JBCS



22:15, dom nov 16

Acesso Aberto/TP



Artigo


Desenvolvimento de tecnologia de pré-polímeros na síntese de poliuretanos empregados em combustíveis sólidos
Development of prepolymer technology in the synthesis of a polyurethane binder used in solid rocket fuels

Marcelo Clemente*; Roberta J. Rocha; Koshun Iha; José A. F. F. Rocco

Departamento de Química, Instituto Tecnológico de Aeronáutica, Praça Marechal Eduardo Gomes, 50, Vila das Acácias, 12228-900 São José dos Campos - SP, Brasil

Recebido em 18/09/2013
Aceito em 20/02/2014
Publicado na web em 11/06/2014

Endereço para correspondência

*e-mail: marclen@ita.br

RESUMO

The aim of this work was to synthesize a polyurethane polymer matrix using polyols as a raw material to obtain a binder such as the hydroxyl terminated polybutadiene (HTPB) pre-polymer in energetic material formulation. The soybean-based polyol was the best starting raw material for producing a binder for solid fuel formulation in rocket motor applications. Characterization of the obtained soybean-based polyurethane binder was carried out by employing FT-IR analysis and thermo analytical techniques that showed similar HTPB binder thermo decomposition behaviors, confirming their potential for use as polymer matrix composites.

Palavras-chave: hydroxyl terminated polybutadiene; soybean-based polyol; energetic materials.

INTRODUÇÃO

O propelente sólido é uma mistura heterogênea, estável, de espécies químicas oxidantes e redutoras que se combinam na reação de combustão, formando grande quantidade de gases de baixa massa molar a altas temperaturas. Suas principais aplicações estão relacionadas à propulsão química por motor-foguete, mísseis e projéteis de armamentos.1 Formulações de combustíveis sólidos podem ser descritas como elastômeros altamente carregados, aglomerados por um "binder" ou matriz polimérica, que irá envolver as partículas sólidas que compõem a formulação do combustível sólido, promovendo propriedades mecânicas de tal forma que o grão resultante não sofra nenhuma falha de comportamento mecânico durante a fabricação, transporte, manuseio e operação do motor. O binder também atua como fonte de carbono no processo de queima.2

Um motor-foguete híbrido é um sistema de propulsão química em que o oxidante e o combustível estão armazenados separadamente e em fases físicas distintas. No motor foguete híbrido clássico utiliza-se um combustível sólido e um oxidante líquido ou gasoso. Durante a operação, o oxidante é injetado na câmara de combustão, que contém o grão combustível sólido posto a queimar, gerando empuxo da forma convencional a todo o motor-foguete. Na câmara de combustão, um líquido (ou gás) atomizado ou vaporizado escoa pelo interior do grão combustível sólido e reage próximo da superfície do mesmo.

Os poliuretanos passaram a ser empregados como "binder" a partir da década de 1950 e, atualmente, estão entre os compostos mais usados como materiais energéticos, principalmente aqueles obtidos a partir do polibutadieno líquido hidroxilado (PBLH). O PBLH, de fórmula estrutural (CH2-CH=CH-CH2-CH2)n(OH)2, é um pré-polímero líquido de massa molar média da ordem de 2800 g mol-1, contendo grupos hidroxilas terminais reativos. Sua funcionalidade varia entre 2,1 e 2,3, sendo composto de hidroxilas primárias reativas alílicas que reagem com um diisocianato e estendem sua cadeia durante a fase de polimerização no processo de obtenção do "binder".

Dentre os materiais que compões o "binder" uretânico, estão os polióis, diisocianatos, catalisadores e aditivos. Neste trabalho, o "binder" de poliuretano foi sintetizado a partir da reação de policondensação entre um poliol e um diisocianato. A modificação da matriz polimérica do compósito consistiu na pesquisa de polióis alternativos ao PBLH, principalmente aqueles de origem vegetal, como o óleo de soja.

A soja tem em sua composição aproximadamente 20% de óleo, sendo o óleo de soja o óleo vegetal mais produzido no Brasil em 2012.3,4 Os óleos vegetais são constituídos predominantemente por triglicerídeos, que são produtos da condensação entre o glicerol e ácidos graxos insaturados. Os triglicerídeos do óleo de soja contêm ácidos graxos saturados e insaturados, sendo que a composição dos ácidos graxos insaturados no óleo de soja é superior a 80%.5 A composição e estrutura do óleo de soja dependem do tipo de soja, condições de tempo, do tipo de terra e época de colheita,5 e apresenta aproximadamente a seguinte composição de ácidos graxos: 4% esteárico, 7% linolênico, 11% palmítico, 22% oléico e 56% linoléico.5,6

O termo poliol abrange uma grande variedade de compostos contendo grupos hidroxilas, capazes de reagir com os isocianatos para formar poliuretanos (PUs). Esses polióis com a presença de grupos terminais hidroxilas são obtidos na forma de polióis poliéteres e polióis poliésteres. Os polióis poliéteres são normalmente obtidos pela polimerização de poliois iniciais com óxidos de alquileno, como os poli(óxido de propileno) glicol, copolímeros de poli(óxidos de propileno/etileno) glicóis (PPG's) e o poli(óxido de tetrametileno) glicol (PTMEG). Os polióis poliésteres são obtidos normalmente por reações de policondensação entre ácidos dicarboxílicos e polióis em excesso.7

A maior parte dos poliuretanos é sintetizada com polióis de origem mineral (petroquímicos). Atualmente, pesquisadores têm buscado fontes alternativas para a obtenção de poliuretanos cujos polióis de partida sejam de origem vegetal, preferencialmente, de fontes naturais e renováveis, sendo reconhecidas como atraentes e viáveis.7 Os óleos vegetais, tais como óleo de linhaça, mamona, soja, girassol, entre outros, são fontes promissoras para esse fim, devido ao seu elevado grau de insaturação.8

Os óleos vegetais formados por triglicerídeos de ácidos graxos, como o óleo de soja, são matérias primas prospectáveis para a síntese de polióis e materiais poliméricos, pois apresentam baixa toxicidade, menor quantidade de formação de resíduos durante a fase de processamento e baixo custo de produção. Os produtos obtidos são, geralmente, biodegradáveis.

A utilização desses óleos vegetais para a síntese de poliuretanas requer, normalmente, a transformação do óleo cru através de reações químicas que ocorrem nas duplas ligações dos ácidos graxos insaturados como, por exemplo, a epoxidação, amplamente descrita na literatura.9 A transformação de óleos vegetais em polióis, matéria-prima para a obtenção de poliuretanas, é uma excelente alternativa para a preparação de biomateriais e biocompósitos.10,11 Devido à sua compatibilidade com diisocianatos, os polióis de origem vegetal são particularmente interessantes em sistemas poliuretânicos livres de solventes, de dois componentes ou compósitos.

A preparação de polióis a partir de óleos vegetais tem sido objetivo de muitas pesquisas.12 Os grupos hidroxilas podem ser introduzidos nas ligações duplas dos ácidos graxos do óleo de soja por meio de diferentes processos envolvendo reações químicas, resultando em polióis com estruturas diferentes. Dependendo das condições reacionais, pode-se obter tanto polióis com alta funcionalidade de OH (grande número de radicais hidroxilas introduzidos na cadeia) ou polióis com conversão parcial, ou seja, baixa conversão de duplas ligações com poucos radicais hidroxilas introduzidos na cadeia. A característica mais comum dos polióis para a produção de poliuretanos é a presença de grupos terminais de hidroxila.13 O número de hidroxila para um poliol é definido como a quantidade de grupos hidroxilas disponíveis para a reação com isocianatos. O número de hidroxila (ou índice hidroxila IOH) é expresso em miligramas de hidróxido de potássio (mg KOH/g), e se refere à quantidade de hidróxido de potássio em relação a um grama de amostra.14,15

A massa molar de polióis usados para síntese de poliuretanos varia de 300 a 10000 g mol-1 e o número de hidroxila por molécula dos polióis (funcionalidade) é geralmente na faixa de 2 a 8 OH-/mol, sendo que um poliol de baixa funcionalidade, apresentando 2 a 3 OH-/mol e com uma alta massa molar de (2000 a 10000 g/mol), produzirá um poliuretano elástico; e um poliol de 300 a 1000 g/mol e alta funcionalidade (3 a 8 OH-/mol) levará a um poliuretano rígido com ligações cruzadas.

Dentre os processos químicos existentes para a produção de óleos vegetais hidroxilados, ou polióis, pode-se citar a abertura do anel oxirano de óleos vegetais epoxidados. Para os polióis vegetais, esse processo é normalmente feito em duas etapas, sendo que a primeira corresponde à epoxidação das ligações duplas dos óleos vegetais através do método clássico, empregando ácido peracético ou perfórmico formado pela reação "in situ" do peróxido do hidrogênio com um ácido carboxílico.16 A segunda etapa é a abertura, catalisada por ácido, do anel oxirano com metanol, resultando em um poliol metoxilado.7,10 A conversão de grupos epóxidos a grupos hidroxilas também pode ser realizada por outras reações, como hidrogenação catalítica, reação com ácido clorídrico ou bromídrico resultando em um poliol halogenado, reação com água e catálise ácida formando dióis vicinais, ou com álcoois mono ou polifuncionais. Neste trabalho, foram utilizados polióis de soja da Cargill. No Esquema 1 está representada a molécula do triglicerídeo e as reações possíveis para sua transformação em um poliol.

 


Esquema 1. Representação esquemática do triglicerídeo de óleo de soja, das reações de epoxidação, abertura do anel epóxido e formação do poliol

 

Os polietilenoglicois (PEG's), também chamados de polietileno polióxido, são polióis obtidos através da polimerização do óxido de eteno, em presença de um iniciador (etileno glicol, álcool ou água) e catalisador. O óxido de eteno, assim como a maioria dos epóxidos, é caracterizado pela alta reatividade, o que é esperado pelo fato de sua estrutura ser altamente tensionada, devido ao átomo de oxigênio estar ligado a dois átomos de carbono vizinhos. Esse reagente participa facilmente de reações de adição, denominadas de etoxilação com compostos que possuem um átomo de hidrogênio ativo (ROH, RNH2 ou R2NH), como água, alcoóis e aminas. Neste trabalho foram utilizados polietilenoglicois produzido pela Oxiteno, dentre eles o ULTRAPEG® 1500 F USP e o ULTRAPEG® 3500 F USP.

Os isocianatos são compostos orgânicos que apresentam radicais isocianatos NCO ligados à cadeia carbônica, podendo ser alifáticos, aromáticos, cicloalifáticos ou policíclicos. Diversos tipos de isocianatos alifáticos e aromáticos são encontrados no mercado, porém, cerca de 95% são derivados do tolueno diisocianato (TDI) e do difenilmetano diisocianato (MDI). TDI é normalmente utilizado como mistura dos isômeros 2,4 e 2,6 nas proporções 80/20.17

O TDI é um diisocianato com funcionalidade igual a dois (f = 2,0) e apresenta maior reatividade do grupamento NCO localizado na posição quatro do anel aromático em relação aos grupamentos NCO nas posições dois e seis, devido ao impedimento estérico do grupamento metila vizinho. As principais reações dos isocianatos, na síntese do poliuretano, são com polióis formando poliuretanos, com aminas ou água resultando em poliuréias, e com grupos uretano e ureia originando ligações cruzadas do tipo alofanato e biureto.17 A reação dos isocianatos com álcoois é uma reação extremamente exotérmica (170-190 kJ mol-1) e a sua velocidade de reação depende de fatores como a estrutura do poliol, que influencia diretamente na reatividade, ou seja, as hidroxilas primárias, secundárias e terciárias têm reatividade decrescente devido ao efeito estéreo dos grupos alquilas vizinhos.17

Os diisocianatos são responsáveis pelo chamado segmento rígido dentro da estrutura dos elastômeros de poliuretano, os quais conferem ao elastômero propriedades como a dureza, resistência ao cisalhamento e módulo de elasticidade à tração e/ou compressão.18

Entre os diisocianatos mais utilizados, pode-se citar o tolueno diisocianato (TDI) e o 4,4'-difenilmetileno diisocianato (MDI), que possuem anéis aromáticos, sendo denominados diisocianatos aromáticos. Ambos são empregados na fabricação dos mais variados produtos em poliuretano, tais como elastômeros, espumas rígidas e flexíveis, tintas selantes e revestimentos em geral. Neste trabalho foi utilizado o tolueno diisocianato 80/20, que é uma mistura composta pelos isômeros 2,4 e 2,6-tolueno diisocianato, contendo 80% 2,4 TDI e 20% 2,6 TDI.17,18

Na obtenção dos PU's o termo pré-polímero é designado para produtos resultantes da reação de policondensação entre um poliol e um diisocianato, estando este último em excesso estequiométrico. A estrutura com radicais NCO livres é chamada pré-polímero (Esquema 2). A produção de PU's a partir de pré-polímeros é largamente utilizada na indústria em aplicações tradicionais, onde a preparação em duas etapas é desejada e/ou necessária para o processo, tais como em elastômeros, tintas, selantes, espumas flexíveis, etc. Os pré-polímeros de PU's com grupos NCO livres são obtidos a partir da reação de um poliol com diisocianatos em excesso. O diisocianato utilizado foi o TDI, de forma que, quando em excesso na reação, formasse macromoléculas com terminações NCO livres, para posterior reação de reticulação com um agente de cura. Quando um extensor de cadeia do tipo diol é empregado, as ligações formadas são do tipo uretano. A formação de ligações do tipo uretano entre os blocos de poliuretano de alta massa molar resulta em um produto que combina segmentos flexíveis com segmentos rígidos, elevando a dureza final do polímero. O Esquema 2 representa a reação de obtenção do pré-polímero de PU e a sua cura com um catalisador com grupos diol ou diamina. Neste trabalho foram produzidos pré-polímeros de PU com o emprego de matéria prima nacional, utilizando-se polióis de origem vegetal que, por sua vez, tem origem no óleo da soja.17

 


Esquema 2. Representação esquemática das reações de síntese do pré-polímero e da obtenção de poliuretano e através da cura com um diol

 

Determinação da energia de ativação e do fator pré exponencial pelo modelo cinético de Flynn, Wall e Ozawa

O método de Flynn, Wall e Ozawa é amplamente descrito na literatura e as técnicas termoanalíticas, entre outras, podem contribuir no estudo de novos materiais.19-21 O estudo da cinética de decomposição térmica de materiais no estado sólido tem como conceito que a variação da massa do composto seja uma função da velocidade de decomposição térmica deste, que ocorre com o aumento da temperatura, em função do tempo e obedece a Equação 1:

 

 

Em que α representa a fator de conversão da amostra, t o tempo para a conversão, T a temperatura absoluta, k(T) a constante cinética em função da temperatura e f(α) a função que representa o modelo de decomposição térmica para o processo em estudo. A constante cinética da reação obedece à Equação de Arrhenius. Em processos não isotérmicos, em que um sólido é submetido a uma razão de aquecimento (β), β=dT/dt, com a utilização da aproximação de Doyle,22 chega-se à expressão:

 

 

O método de Ozawa permite obter os parâmetros cinéticos da reação.21 Neste, o logaritmo da razão de aquecimento é colocado em função do inverso da temperatura máxima do pico de transição. Portanto, para um processo em que uma amostra é submetida a aquecimento controlado, sob uma determinada razão de aquecimento "β", a inclinação da reta obtida para log β νs 1/T é igual a -0,457Ea/R, onde T é a temperatura relativa à altura máxima da curva termoanalítica (Tm). Assim, calcula-se a energia de ativação (Ea) pela equação 3:

 

 

O modelo de Flynn, Wall e Ozawa assume que a cinética de decomposição térmica obedece a uma equação de 1ª ordem.23 Então pode-se calcular o fator pré-exponencial "A", substituindo a eq. de Arrhenius e a expressão β=dT/dt na eq. 1, e integrando-se:

 

 

Assim, obtendo-se as respectivas curvas termoanalíticas em diferentes razões de aquecimento, determina-se a Ea do processo construindo-se o gráfico do logaritmo da razão de aquecimento (β) em função do inverso da temperatura de pico (1/Tm). Este procedimento pode ser empregado tanto para curvas obtidas pela termogravimetria (TGA), quanto para as obtidas por calorimetria exploratória diferencial (DSC).24

 

PARTE EXPERIMENTAL

Reagentes utilizados

Polióis vegetais BiOH® da Cargill - com massa molar de 1700, 1050 e 2000 g mol-1 e Índice de hidroxila correspondente de 55,83; 155,00 e 150,00 mg KOH g-1;

TDI 80/20 da M Cassab - Teor 99,98%, Massa Molar 174,16 g mol-1;

IPDI da M Cassab - Teor 99,0%, Massa Molar 222,3 g mol-1;

Butan-1,4-diol Aldrich Chemical Company - Teor 99,0%, Massa Molar 90,12 g mol-1;

ULTRAPEG® 1500F da Oxiteno - Índice de hidroxila. 74,2 mg KOH g-1 Massa Molar Média 1511,5 g mol-1 e ULTRAPEG® 3500F da Oxiteno - Índice de hidroxila. 35,2 mg KOH g-1 Massa Molar Média 1511,5 g mol-1;

Dibenzoato Dipropileno Glicol da Scandiflex - Teor 98%, Massa Molar 342 g mol-1.

Cálculo das massas dos reagentes

Foram calculadas as quantidades estequiométricas necessárias à produção dos elastômeros de poliuretano levando-se em conta a funcionalidade (f), massa molar (M), a massa molar média (MW) no caso dos polióis, o Índice de Hidroxila (IOH) em mg KOH/g amostra e o %NCO livre para os isocianatos.17 Para a produção do pré-polímero foram reagidos o poliol e o isocianato, deixando-se um excesso de isocianato de 5% em massa. Este excesso foi reagido com uma quantidade proporcional de poliol de cadeia curta (agente extensor de cadeia), produzindo-se assim um elastômero de PU com uma razão molar de OH/NCO de 1:1.

Síntese dos pré-polímeros de poliuretano

Primeiramente, o poliol foi aquecido a 65 ºC sob agitação e vácuo a -600 mmHg, por pelo menos uma hora, retirando-se, assim, a umidade do poliol. Os pré-polímeros foram produzidos pela reação de um diisocianato, em excesso molar, com um poliol, gerando uma mistura homogênea, que ainda pode conter de 2% a 5% de ligações livres de diisocianato. Essa reação ocorreu a uma temperatura controlada de 60 ºC, o controle desta temperatura evita que ocorram reações secundárias, pois, se a temperatura alcançar 80 ºC, poderá ocorrer formação de ligações cruzadas de alofanato e biureto.17

Pré-polímeros com teor desejado de NCO livre igual a 5,0% foram preparados a partir de uma síntese pela adição direta de um isocianato em um poliol, num balão de vidro de duas partes: corpo e tampa de três bocas, fixos por junta de aço inox 316, sob agitação mecânica e atmosfera inerte de N2 à temperatura de 60 ºC (Figura 1). Foram coletadas amostras para caracterização de teor de NCO livre, obtido por meio da titulação com dibutilamina, conforme norma ASTM 5155-10.17

 


Figura 1. (A) Reator montado acoplado a bomba de vácuo, sistema de agitação mecânica e funil para dosagem de TDI, (B) síntese do pré-polímero no reator

 

A adição da quantidade de TDI necessária para a reação, previamente calculada, foi feita lentamente, durante 30 minutos, sob agitação mecânica constante e temperatura de 60 ºC, correspondendo à primeira etapa da reação para extensão da cadeia do diol. O meio reacional foi mantido a 60 ºC sob agitação constante durante 60 minutos adicionais. Em seguida, o pré-polímero obtido foi resfriado à temperatura ambiente.

Foram realizadas as sínteses dos pré-polímeros com os polióis da Cargill e Oxiteno, conforme apresentado na Tabela 1.

 

 

Após a síntese de cada amostra, o pré-polímero obtido foi deixado esfriar à temperatura ambiente. Como o pré-polímero necessita ser líquido na temperatura ambiente para possibilitar a mistura dos componentes utilizados durante o carregamento, este foi o primeiro critério para a seleção do pré-polímero obtido. Quando o mesmo se solidificava, tornava-se necessário o reaquecimento e fusão à temperatura de 60 ºC, com dosagens (m/m) de plastificante "DBDG" e posterior resfriamento. Caso a solidificação persistisse, o pré-polímero era descartado.

Fechou-se a cadeia do pré-polímero obtido com um agente extensor de cadeia. Foram inicialmente testados três tipos: um amínico (Ethacure 300) e dois polióis (butanodiol e TMP), porém, somente o butanodiol apresentou bons resultados, pois para o Ethacure 300 o tempo de reação foi muito rápido e as amostras se apresentaram com excesso de dureza. Passou-se então a utilizar o butanodiol como extensor de cadeia.

Foram feitas diversas tentativas de síntese de pré-polímeros de todas as amostras de polióis, comercializadas pela Cargill, obtidas com TDI e conseguinte extensão de cadeia com butanodiol. A síntese que se mostrou mais promissora foi com a utilização do poliol Cargill Produto Exp. 93426 + TDI + Butano-1,4-diol, obtendo-se o poliuretano denominado PU-CTDIB1. Na Tabela 2 estão apresentados os processos de síntese, cura e adição de aditivos dos polímeros formulados.

 

 

Técnicas utilizadas na identificação e caracterização dos materiais

Neste trabalho, na caracterização dos materiais foi utilizada a técnica termoanalítica calorimetria exploratória diferencial (DSC) pelo Analisador Q100 TA, de -80 à 60 ºC, à 10 K min-1, massa de 11 mg, em atm de N2 (50 mL min-1), com o objetivo de determinar a temperatura de transição vítrea (Tg); foi utilizada a técnica termoanalítica termogravimetria (TGA) pelo analisador 6200 SII Nanotec.- Seiko, massa: 10 mg, de 25 à 800 ºC, com taxa de aquecimento: 10, 20 e 30 ºC min-1 em ar sintético 100 mL min-1 para a determinação da energia de ativação e do fator pré-exponencial, utilizando-se o modelo cinético de Flynn, Wall e Ozawa. Na identificação dos materiais, utilizou-se a técnica de espectroscopia no infravermelho com transformada de Fourier (FT-IR) acoplada à técnica de Reflexão Total Atenuada (UATR), com o emprego do aparelho Espectrômetro FT-IR - Spectrum One - PerkinElmer.

 

RESULTADOS E DISCUSSÃO

Determinação da temperatura de transição vítrea (Tg) por calorimetria exploratória diferencial (DSC)

A necessidade de se conhecer a Tg do material deve-se ao fato de que, caso este seja utilizado como "binder" na obtenção de combustíveis ou propelentes sólidos, o grão resultante será exposto a baixas temperaturas durante a trajetória de voo do motor foguete. Essas temperaturas não devem ser inferiores à Tg do polímero que constitui o binder (combustível ou propelente sólido), para que os esforços mecânicos não resultem em falha catastrófica do grão. Caso contrário, o polímero pode se tornar rígido e quebradiço, o que pode levar à explosão do motor.

Um poliol muito utilizado na obtenção de "binders" poliuretânicos para aplicações em materiais energéticos é o PBLH, que apresenta uma temperatura de transição vítrea da ordem de -50 ºC, compatível com as condições operacionais.25

Foi realizada análise DSC do poliuretano PU-CTDIB1 (Figura 2), determinando-se sua Tg de -39 ºC. Também se verifica a ocorrência de um pico endotérmico em -20 ºC, que é característica da incorporação de grupos funcionais à cadeia do poliol, pois estes interagem com outras cadeias produzindo picos de fusão. Comparando-se a curva DSC do polímero puro (PU-CTDIB1) com as curvas DSC obtidas para o poliuretano (PU-CTBIB1) com adição de plastificante e poliol de origem (Figura 3), observa-se que a inclusão do plastificante reduziu a intensidade do pico de fusão.26 Este pico de fusão também é uma característica do poliol utilizado na síntese do PU que pode ser atribuído ao polimorfismo da molécula de triglicerídeo.27 Isto é denotado da curva DSC do poliol da marca BiOH® da Cargill (Figura 3). Este pico de fusão não restringe o uso do material em motores foguetes híbridos, nem em motores foguetes sólidos compósitos pois a adição do plastificante eliminou o evento.

 


Figura 2. Curva DSC de amostra do PU-CTDIB1 empregada para determinação da Tg do material nas seguintes condições: massa inicial de 11,197 mg, atmosfera inerte de N2 (50 mL min-1) e razão de aquecimento de 10 K min-1

 

 


Figura 3. Curvas DSC de amostras do PU's produzidos PU-CTDIB1 sem adição de plastificante (traço longo), com adição (linha contínua) e do poliol utilizado como matéria prima (traço longo/curto). Nas seguintes condições: massa inicial de 11,197 mg, atmosfera inerte de N2 (50 mL min-1) e razão de aquecimento de 10 K min-1

 

Determinação da energia de ativação e do fator pré-exponencial pelo modelo cinético de Flynn, Wall e Ozawa por meio de análise termogravimétrica

Conforme descrito anteriormente, foi utilizado TGA para obtenção de curvas de degradação térmica e determinação energia de ativação e do fator pré-exponencial pelo Modelo cinético de Flynn, Wall e Ozawa.

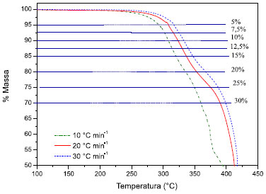
O polímero PU-CTDIB1 foi submetido à TGA em razões de aquecimento (β) de 10; 20; e 30 ºC min-1 sob atmosfera de ar sintético com vazão 100 mL min-1. A Figura 4 mostra as curvas TG da amostra do PU-CTDIB1 nas diferentes proporções sob as diferentes razões de aquecimento utilizadas para o estudo cinético. A análise foi efetuada com base na Norma ASTM E1641-07.23

 


Figura 4. Curvas TGA da amostra do PU-CTDIB1 mostrando os % de conversão em massa "α" utilizada para o estudo cinético do material. Condições análise: Massa inicial de 10 mg, atmosfera de ar sintético (100 mL min-1), nas seguintes razões de aquecimento: 10,0 ºC min-1, 20 ºC min-1 e 30 ºC min-1

 

Foram coletados dados de porcentagem de conversão em função da (β), nos níveis conversionais (α) de 5,0%; 7,5%; 10,0%; 12,5%; 15,0%; 20,0%; 25,0% e 30,0% (Figura 4). Traçaram-se então as curvas de Logaritmo de (α) em função de 1/T para os níveis fixos de decomposição térmica. Foram feitos os cálculos para a determinação dos valores de Ea e A, utilizando-se a norma ASTM E1641-07. A Figura 5 apresenta as retas de interpolação linear dos pontos escolhidos de α. A Tabela 3 mostra os valores dos coeficientes: correlação da reta, linear e angular obtido.

 


Figura 5. Logaritmo da razão de aquecimento em função do inverso da temperatura para as percentagens de conversão em massa "α" fixada para o PU-CTDIB1

 

 

 

Foram calculados os valores de Ea e A para cada α, conforme mostrado na Tabela 4. Para α igual a 10%, foi obtido um valor de Ea igual a 122,4 kJ mol-1, e de A igual a 6,95x1012 min-1. Esses valores estão muito próximos aos apresentados para a matriz polimérica baseada no PBLH.28 Com isso, foi traçado o gráfico de Ea em função de α (Figura 6), o que permite verificar o valor máximo de Ea necessário à reação.

 

 

 


Figura 6. Curva de Ea em função de α da amostra PU-CTDIB1

 

Caracterização de materiais por espectroscopia FT-IR

A técnica de espectroscopia no infravermelho com transformada de Fourier (FT-IR) foi empregada para a caracterização do polímero final curado. Esta técnica é comumente utilizada na caracterização de polióis e polímeros como os poliuretanos.29

Para a amostra do polímero formado após a extensão da cadeia com 1,4-butanodiol, observam-se, no espectro da Figura 7, as principais bandas esperadas para um poliuretano, com os valores médios de 3330 cm-1 (estiramento de grupos NH), de 1724 cm-1 (estiramento de amida I de grupos C=O), e de 1538 cm-1 (deformação de amida II de grupos NH).

 


Figura 7. Espectro FT-IR da amostra PU-CTDIB1 produzido pelo fechamento da cadeia com butano-1,4-diol, os mesmos foram obtidos pela técnica UATR

 

A Tabela 5 mostra as atribuições dos principais grupos funcionais do poliuretano (PU-CTBIB1) obtido aos correspondentes modos vibracionais IR.

 

 

CONCLUSÕES

Neste estudo, foram obtidas matrizes poliméricas de poliuretano derivadas de polióis para serem empregadas como ligantes em formulações de materiais energéticos, tais como combustíveis e eventualmente propelentes, explosivos e pirotécnicos. Empregou-se o processo de pré-polímeros de poliuretano a partir de óleos vegetais epoxidados (polióis). Dentre estes, o poliol baseado no óleo de soja obteve o melhor desempenho em termos de processabilidade e características de decomposição térmica por semelhança ao PBLH. O emprego das técnicas de análise térmica e infravermelho na região média permitiu a caracterização das matrizes poliméricas obtidas neste trabalho. Pelo emprego da técnica de calorimetria exploratória diferencial (DSC) foi possível determinar a Tg do poliol derivado do óleo de soja, que demonstrou ser um bom recurso natural como matéria prima na obtenção de elastômeros de poliuretanos, principalmente pelo valor da temperatura de transição vítrea (Tg), da ordem de -39 ºC, que se aproxima do valor apresentado pela matriz polimérica obtida a partir do PBLH, que é em torno de -50 ºC. Pelo emprego da análise termogravimétrica (TGA), foi possível acompanhar o processo de degradação térmica do polímero obtido, bem como determinar a energia de ativação (Ea) da ordem de 122,4 kJ mol-1, cujo valor é muito próximo ao da matriz polimérica baseada no PBLH. Com isso, as aplicações do material sintetizado como combustível sólido mostram resultados promissores para queima em testes de bancada de motores foguete híbridos.

 

REFERÊNCIAS

1. Sciamareli, J.; Takashi, K. F. M.; Teixeira, J. M.; Iha, K.; Quim. Nova 2002, 25, 107.

2. Davenas, A.; Solid Rocket Propulsion Technology, 1th ed., Pergamon Press: Oxford, 1993.

3. Jorge, N.; Química e Tecnologia de Óleos Vegetais, 1th ed., Unesp, Cultura Acadêmica: São Paulo, 2009.

4. http://www.cnpso.embrapa.br/index.php?op_page=22&cod_pai=16, acessada em Dezembro 2012.

5. Erickson, D. R. Em Handbook of Soy Oil Processing and Utilization; Erickson, D. R.; Pryde, E. H., Brekke, O. L., Mounts, T. L., Falb, R.A., eds.; Am. Soybean Assoc.: St. Louis, and J. Am. Oil Chem. Soc.: Champaign, 1980.

6. Baumann, H.; Bühler, M.; Fochem, H.; Hirsinger, F.; Zoebelein, H.; Falbe, J.; Angew. Chem. Int. Ed. 1988, 27, 41.

7. Desroches, M.; Escouvois, M.; Auvergne, R.; Caillol, S.; Boutevin, B.; J. Macromol. Sci. Polym. Rev. 2012, 52, 38.

8. Sharma, V.; Kundu, P. P.; J. Prog. Polym. Sci. 2006, 31, 983.

9. Gerbase, A. E.; Petzhold, C. L.; Cota, A. P. O.; J. Am. Oil Chem. Soc. 2002, 79, 797.

10. Guo, A.; Cho, Y.; Petrovic, Z. S.; J. Prog. Polym. Sci. 2000, 38, 3900.

11. Mothé, C. G.; Araújo, C. R.; Thermochim. Acta 2000, 357, 321.

12. Guo, A.; Demydov, D.; Zhang; Petrovic, Z. S.; J. Polym. Environ. 2002, 10, 49.

13. Carey, M.A.; Wellons, S. L.; Elder, D. K.; J. Cell. Plast. 1984, 20, 42.

14. American Society for Testing and Materials; Standard E222-10 Standard Test Methods for Hydroxyl Groups Using Acetic Anhydride Acetylation. 2010.

15. American Society for Testing and Materials; Standard D4274-11 Standard Test Methods for Testing Polyurethane Raw Materials, Determination of Hydroxyl Numbers in Polyols. 2011.

16. Von Hollenben, M. L. A.; Schuch, C. M.; Quim. Nova 1997, 20, 58.

17. Ionescu, M.; Chemistry and Technology of Polyols for Polyurethanes, 1th ed., Rapra Technology Limited: United Kingdom, 2005.

18. Rocco, J. A. F. F.; Iha, K.; Lima, J. E. S.; Frutuoso, A. G.; Encontro de Iniciação Científica e Pós-Graduação do ITA, 7, São José dos Campos, ITA, 2001.

19. Paterlini, W. P.; Botelho, E. C.; Rezende, L. C.; Lourenço, V. L.; Rezende, M. C.; Quim. Nova 2002, 25, 221.

20. Flynn, J. H.; Wall, L. A.; J. Polym. Sci., Part B: Polym. Lett. 1966, 19, 323.

21. Ozawa, T.; Bull. Chem. Soc. Jpn. 1965, 38, 1881.

22. Yeu-chemg, L.; Kuo, K.; Thermochim. Acta 1996, 275, 181.

23. American Society for Testing and Materials; Standard E1641-07 Standard Test Methods for Thermal Stability by Thermogravimetry. 2012.

24. Silva, G.; Matos, E. C.; Nakamura, N.; Iha, K.; Quim. Nova 2004, 27, 889.

25. Rocco, J. A. F. F.; Tese de Doutorado, Instituto Tecnológico de Aeronáutica, São José dos Campos, Brasil, 2004.

26. Petzhold, C. L.; Veronese, V. B.; Menger, R. K.; Forte, M. M. C.; J. Appl. Polym. Sci. 2010, 120, 530.

27. Guo, A.; Cho, Y.; Petrovic, Z. S.; J. Polym. Sci., Part A: Polym. Chem. 2000, 38, 3900.

28. Tinfa, D. U.; Thermochim. Acta. 1989, 138, 189.

29. Adekunle, K.; Akeson, D.; Skrifvars, M.; J. Appl. Polym. Sci. 2009, 115, 3137.

On-line version ISSN 1678-7064 Printed version ISSN 0100-4042
Qu�mica Nova
Publica��es da Sociedade Brasileira de Qu�mica
Caixa Postal: 26037 05513-970 S�o Paulo - SP
Tel/Fax: +55.11.3032.2299/+55.11.3814.3602
Free access

GN1