia was immobilized in a silica matrix and dried in high pressure carbon dioxide media (aerogel). The protic ionic liquid (PIL) was used in the immobilization process by encapsulation. The objective of this work was to evaluate the influence of the drying technique using supercritical carbon dioxide in biocatalysts obtained through the sol-gel technique by evaluating temperature and pressure and, after selecting the best drying conditions, to investigate the application of the technique for the biocatalyst using ionic liquid as an additive in the immobilization process. The results for immobilized biocatalysts showed that the best conditions of pressure and temperature were 100 bar and 25 ºC, respectively, giving a total activity recovery yield of 37.27% without PIL (EN) and 44.23% with PIL (ENLI). The operational stability of the biocatalysts showed a half-life of 11.4 h for ENLI and 6 h for EN. Therefore, solvent extraction using supercritical CO2, besides shortening drying time, offers little resistance to the immobilization of lipases, since their macropores provide ample room for their molecules. The use of the ionic liquid as an additive in the process studied for the immobilization of enzymes produced attractive yields for immobilization and therefore has potential for industrial applications in the hydrolysis of vegetable oils.

Palavras-chave: aerogel; immobilization; lipase.

INTRODUÇÃO

As lipases são enzimas que catalisam reações de esterificação, interesterificação, hidrólise, entre outras. Por serem altamente seletivas, essas enzimas são biocatalisadores aplicáveis à produção de diferentes produtos, tais como lipídeos nutracêuticos. Para ampliar sua aplicação em reações de síntese, métodos eficientes de imobilização devem ser estudados, de modo a se reduzir os custos do processo.1-3 A utilização de biocatalisadores imobilizados possibilita também uma melhor estabilidade operacional, separação dos produtos do meio reacional com maior facilidade, além de melhorar a eficiência catalítica da enzima.4

Na literatura são encontrados diversos métodos para a imobilização da enzima lipase, tais como a adsorção ou ligação covalente em suportes sólidos, e a encapsulação em matrizes poliméricas obtidas pela técnica sol-gel.1,5-6 A utilização de matrizes sol-gel para a encapsulação de enzimas permite a estabilização da estrutura terciária da proteína, devido à reticulação do gel.6 O procedimento típico do método sol-gel envolve reações de hidrólise e policondensação com a solução de lipase, a água, o alcoóxido e o ácido. O aerogel é uma classe de sólidos extremamente leves e resistentes, com uma elevada área superficial específica, obtida a partir da técnica sol-gel. Geralmente é extremamente poroso com uma área de superfície específica muito alta, baixa densidade e condutividade térmica e bons índices de refração. Por essas características ele se torna um suporte muito interessante e viável para a imobilização de biomoléculas.7 Os primeiros estudos realizados para a extração de água e solventes dos poros do gel úmido obtido a partir da técnica sol-gel por dióxido de carbono (CO2) no meio supercrítico foi realizado por Tewari et al..8 O CO2 é um solvente promissor para este processo de secagem, pois possui propriedades críticas amenas evitando a desnaturação das enzimas.1

Reetz et al.1 e Pierre & Buisson2 ressaltam diferentes desempenhos dos biocatalisadores imobilizados a partir da técnica sol-gel devido à forma de secagem, como por exemplo a sílica xerogel, cuja secagem se dá por evaporação, e aerogel, cuja secagem se dá em meio supercrítico. Alguns estudos demonstraram que a atividade enzimática de biocatalisadores imobilizados apresentam melhores resultados quando a secagem é realizada em meio supercrítico. O biocatalisador imobilizado neste caso também é denominado aerogel.1,9-11 Segundo a literatura, a associação do método de encapsulação com a extração da água e solventes em meio pressurizado tem um efeito positivo, já que as contrações capilares do reticulado de sílica (SiO2) são evitados, possibilitando dessa forma melhores atividades quando comparadas com outras técnicas de secagem.12

A aplicação de aditivos durante o processo de síntese de suportes e biocatalisadores imobilizados é uma área de pesquisa ainda recente, pois uma das principais funções dos mesmos é a formação de uma matriz ordenada na síntese de sol-gel, que além de poder proteger as enzimas da inativação por diversos efeitos durante o processo de imobilização, pode também aumentar a sua estabilidade operacional.11,13,14 Contudo, estudos envolvendo a síntese da matriz hidrofóbica com secagem em meio pressurizado com a adição de líquidos iônicos para imobilização de lipases através de diversas técnicas ainda são muito escassos. A partir desta perspectiva, ainda deve-se ressaltar que estudos utilizando líquidos iônicos próticos para a síntese do suporte associado à imobilização de enzimas com a secagem em meio pressurizado até o presente momento é inédito na literatura. No caso dos xerogéis a utilização de uma matriz revestida com o líquido iônico prótico apresenta estudos recentes na literatura, nos quais se sugeriu que o uso deste aditivo permite o aumento dos poros e penetração da lipase em seu interior, e dessa forma eleva a carga de enzimas encapsuladas e, consequentemente, favorece o aumento da recuperação da atividade de acordo com estudos realizados.6,15-16

Até o presente momento, na literatura relata-se o uso de polivinialcool, polietinoglicol e líquidos iônicos apróticos (1-butil-3-metilimidazólio-tetrafluoroborato/C8H15BF4N2 e 1-butil-4-metilpirimídico-tetrafluoroborato/C10H16BF4N) como aditivos para enzimas imobilizadas por encapsulação em aerogéis utilizando diferentes tipos de lipase.9-11 Para aerogéis, a literatura relata que o uso da solução de lipase comercial de Candida antártica (LCA) encapsulada em aerogel de sílica reforçado com fibras de quartzo na presença dos LIs 1-butil-3-metilimidazólio-tetrafluoroborato (C8H15BF4N2) e 1-butil-4-metilpirimídico-tetrafluoroborato (C10H16BF4N) apresentou 90% de conversão de biodiesel em reação de 50 h à 40 ºC.11

Dentre os aditivos ainda não utilizados no preparo de aerogéis podem-se citar os líquidos iônicos próticos (LIP's) obtidos a partir de aminas, ácidos orgânicos e inorgânicos, que se diferem dos apróticos principalmente por apresentar pelo menos um próton capaz de promover interações de hidrogênio extensa, simples métodos de síntese e purificação, além de possuir baixo custo, o que favorece o interesse industrial. Os líquidos iônicos próticos têm apresentado uma melhor atividade e enantioseletividade para lipases devido à sua biocompatibilidade com as mesmas e trabalhos recentes confirmam tal efeito positivo para xerogéis utillizando líquidos iônicos próticos.6,17,18

Dentro deste contexto, este trabalho tem como objetivo avaliar a influência das condições de secagem em meio pressurizado de biocatalisadores imobilizados pelo método de encapsulação utilizando a técnica sol-gel na presença e ausência de líquidos iônicos próticos em relação à recuperação de atividade e à estabilidade operacional na reação de hidrólise do azeite de oliva.

 

PARTE EXPERIMENTAL

Materiais

A lipase utilizada nas preparações de imobilização empregando a técnica sol-gel é de origem microbiana de Burkholderia cepacia (BC). As lipases foram adquiridas da Sigma Co, St. Louis, MO, EUA, com atividade média de 322 U g-1 enzima (sólido em pH 7,0) e teor de proteína de 67,73 mg g-1 sólido. O precursor utilizado para a síntese dos suportes de imobilização foi o tetraetilortossilicato-TEOS (C8H20O4Si), adquirido da Sigma Aldrich Co (Milwaukee, WI, EUA), e o líquido iônico prótico (Ácido Pentanóico N-metilmonoetanolamina), gentilmente cedido pela Drª Silvana Mattedi do Departamento de Engenharia Química da Universidade Federal da Bahia. Os outros reagentes utilizados foram: Hexano p.a., 99% (Synth, Brasil); Heptano p.a., 99% (Synth, Brasil); Hidróxido de Amônio p.a., 27% (Synth, Brasil); Etanol comercial, 99,5%; Dióxido de carbono (White Martins, Brasil), 99% de pureza na fase líquida; Sódio Metálico (Riedel-de Häen AG, Alemanha); Solução de Karl Fisher isenta de Piridina (Merck, Alemanha); goma arábica em pó, pura (Synth, Brasil). O substrato utilizado para as reações de hidrólise foi o óleo de oliva comercial extra virgem com baixa acidez (Carbonell). Todos os demais reagentes utilizados são de grau analítico.

Síntese da matriz e dos biocatalisadores imobilizados

A matriz e os biocatalisadores imobilizados foram obtidos a partir da técnica sol-gel utilizando o precursor TEOS. O TEOS, por ser altamente higroscópico, foi manipulado, durante a pesagem e preparação das soluções (diluição), em ambiente de atmosfera inerte de nitrogênio controlada. A metodologia de preparo do biocatalisador fundamentou-se no procedimento descrito por Soares et al.,19,20 com as seguintes modificações: o TEOS foi diluído em etanol absoluto (99%) em atmosfera inerte de nitrogênio e a solução etanólica foi transferida para um balão de três bocas de 250 mL, e o sistema imerso em banho de glicerina. Posteriormente, a solução etanólica foi mantida sob agitação (100 rpm) durante aproximadamente 5 min à temperatura ambiente. A esta solução foram adicionados lentamente (gota a gota), por meio de funil de adição, 0,22 mL de ácido clorídrico (36%) diluídos em 5 mL de água ultrapura (solução pré-hidrolisante), a qual foi transferida para o balão de três bocas, aquecido a uma temperatura de 35 ºC. As quantidades de água, tetraetilortossilicato e ácido clorídrico foram calculadas obedecendo a proporção molar: nH2O:nTEOS:nHCl (1:1:1,5).

Após a adição completa da solução pré-hidrolisante, a temperatura foi mantida a 35 ºC e sob agitação (100 rpm) durante 90 min. Em seguida foram adicionados 2,70 g de enzima dissolvida em 10 mL de água ultra-pura. No caso dos biocatalisadores imobilizados com aditivo, a solução enzimática é adicionada juntamente com o líquido iônico prótico, 1% v v-1, conforme descrito por Souza et al..6 O LIP foi escolhido de acordo com trabalhos realizados previamente, nos quais dentre os LIP's da família N-Metilmonoetanolamina, o C5, por possuir uma maior cadeia alquílica caracterizando-o como o mais hidrofóbico dos testados, apresentou melhores resultados de recupareção de atividades em reação de hidrólise do azeite de oliva.6

Por último, foi adicionado lentamente (com o funil de adição) 1 mL de hidróxido de amônio (28%) diluído em 6 mL de etanol absoluto (solução hidrolisante, 1:6), obtendo-se uma solução homogênea transparente. A solução então permanece em repouso à temperatura de 35 ºC durante 60 minutos.

Secagem dos biocatalisadores imobilizados

A secagem dos biocatalisadores imobilizados na matriz sol-gel foi realizada empregando dióxido de carbono (CO2) pressurizado em condições sub e supercríticas. Previamente aos experimentos de secagem com CO2 pressurizado, os biocatalisadores imobilizados eram lavados com 60 mL de hexano, para a retirada do excesso de outros solventes. Os experimentos de secagem foram realizados em duas etapas.

Na primeira etapa foi avaliado o tempo de secagem para a obtenção do aerogel do biocatalisador imobilizado obtido por encapsulação. A escolha dessa faixa de tempo foi determinada pelo tempo de secagem de aerogéis encontrado na literatura,21 que foi de 4 h, e a partir deste valor, dois tempos maiores foram selecionados, 6 e 8 h. Cada ensaio com a variação do tempo foi realizado em triplicata em condições de temperatura e pressão constantes de 40 ºC e 175 bar, respectivamente. A vazão de CO2 foi mantida constante em 2 mL min-1, valor este comumente utilizado na literatura.21

Na segunda etapa foram avaliadas diferentes condições de temperatura e pressão na secagem para a obtenção do aerogel a partir do delineamento experimental descrito na Tabela 1, com o tempo de secagem selecionado na etapa anterior. A escolha dos valores de pressão (100 a 250) bar, e temperatura (25 a 55) ºC foi realizada levando-se em consideração a densidade do dióxido de carbono em cada condição de temperatura e pressão, calculada empregando a equação de estado de Peng-Robinson.22 Para estes experimentos, a vazão de CO2 foi mantida constante a 2 mL min-1. Os experimentos no ponto central (40 ºC e 175 bar) foram realizados durante o estudo do tempo de secagem, já que a determinação do tempo foi realizada nessas condições em triplicata.

 

 

Após a seleção da melhor condição de secagem dos sistemas imobilizados por encapsulação verificou-se a influência do uso do líquido iônico prótico com a finalidade de aumentar a estabilidade do suporte e do biocatalisador imobilizado. Todos os biocatalisadores imobilizados preparados utilizando líquido iônico como adjuvante foram submetidos à secagem em dióxido de carbono pressurizado conforme descrito no item a seguir. Após cada experimento de secagem o teor de água na matriz aerogel contendo o biocatalisador imobilizado era determinado utilizando-se um titulador potenciométrico 870KF Tritino Plus (Metrohm) com solução de Karl Fisher coulométrico. A avaliação da eficiência da obtenção do aerogel foi determinada em função da recuperação de atividade na reação de hidrólise do azeite de oliva.

Aparato e procedimento experimental de secagem em CO2 pressurizado

Após o processo de policondensação, a secagem foi realizada empregando o dióxido de carbono sub e supercrítico, mas antecedida por uma lavagem em triplicata com 60 ml de hexano, para a retirada do excesso de outros solventes.

Para os suportes e os biocatalisadores imobilizados, após a lavagem do material, foi realizada a extração em meio pressurizado para retirar o excesso de água e solventes. Inicialmente, a secagem empregando CO2 foi realizada com condições fixas de temperatura e pressão (40 ºC e 175 bar, respectivamente), referente ao ponto central do plano experimental, nos tempos de 4, 6 e 8 h para determinar a melhor condição de tempo de secagem. Após determinado o melhor tempo de secagem, foram realizados os demais experimentos do plano experimental sempre em triplicata. A vazão de CO2 foi mantida constante em 2 mL min-1, valor este comumente utilizado na literatura.21 Posteriormente foram realizadas as preparações dos biocatalisadores com os líquidos iônicos e a secagem empregando CO2 pressurizado.

O aparato experimental utilizado para a consecução dos experimentos de secagem do sol-gel empregando CO2 pressurizado é apresentado na Figura 1 e está disponível no Núcleo de Estudos em Sistemas Coloidais (NUESC/ITP/UNIT).

 


Figura 1. Aparato experimental utilizado para a consecução dos experimentos de secagem do sol-gel empregando CO2 pressurizado

 

O esquema do aparato segue as seguintes especificações de seus constituintes:

C1 - Cilindro de gás. Armazenamento de CO2 empregado como solvente nos experimentos de secagem do sol-gel;

V1 - Válvula de esfera (Marca Swagelok, Modelo SS-83KS4, Pressão de operação até 410 bar à temperatura ambiente). Quando aberta, esta válvula permite o fluxo do CO2 proveniente do cilindro para a bomba de alta pressão tipo seringa.

BS - Bomba de alta pressão tipo seringa (Teledyne ISCO, modelo 500D). Este tipo de bomba possui um cilindro interno com capacidade de aproximadamente 500 mL, pressão de trabalho de até 258 bar e vazão máxima de 170 mL min-1, permitindo operação tanto à pressão quanto à fluxo constante.

BR1 - Banho ultratermostático de recirculação (Julabo, modelo F32). Utilizado para manter a temperatura constante na camisa da bomba tipo seringa.

CV1 - Válvula de uma via (Check-Valve Marca HIP, Modelo 15-41AF1-T, Pressão de operação até 1034 bar). Este tipo de válvula permite o fluxo em um único sentido. É utilizada entre a bomba tipo seringa e a câmara de secagem para impedir que haja refluxo do extrator para a bomba e consequente contaminação do fluido que está armazenado na bomba.

TP - Transdutor de pressão de volume zero (Marca HUBA, Modelo LD 301). É conectado à linha a união tipo T e o extrator para monitorar a pressão no interior deste. Foi utilizado um transdutor de pressão absoluto com faixa de operação de 0 - 450 bar para medida da pressão do sistema. De acordo com especificação de fábrica, a precisão do equipamento é de 0,125% da faixa operacional (0,31 bar);

IP - Indicador universal (Marca NOVUS, Modelo N1500). Os valores de pressão são coletados em um indicador universal que recebe um sinal digital do TP indicando a pressão na linha e na câmara de secagem;

CS - Câmara de secagem ou extrator. Vaso cilíndrico de aço inox 316 encamisado com diâmetro interno de 2 cm e volume aproximado 125 mL. A câmara de secagem possui uma entrada na parte superior e uma saída na parte inferior. A vedação na parte superior e inferior é feita por meio de tampas com roscas e anéis de Teflon®. Ambas as tampas possuem comunicação com as linhas de entrada (parte superior) e de saída (parte inferior) a partir de conexões tipo "metal-metal". Esta câmara possui sedes na parte superior e inferior nas quais são inseridos filtros de aço sinterizado para evitar que haja arraste de material sólido para as linhas.

BR2 - Banho ultratermostático de recirculação (Quimis, modelo Q-214M2). Utilizado para manter a temperatura constante na camisa e consequentemente no interior da câmara de secagem no valor desejado, a depender da condição experimental.

VA e linha pontilhada - Válvula métrica tipo agulha (Marca HIP, Modelo 15-11AF2, pressão de operação até 1034 bar). O objetivo desta válvula é controlar a vazão de solvente da bomba tipo seringa no interior da câmara de secagem bem como a despressurização da mistura na saída da câmara. Esta válvula permite uma abertura gradual possibilitando uma regulagem fina da vazão na saída da câmara, e consequentemente a coleta do material extraído. Para permitir um melhor controle da abertura da válvula VA bem como da vazão da mistura que sai da câmara de secagem, um sistema de aquecimento foi acoplado a esta válvula. Para tal foi utilizada uma fita de aquecimento (Marca FISATOM, Modelo 5, 200 W de potência) acoplada a um controlador PID - CT. A válvula VA é envolta pela fita de aquecimento, sendo um termopar tipo J inserido entre o corpo da válvula e a fita de aquecimento para servir como elemento de alimentação do controlador de temperatura. A manutenção de uma temperatura alta (80 ºC) impede o congelamento da válvula pelo efeito Joule-Thompson, permitindo um maior controle na vazão.

Na metodologia utilizada para a secagem do sol-gel em meio pressurizado, o procedimento foi realizado como segue. Inicialmente, a parte inferior da câmara foi fechada juntamente com a colocação de um filtro de aço sinterizado, sobreposto com um filtro de papel, para impedir a passagem do material. Após este passo, o sistema imobilizado foi acondicionado no interior da mesma e a abertura superior do extrator foi então fechada com a tampa. O banho de recirculação (BR2) utilizado para manter a temperatura no extrator foi então ligado e a temperatura experimental ajustada no mesmo. Quando a temperatura experimental atingiu o valor estabelecido, foi iniciado o bombeamento do CO2 para dentro da câmara com o auxílio da bomba BS até a pressão estabelecida no planejamento experimental. Atingida esta pressão e com a temperatura constante no valor desejado, o sistema foi deixado estático por 10 minutos com o objetivo de permitir a absorção do solvente pela matriz. Durante este tempo de espera, o sistema de aquecimento da válvula VA foi acionado, atingindo 80 ºC. Decorridos os 10 minutos, a válvula VA foi gradualmente aberta até uma vazão constante de 2 mL min-1, permitindo a retirada da solvente da matriz juntamente com o CO2. A abertura desta válvula foi feita de tal maneira a permitir o controle da pressão do sistema que era monitorada na bomba de seringa bem como através do transdutor de pressão (TP) e indicador universal (IP).

Finalizado o experimento depois do tempo de secagem determinado, o sistema imobilizado seco foi retirado da câmara de secagem, pesado, e o frasco foi acondicionado em geladeira para as posteriores análises.

Determinação da atividade hidrolítica

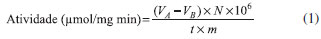
A atividade enzimática da lipase na forma livre e imobilizada foi determinada pelo método de hidrólise do azeite de oliva de acordo com o procedimento descrito por Soares et al.,23 com algumas modificações. O substrato foi preparado a partir de uma emulsão contendo 50 mL de azeite de oliva e 50 mL de goma arábica a 7% em água. Em frascos Erlenmeyer de 125 mL foram adicionados: 5 mL de substrato, 2 mL de solução tampão fosfato de sódio (0,1 M, pH 7,0) e 1 mL da solução enzimática diluída em tampão (5 mg/mL) ou cerca de 100 mg de lipase imobilizada (massa seca). Os frascos foram incubados a 37 ºC por 10 minutos com o biocatalisador imobilizado em matriz hidrofóbica em banho termostatizado com agitação. Após o período de incubação, a reação foi paralisada pela adição de 2 mL de solução acetonólica 1:1:1 (acetona, etanol (99%) e água destilada). Os ácidos graxos liberados foram titulados com solução de KOH 0,0332 N, utilizando fenolftaleína como indicador (3 gotas). Os cálculos foram realizados pela Equação (1) e uma unidade de atividade foi definida como a quantidade de enzima que libera 1 µmol de ácido graxo por minuto de reação, nas condições do ensaio. As atividades foram expressas em µmol mg-1 min-1 (U).

 

 

em que: m - massa seca de enzima livre ou imobilizada (pó) (mg); N - normalidade da solução de KOH (N); t - tempo de reação (min); VA - volume de KOH gasto na titulação da amostra (mL); VB - volume do KOH gasto na titulação do controle (mL)

Recuperação de atividade

A recuperação de atividade (RA%) foi calculada pela equação 2:

 

 

em que: U0 = unidades de atividade oferecidas para a imobilização; Us = unidades de atividade enzimática total presente no suporte (atividade x massa de biocatalisador imobilizado - base seca)

Estabilidade operacional

A estabilidade operacional do biocatalisador imobilizado na presença e ausência de líquido iônico foi determinada em reações de hidrólise de azeite de oliva em regime de bateladas consecutivas com reutilização do sistema imobilizado. Neste estudo empregou-se, em todas as bateladas, a mesma massa de biocatalisador imobilizado. Foram realizadas bateladas de 30 minutos cada uma, à temperatura de 37 ºC, monitoradas nos tempos iguais a zero e 30 min para o biocatalisador imobilizado obtido a partir do precursor TEOS. Entre as bateladas, a lipase imobilizada foi lavada com hexano (30 mL) para remoção dos reagentes e produtos eventualmente retidos no suporte. Após 2 h, tempo necessário para a evaporação do solvente, a lipase imobilizada era reutilizada em uma outra reação com um novo substrato na mesma concentração do utilizado na reação anterior.

 

RESULTADOS E DISCUSSÃO

Secagem das matrizes e biocatalisadores imobilizados

Para a avaliação do tempo de secagem do sol-gel em função da recuperação da atividade foram estabelecidas as condições de temperatura e pressão em 40 ºC e 175 bar, respectivamente.

Nas condições descritas acima, a extração de água e dos solventes dos biocatalisadores imobilizados com CO2 pressurizado (aerogel) foi realizada inicialmente em tempos de 4, 6 e 8 h (Figura 2). De acordo com os resultados observados na Figura 2, a maior recuperação de atividade (30,52% ± 1,3) foi no tempo de 6 h. A diminuição da atividade enzimática em função do tempo de secagem do biocatalisador pode ser atribuída a interações enzima-solvente com dióxido de carbono pressurizado durante o processo, devido à formação de complexos covalentes com os grupos amino livres na superfície da enzima para a forma de carbamatos, que resulta na remoção de resíduos de histidina, contribuindo com a perda de atividade.24,25

 


Figura 2. Recuperação de atividade hidrolítica (RA%) para a lipase BC empregando diferentes tempos de secagem do biocatalisador imobilizado por encapsulação pela técnica sol-gel em meio supercrítico

 

O perfil dos resultados obtidos está de acordo com o descrito na literatura em que é relatado um comportamento diferenciado entre a secagem tradicional com evaporação e a secagem por fluido supercrítico para os biocatalisadores imobilizados.7,9-11 De acordo com os resultados descritos por Soares et al.,19 há uma variação na recuperação de atividade de lipases de Candida rugosa (LCR) na hidrólise do azeite de oliva de 52% para 100% com a variação da pressão ambiente para 120 bar e o tempo de secagem de 10 para 15 h da extração de água por fluido supercrítico. Segundo Kharrat et al.,26 os aerogéis proporcionam uma maior estabilidade da enzima devido a sua porosidade, o que protege a conformação tridimensional da lipase Rizhopus oryzae imobilizada por adsorção física e o local ativo, de qualquer distorção ou alterações estruturais que podem afetar a sua atividade catalítica. Contudo, podemos verificar que para a lipase BC imobilizada pela técnica sol-gel o tempo de secagem influencia na recuperação da atividade. Por fim, para cada caso de formação de aerogel não se pode afirmar que a metodologia proporciona a melhor estabilidade da enzima devido à sua porosidade sem considerar o tempo de extração e outros parâmetros como, por exemplo, a pressão e a temperatura.

Planejamento experimental empregando o melhor tempo de secagem

Após a seleção do melhor tempo de secagem (6 h) para a obtenção do aerogel, na qual se obteve a melhor recuperação de atividade da lipase BC encapsulada em matrizes obtidas pela técnica sol-gel, foi verificado que os teores de umidade obtidos foram similares àqueles observados quando foi utilizado o método tradicional por evaporação realizada em 72 horas de secagem para a obtenção do xerogel quando comparadas com lipases imobilizadas com a mesma metodologia.5,6,27

Na segunda etapa deste estudo foram avaliadas as condições de temperatura (X1) e pressão (X2) de acordo com o delineamento experimental apresentado na Tabela 1, com a finalidade de determinar as melhores condições de secagem do sol-gel empregando dióxido de carbono pressurizado. Os valores descodificados foram: temperaturas de 25 a 55 ºC e pressões de 100 a 250 bar. Para o sistema estudado, o sinal (+) representa o maior nível de temperatura ou pressão, o sinal (-) refere-se ao menor nível das mesmas variáveis e (0) o ponto médio destas.

A matriz experimental e os resultados da atividade hidrolítica dos biocatalisadores são mostrados na Tabela 1. É possível observar nesta tabela que a maior recuperação de atividade como variável dependente na avaliação do processo de secagem foi obtida pelo biocatalisador imobilizado nos menores níveis das variáveis independentes, isto é, na menor temperatura (25 ºC) e pressão (100 bar).

As recuperações de atividade (RA%) nos ensaios com maior temperatura (55 ºC) apresentaram desempenho inferior quando comparados aos ensaios com menores temperaturas, cujos valores de RA decaíram de 37,27% para 15,54% (Tabela 1). A Tabela 2 reúne os dados de análise dos efeitos, estimativa de erro padrão e o valor de p (teste estatístico para estimativa do intervalo de confiança do modelo). Os valores de p indicam que somente a temperatura (X1) apresentou influência significativa, enquanto o efeito da pressão (X2) não apresentou um efeito significativo ao nível de 99% de confiança. Estes resultados sugerem que a recuperação de atividade depende significativamente da temperatura e possui menor influência da pressão no estudo de secagem do biocatalisador imobilizado por encapsulação em matriz sol-gel conforme descrito na estimativa dos efeitos calculados na Tabela 2.

 

 

Baseando-se nos resultados adquiridos, na Tabela 1 e 2 observa-se uma relativa perda de recuperação de atividade dos biocatalisadores imobilizados em temperaturas superiores a 40 ºC. Resultados semelhantes foram obtidos por Soares et al..19 Apesar do aumento da temperatura normalmente proporcionar o aumento da velocidade de reação por unidade de atividade, no caso das enzimas, pode promover justamente a elevação da velocidade de desnaturação térmica enzimática.20 Segundo Oliveira et al.,27 a recuperação de atividade na reação de esterificação para a lipase Yarrowia lipolytica imobilizada em suporte hidrofóbico comercial (Accurel® MP 1000), utilizando o planejamento experimental como ferramenta para minimizar a quantidade de experimentos, ocorreu com o maior valor em níveis médios de temperatura (55 ºC) quando comparado aos níveis mais baixos (35 ºC) e mais altos (75 ºC).

Nas condições delineadas conforme descrito na literatura, foi utilizado o planejamento experimental neste estudo com a finalidade de minimizar o número de ensaios em função da determinação da região ótima do biocatalisador imobilizado em sílica aerogel.7,13 A análise de variância (ANOVA) para a recuperação de atividade no estudo de secagem dos biocatalisadores imobilizados é descrita na Tabela 3. O teste F foi altamente significativo para descrever os resultados através da superfície de resposta (Figura 3). Para a recuperação de atividade obteve-se um modelo de segunda ordem não significativo e de primeira ordem significativo, conforme observado na Tabela 3. Os parâmetros estatisticamente não significativos foram eliminados do modelo e adicionados ao resíduo (Equação 3).

 

 

 


Figura 3. Superfície resposta e curvas de contorno para a recuperação de atividade em função das variáveis pressão e temperatura

 

Após a realização da análise dos resultados do planejamento experimental obtidos a partir da avaliação da estimativa dos efeitos calculados (Tabela 2), da análise de variância (Tabela 3), da superfície resposta (Figura 3) e do gráfico de pareto (Figura 4), verificou-se também a interação entre a pressão e a temperatura, sendo possível observar que quando a temperatura é reduzida, a RA aumenta, justificando que a mesma apresentou influência significativa na recuperação de atividade. No gráfico de Pareto (Figura 4), os efeitos dos fatores sobre uma determinada variável, estimados a partir dos dados experimentais, são ordenados de forma decrescente da sua magnitude.

 


Figura 4. Gráfico de Pareto representando o efeito estimado dos fatores investigados sobre a secagem dos biocatalisadores imobilizados em função da temperatura, pressão e interação entre eles

 

A variável pressão, como demonstrado na Figura 3, diferentemente da temperatura, não apresentou efeito significativo, confirmando os resultados apresentados na Tabela 2, que mesmo com seus níveis mais baixos no planejamento experimental obteve resultados distintos quando oberva-se a relação com a temperatura. A 100 bar e 25 ºC obteve-se 37,27% de RA e, nessa mesma pressão, à 55 ºC, foi observado um valor inferior de 15,54% (Tabela 1).

A validade do modelo proposto verificada por meio da análise de variância (Tabela 3) constatou que a regressão obtida foi estatisticamente significativa (p < 0,01), apresentando um coeficiente de determinação (R2) de 0,77. Na região experimental testada o modelo é linear e o modelo estatístico determinado para a resposta estudada foi obtido por meio da regressão linear pelo método dos mínimos quadrados, sendo expresso pela equação (3):

 

 

na qual X1 representa o valor codificado para a temperatura.

Trabalhos realizados por Nakaya e colaboradores28 demonstraram que o dióxido de carbono pressurizado é bastante hidrofílico e que a diminuição da pressão eleva a hidrofilicidade, embora a solubilidade em água diminua simultaneamente. Deste modo, o dióxido de carbono pressurizado pode remover a água essencial do microambiente da enzima e causar a desativação da mesma devido ao particionamento de água desfavorável entre o suporte e o solvente. Em contrapartida, Steinberger et al.29 sugere que a estabilidade da enzima em dióxido de carbono supercrítico depende de sua estrutura terciária e de vários outros parâmetros, já que a exposição em condições altas de pressão e temperatura durante o processo pode inativar a enzima. Além disso, no passo inicial da inativação térmica a proteína perde certa quantidade de moléculas de água essenciais, fato muito importante para o desdobramento da enzima e resulta em muitos grupos funcionais expostos.30

Um aumento nos valores das variáveis dos níveis menores para os níveis maiores conduz a uma diminuição da atividade enzimática, indicando que os menores valores das variáveis investigados induzem uma maior recuperação de atividade.30 Com base nos resultados obtidos, observa-se um comportamento experimental definido, demonstrando em termos gerais que a diminuição da temperatura aumenta significativamente a recuperação de atividade. Pode-se observar a partir do diagrama de Pareto que a variável que mais influenciou para o aumento da recuperação da atividade foi a temperatura. O sinal negativo exibido na variável significa que quando passa de um nível +1 (55 ºC) para um nível -1 (25 ºC), aumenta a resposta (recuperação de atividade). Uma possível explicação para a estabilização da pressão contra inativação por calor são os efeitos opostos da pressão e da temperatura sobre a capacidade dos grupos funcionais da proteína de interagir com a água.30

Uso do líquido iônico prótico como aditivo no processo de imobilização

Nas condições de secagem da matriz hidrofóbica com a lipase BC imobilizada por encapsulação, verificou-se que, na melhor condição de secagem (25 ºC, 100 bar, 6 h), foi obtida uma recuperação de atividade de 37,27% (± 0,42). A partir desta condição foi sintetizado um biocatalisador imobilizado na presença de LIP. A maior recuperação de atividade na reação de hidrólise foi de 44,23% (± 0,89) com o sistema imobilizado na presença do aditivo, quando comparado ao biocatalisador imobilizado na ausência do líquido iônico prótico (LIP).

A partir dos resultados obtidos, pode-se sugerir que a atuação do aditivo no processo de imobilização promove um pequeno aumento na recuperação de atividade de 37,27% para 44,23%, promovendo a estabilização da enzima durante a liberação de álcool no processo de reticulação do alcóxido de silício na etapa de imobilização da enzima, além de proteger a matriz aerogel do encolhimento e do colapso dos poros do reticulado do gel. As interações de hidrogênio podem promover ligações fracas entre a enzima e o suporte conforme descrito na literatura no processo de adsorção física do biocatalisador e a sílica do aerogel, além do aprisionamento destas no processo de encapsulação.17 O uso de aditivos em suportes hidrofóbicos podem aumentar a quantidade e diâmetro dos poros da matriz sol-gel, que provoca uma mudança estrutural do mesmo, e dessa forma contribui para um melhoramento no desempenho da enzima devido à redução do bloqueio de algumas áreas e um efeito positivo na propriedade difusional suporte-enzima-substrato. O líquido iônico prótico (C5) foi testado nos ensaios de imobilização da lipase BC em géis de sílica hidrofóbica com secagem tradicional (xerogel) e foi verificado um grande aumento da recuperação de atividade.6

A presença do aditivo (C5) pode ter atuado da mesma maneira que o aditivo polivinilálcool (PVA) durante o processo de imobilização ou síntese do suporte, possivelmente, por modificar a hidrofobicidade do microambiente, exercendo influência no nível de umidade da lipase.31 A caracterização da influência da hidrofobicidade do LIP da família N-metilmonoetanolamina foi estudada previamente, sendo variadas a cadeia dos LIPs e a concentração, e verificou-se que quanto maior for a cadeia alquílica do LIP, maior é o caráter hidrofóbico que ele apresenta e melhor a eficiência na recuperação de atividade.6

Assim, o LIP utilizado neste estudo, por possuir um caráter hidrofóbico, possibilita a formação de uma camada de hidratação em torno da enzima favorecendo a atividade lipolítica e induzindo a água para mais próximo da enzima. Segundo Vila-Real et al.,16 líquidos iônicos de caráter hidrofílico, em meio não aquoso, podem inativar as lipases, já que a água é indispensável para a manutenção da conformação ativa da enzima. Zarcula et al.17 obtiveram resultados de recuperação de atividade superiores a 100% ao utilizar um líquido iônico aprótico de caráter mais hidrofóbico, o 1-octil-3-metilimidazolio tetrafluoroborato ([C8mim] [BF4]), na imobilização pela técnica sol-gel da lipase de Pseudomonas fluorescens.

Para xerogéis, estudos mostraram que a utilização de líquidos iônicos próticos proporcionam vários efeitos tanto no processo de síntese da matriz hidrofóbica como na manutenção da atividade catalítica da enzima. No estudo foram avaliados vários LIPs da família N-Metilmonoetanolamina e pôde-se observar que aquele com menor número de cadeias alquílicas na sua estrutura (C5), por apresentar caráter mais hidrofóbico, demonstrou maior eficiência na imobilização de lipase BC em suporte seco pelo método tradicional, com aumento de 35 vezes quando comparado com o biocatalisador imobilizado na ausência do LIP.6 A partir desses resultados foi escolhido o liquido iônico utilizado neste trabalho como aditivo, substituindo-se o xerogel pelo aerogel.

Na reação de hidrólise do substrato padrão azeite de oliva, foram verificadas na literatura diferentes aumentos nas recuperações de atividades na presença de aditivos, variando de 18% e 1526%, respectivamente para lipase de Candida rugosa (LCR) e lipase BC imobilizadas em matrizes hidrofóbicas xerogéis,6,20 apesar do uso de LIP no processo de imobilização de lipase BC por encapsulação na matriz hidrofóbica aerogel ter apresentado desempenho inferior ao xerogel obtido por Souza et al..6 Entretanto, ainda se faz necessário a avaliação da estabilidade operacional para se verificar o desempenho da lipase BC imobilizada em matriz hidrofóbica aerogel.

Estabilidade operacional

Neste estudo verificou-se menor recuperação da atividade da lipase BC imobilizada por encapsulação em suporte aerogel quando comparada ao xerogel. Contudo, a estabilidade operacional foi superior aos valores obtidos por Souza et al..32 Os resultados obtidos neste trabalho evidenciam o efeito estabilizante do LI testado (C5) e do método de secagem. No estudo da estabilidade operacional dos biocatalisadores imobilizados por encapsulação, na ausência e presença de LIP, na reação de hidrólise do azeite de oliva com secagem em meio pressurizado, observa-se que ocorre redução da atividade residual para os dois sistemas imobilizados (Figura 5). Nos biocatalisadores sintetizados na ausência de aditivo o tempo de meia-vida foi de 6,5 h, com 13 ciclos em batelada. Para os biocatalisadores imobilizados na presença de líquido iônico o tempo de meia-vida aumentou para 11,4 h, equivalente a 23 ciclos, o que comprova uma maior estabilidade operacional na presença do aditivo. É possível observar, também na Figura 5, um aumento relativamente grande da atividade residual na segunda reutilização quando comparada com a primeira, e que a atividade residual do biocatalisador imobilizado decresce nos demais ciclos. Este resultado pode ser explicado pela evacuação de impurezas, resíduos de proteínas ou até mesmo proteínas menores que a enzima, presentes na solução enzimática para o gel durante as sucessivas reações de reutilização.9-11

 


Figura 5. Teste de estabilidade operacional por batelada para lipase BC imobilizadas por encapsulação em matrizes hidrofóbicas aerogel na ausência e presença de LIP na reação de hidrólise do azeite de oliva com reciclos realizados a cada 30 minutos à 37 ºC

 

CONCLUSÃO

Diferentes tempos de secagem (4, 6 e 8 h) em meio pressurizado com diferentes condições de pressão (100, 175 e 250 bar) e temperatura (25, 40 e 55 ºC) foram utilizadas para a preparação de suportes puros e lipases de Burkhoderia cepacia imobilizadas em matriz aerogel, utilizando tetraetilortosilicato (TEOS) como precursor, na presença e ausência de líquido iônico prótico, e pode-se verificar que as condições do método de secagem na presença de LIP influenciam na recuperação de atividade e na estabilidade operacional da enzima. Os resultados mostraram que o melhor tempo de secagem para o biocatalisador imobilizado pela técnica sol-gel, dentro da faixa de valores investigada, foi 6 h com 30,52% de recuperação de atividade (RA) em reação de hidrólise do azeite de oliva, quando comparada com 4 e 8 h que obtiveram 14,91% e 8,18%, respectivamente. A partir da ferramenta planejamento experimental foi determinada que a melhor região das condições de secagem do biocatalisador imobilizado em meio pressurizado que foi de 25 ºC e 100 bar, com um aumento de 15,54% para 37,27% de recuperação de atividade. Após a determinação da melhor condição de secagem do biocatalisador imobilizado em matriz aerogel verificou-se também que o uso de líquido iônico prótico (C5) no processo de imobilização da lipase por encapsulação apresentou efeito positivo, elevando a recuperação de atividade 37,27% para 44,23%. A avaliação final do método de secagem e o uso de aditivo foram determinados pela estabilidade operacional em função da atividade residual, para os quais se obteve 11,4 h de tempo de meia-vida, correspondendo a 23 ciclos para o biocatalisador imobilizado na presença de líquido iônico e cerca de 6 h, equivalente a 13 ciclos, para o biocatalisador imobilizado na ausência de líquido iônico.

 

AGRADECIMENTOS

Os autores agradecem CNPq, CAPES e UNIT pelo suporte financeiro deste trabalho.

 

REFERÊNCIAS

1. Reetz, M. T.; Zonta, A.; Simpelkamp, J.; Biotechnol. Bioeng. 1996, 49, 527.

2. Pierre, A.; Buisson, P.; J. Mol. Catal. B: Enzym. 2001, 11, 639.

3. Zarcula, C.; Corîci, L.; Croitoru, R.; Csunderlik, C.; Peter, F.; Proceedings of World Academy of Science, Engineering and Technology 2009, 40, 179.

4. Wang, Y.; Hsieh, Y.L.; J. Membr. Sci. 2008, 309, 73.

5. Carvalho, N. B.; Barbosa, J. M. P; Oliveira, M. V. S.; Fricks, A. T.; Lima, A. S.; Soares, C. M. F.; Quim. Nova 2013, 36, 52.

6. Souza, R. L.; Faria, E. L. P.; Figueiredo, R. T.; Freitas, L. S.; Iglesias, M.; Mattedi, S.; Zanin, G. M.; Santos, O. A. A.; Coutinho, J. A. P.; Lima, A. S.; Soares, C. M. F.; Enzyme Microb. Technol. 2013, 52, 141.

7. Novak, Z.; Habulin, M.; Krmelj, V.; Knez, Z.; J. Supercrit. Fluids 2003, 27, 169.

8. Tewari, P. H.; Hunt, A. J.; Lofftus, K. D.; Mater. Res. Lett. 1985, 3, 363.

9. Orçaire, O; Buisson, P; Pierre, A. C.; J. Mol. Catal. B: Enzym. 2006, 42, 106.

10. Maury, S.; Buisson, P.; Perrard, A.; Pierre, A. C.; J. Mol. Catal. B: Enzym. 2005, 32, 193.

11. Nassreddine, S; Karout, M.; Christ, M. L.; Pierre, A. C.; Appl. Catal., A 2008, 344, 70.

12. Soares, C. M. F.; Castro, H. F.; Itako, J. E.; Moraes, F. F.; Zanin, G. M.; Appl. Biochem. Biotechnol. 2005, 121, 845.

13. Maury, S.; Buisson, P.; Perrard, A.; Pierre, A. C.; J. Mol. Catal. B: Enzym. 2004, 29, 133.

14. Aslanov, L. A.; J. Mol. Liq. 2011, 162, 101.

15. Fernandez-Lafuente, R.; Enzyme Microb. Technol. 2009, 45, 405.

16. Vila-Real, H.; Alfaia, A. J.; Rosa, J. N.; Gois, P. M. P.; Rosa, M. E.; Calado, A. R. T.; J. Biotechnol. 2011, 152, 147.

17. Zarcula C.; Corîci, L.; Croitoru, R.; Ursoiu, A.; Peter, F.; J. Mol. Catal. B: Enzym. 2010, 65, 79.

18. Mattedi, S.; Carvalho, P. J.; Coutinho, J. A. P.; Alvarez, V. H., Iglesias, M.; J. Supercrit. Fluids 2011, 56, 224.

19. Soares, C. M. F.; Santos O. A., Olivo J. E., Castro, H. F.; Moraes, F. F., Zanin, G. M.; J. Mol. Catal. B: Enzym. 2004a, 29, 69.

20. Soares, C. M. F.; Santos O. A., Castro, H. F.; Moraes, F. F., Zanin, G. M.; Appl. Biochem. Biotechnol. 2004b, 113, 307.

21. García-González, C. A.; Camino-Rey, M. C.; Alnaeif, M.; Zetzl, C.; Smeinova, I.; J. Supercrit. Fluids 2012, 66, 297.

22. Peng, D.; Robinson, D. B.; Ind. Eng. Chem. Fundam. 1976, 15, 1.

23. Soares, C. M. F.; Castro, H. F.; Moraes, F.F. de; Zanin, G. M.; Appl. Biochem. Biotechnol. 1999, 77, 745.

24. Habulin, M.; Knez, Ž.; Acta Chim. Slov. 2001, 48, 521.

25. Knez, Z.; Habulin, M.; J. Supercrit. Fluids 2002, 23, 29.

26. Kharrat, N.; Ali, Y. B.; Marzouk, S.; Gargouri, Y.-T.; Chaabouni, M.; Process Biochem. 2011, 46, 1083.

27. Oliveira, D; Feihrmann, A. C.; Dariva, C.; Cunha, A. C.; Bevilaqua, J. V.; Destain, J.; Oliveira, V.; Freire, D. M. G.; J. Mol. Catal. B: Enzym. 2006, 39, 117.

28. Nakaya, H.; Miyawaki, O.; Nakamura, K.; Enzyme Microb. Technol. 2001, 28, 176.

29. Steinberger, D.; Gamse, T.; Marr, R.; Proceedings of Fifth Conference on Supercritical Fluids and their Applications, Itália, 1999.

30. Fricks, A. T.; Souza, D. P. B.; Oestreicher, E. G.; Antunes, O. A. C.; Girardi, J. S.; Oliveira, D.; Dariva, C.; J. Supercrit. Fluids 2006, 38, 347.

31. Mohidem, N. A.; Mat, H. B.; J. Sol-Gel Sci. Technol. 2011, doi: 10.1007/s10971-011-2596-3.

32. Souza, R. L.; Resende, W. C. S.; Barão, C. E.; Zanin, G. M.; Castro, H. F.; Santos, O. A. A.; Fricks, A. T.; Lima, A. S.; Soares, C. M. F.; J. Mol. Catal. B: Enzym. 2012, 84, 152.

On-line version ISSN 1678-7064 Printed version ISSN 0100-4042
Qu�mica Nova
Publica��es da Sociedade Brasileira de Qu�mica
Caixa Postal: 26037 05513-970 S�o Paulo - SP
Tel/Fax: +55.11.3032.2299/+55.11.3814.3602
Free access

GN1