JBCS



22:17, dom nov 16

Acesso Aberto/TP



Artigo

Synthesis, characterization, and biological activity of a new class of dialkylphosphorylhydrazone derivatives of isatin

Letícia Silotti ZampirolliI; Marcela Jacques de LemosI; Vinícius Tomaz GonçalvesI,II; Marco Andre Alves de SouzaI; Sonia Regina de SouzaI; Victor Marcos RumjanekI; Joao Batista Neves DaCostaI,*

IDepartamento de Química, Instituto de Ciências Exatas, Universidade Federal Rural do Rio de Janeiro, BR 465, km 7, 23890-000 Seropédica - RJ, Brasil
IICentro Federal de Educação Tecnológica Celso Suckow da Fonseca, Itaguaí - RJ, Brasil

Recebido em 18/09/2013
Aceito em 23/02/2014
Publicado na web em 17/06/2014

Endereço para correspondência

*e-mail: jbndacosta@gmail.com

RESUMO

Sixteen dialkylphosphorylhydrazones were synthesized by condensation of phosphorylhydrazines with substituted isatins. Products were characterized by FTIR, 1H-NMR, 13C-NMR, and 31P-NMR. Fungicidal activities of these compounds against Rhizoctonia solani and Fusarium oxysporum were also evaluated. Some compounds inhibited the growth of Rhizoctonia solani and Fusarium oxysporum by 43% and 51%, respectively. These compounds exhibited no effects on germination of lettuce seeds (Lactuca sativa L).

Palavras-chave: dialkylphosphorylhydrazones; isatins; biological activity.

INTRODUCTION

Natural products isolated from plants are being used in medicine and agriculture. Furthermore, these compounds are used to control insects,1,2 nematodes,3 fungi,4-6 bacteria,7-9 as well as for the stimulation of immunity in plants10 and as anti-germination agents.11-14

Isatin, 1H-indol-2,3-dione, is found in plants of the genus Isatis,15 such as Calanthe discolor Lindl.16 and Couroupita guianensis Aubl.,17 and in the parotid gland secretions of the Bufo frog.18 Isatin was first synthesized by Erdman and Laurent in 1840 as a product of reaction between indigo and nitric or chromic acid.19,20

Isatin and its derivatives have a wide range of biological activities.21-24 Recently, a number of researchers have been studying the use of these compounds in the fight against phytopathogens25,26 and as potential herbicides.27

Some researchers have shown the inhibition effects of isatin hydrazones on the replication of variola virus and the virus associated with leukemia.28-30

As part of our ongoing studies concerning the preparation of potential biologically active compounds,31-36 we synthesized sixteen new dialkylphosphorylhydrazones derivatives of isatin,37 since this class of compounds is known to have antifungal activity.26 The synthesized compounds were characterized and evaluated for their activity against two fungi: Rhizoctonia solani and Fusarium oxysporum. Finally, their effect on the germination of lettuce seeds (Lactuca sativa L.) was also investigated.

 

EXPERIMENTAL

Melting points were determined on a Buchi 510 melting point apparatus and solvents were purified and dried according to the methods described in the literature.38

IR spectra were recorded on a Perkin-Elmer model 1600FT spectrometer (ν in cm-1) using NaCl pellets for liquid samples and KBr for solid samples. NMR spectra were acquired on a Bruker AC 200 spectrometer (1H, 200 MHz; 13C, 50.3 MHz; and 31P, 81.0 MHz) or a Brucker AVANCE II 400 spectrometer (1H, 400 MHz; 13C, 100.6 MHz; and 31P, 161.9 MHz) and are reported with chemical shifts in ppm along with the following abbreviations: singlet (s), doublet (d), triplet (t), quadruplet (q), double doublet (dd), sextuplet (sext), multiplet (m), and broad signal (br s). Gas chromatography (GC)-mass spectrometry (MS) analyses were carried out on a Saturn 2000-Varian column VF-5 ms (30 × 0.25 × 0.25 mm) with the following conditions: temperature = 150-180 ºC/1'-10 ºC/min-290 ºC/10'; temperature of injector = 270 ºC; temperature of MS trap = 220 ºC, temperature of manifold = 60 ºC, temperature of trxline = 250 ºC, and an ionization energy of 70 eV.

Antifungal activity

Dialkylphosphorylhydrazones were tested against Rhizoctonia solani and Fusarium oxysporum at a concentration of 500 mg L-1 in BDA medium. For the positive control, only BDA culture medium was used. For first negative control, BDA culture medium containing fungicide Mancozeb (200 mg L-1) was used and for second negative control BDA culture medium was employed, and finally for the third negative control, culture medium with 1% DMSO (vehicle) was employed. A broad-spectrum antibiotic (gentamicine) was added to all culture media.

Mycelial disks of pure fungi culture (6 mm in diameter) obtained from the Phytopathology Department of Universidade Federal Rural do Rio de Janeiro and Universidade Federal de Viçosa were individually transferred to the center of each Petri plate. Plates containing Rhizoctonia solani were incubated for three days and those containing Fusarium oxysporum were incubated for seven days at 24 ± 1 ºC. The inhibition was recorded relative to percent mycelial inhibition, calculated using the average orthogonal diameter and compared against controls.

Seed germination

The test for seed germination was conducted with commercial lettuce seeds (Lactuca sativa L.) using one concentration of dialkylphosphorylhydrazones (400 mg L-1) and 50 seeds. Each test was repeated five times.

Seeds were immersed in a solution of dialkylphosphorylhydrazones (in CH2Cl2) until solvent evaporated. The seeds were then transferred to petri plates containing a filter paper, and water (3 mL) was added to it. The petri plates were covered and put in a germination chamber with a photoperiod of 12 h under daylight and temperature of 23 ± 1 ºC for 7 days. For the negative control, only pure CH2Cl2 was used. Untreated seeds were used as the positive control. On the last day, germinated seeds were counted and the average recorded.

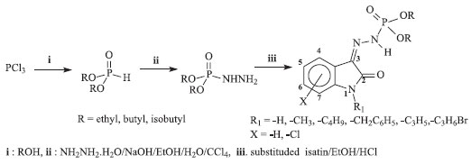
Synthesis of dialkylphosphonates

Dialkylphosphonates were synthesized by reacting alcohols (ethanol, butanol, and isobutanol) with phosphorus trichloride (PCl3) at a 3:1 (alcohol:PCl3) molar proportion.31-36 The prepared dialkylphosphonates were used without further purification.

Synthesis of dialkylphosphorylhydrazines

Dialkylphosphorylhydrazines were synthesized by a modified Todd-Atherton reaction.31-36 In this reaction, hydrazine reacts with dialkylphosphonates in a biphasic medium (H2O/CCl4).

Synthesis of dialkylphosphorylhydrazones (1-16)

Dialkylphosphorylhydrazones (1-16) were synthesized by acid catalyzed condensation of dialkylphosphorylhydrazines with substituted isatins as shown in Figure 1.

 


Figure 1. Synthetic route to dialkylphosphorylhydrazones

 

Isatin derivatives were added to an ethanolic solution (20 mL) of the different dialkylphosphorylhydrazines in a 50 mL round-bottom flask in a 1:1 molar ratio. Subsequently, two drops of concentrated HCl were added to the mixture. When the reaction was complete, ten drops of a 10% sodium bicarbonate solution were added. The resulting solution was washed with dichloromethane. The organic phase was dried over anhydrous sodium sulfate and then filtered. The solid products were obtained by evaporation of the dried filtrate and were recrystallized when necessary. In the case of oils, the products were obtained by evaporation of the solvent (Table 1).

 

 

The spectral characteristics of the compounds obtained in this work are described below.

Phosphorohydrazidic acid N'-[1,2-dihydro-2-oxo-3H-indol-3-ylidene]-diisobutyl ester (1). Yellow solid. Yield: 84 %. M.p. 110 ºC; IR (cm-1): 3149.2 (νNH); 1619.9 (νC=N); 1695.1 (νC=O); 1238.1 (νP=O); 1020.1 (νP-O-C). 1H NMR (δ): 11.42 and 8.47 [d, N-H, JHP = 33.67 Hz e JHP = 28.37 Hz, 1H]; 9.72 [s, N-H, 1H]; 7.87 [d, H-4, JHH = 7.53 Hz, 1H]; 6.92-7.15 [m, H-5, 1H]; 7.20-7.30 [m, H-6, 1H]; 6.99 [d, H-7, JHH = 8.0 Hz, 1H]; 0.90-0.92 and 0.96-0.98 [2d ((CH3)2CHCH2O-), 12H]; 1.89-2.09 [m ((CH3)2CHCH2O-), 2H]; 3.82-4.01 [m ((CH3)2CHCH2O-), 4H]. 13C NMR (δ): 18.66 [s ((CH3)2CHCH2O-), 4C]; 29.06 [d ((CH3)2CHCH2O-), JCP = 6.97 Hz, 2C]; 73.92 [d ((CH3)2CHCH2O-), JCP = 6.61 Hz, 2C]; 140.63 [s (-N=C), 1C]; 163.17 [s (C=O), 1C]; 111.07-135.68 [(C, arom.), 6C]. 31P NMR): -0.55 -0.92. m/z (%): 353 (14), 297 (20), 281(5), 267 (5), 241 (85), 224 (10), 160 (100), 132 (45).

Phosphorohydrazidic acid N'-[1,2-dihydro-1-methyl-2-oxo-3H-indol-3-ylidene]-diisobutyl ester (2). Yellow solid. Yield: 85%. M.p. 60 ºC; IR (cm-1): 3199.3 (νNH); 1616.0 (νC=N); 1691.2 (νC=O); 1255.4 (νP=O);1018.2 (νP-O-C). 1H NMR (δ): 11.41 and 8.29 [d, N-H, JHP = 33.79 Hz and JHP = 28.37 Hz, 1H]; 3.23 [s, N-CH3, 3H]; 7.56 [d, H-4, J HH = 7.62 Hz, 1H]; 7.08 [t, H-5, JHH = 7.62 Hz, 1H]; 7.33 [t, H-6, JHH = 7.85 Hz, 1H]; 6.84 [d, H-7, JHH = 7.85 Hz, 1H]; 0.93 [d ((CH3)2CHCH2O-), JHH = 6.69 Hz, 12H]; 1.88-2.08 [m ((CH3)2CHCH2O-), 2H]; 3.80-3.99 [m ((CH3)2CHCH2O-), 4H]. 13C NMR (δ): 18.53 [s ((CH3)2CHCH2O-), 4C]; 28.90 [d ((CH3)2CHCH2O-), JCP = 7.34 Hz, 2C]; 73.58 and 74.10 [d ((CH3)2CHCH2O-), JCP = 6.60 Hz, 2C]; 142.48 and 144.39 [s(-N=C), 1C]; 161.05 and 163.69 [s (C=O), 1C] 108.60-134.80 [C, arom.), 6C]; 25.39 [s (CH3), 1C]. 31P NMR (δ): -0.43 and 1.01. m/z (%): 368 (70), 311 (53), 255(60), 174 (100), 146 (54), 117 (28), 91 (25).

Phosphorohydrazidic acid N'-[1-butyl-1,2-dihydro-2-oxo-3H-indol-3-ylidene]-diisobutyl ester (3). Orange oil. Yield: 75%. IR (cm-1): 3212.8 (νNH); 1614.15 (νC=N); 1685.5 (νC=O); 1276.6 (νP=O); 1022.1 (νP-O-C). 1H NMR (δ): 11.44 [d, -N-H, JHP = 33.67 Hz, 1H]; 3.71 [t, N-CH2CH2CH2CH3, JHH = 7.32 Hz, 2H]; 1.52-1.70 [m, N-CH2CH2CH2CH3, 2H]; 1.30-1.50[m, N-CH2CH2CH2CH3, 2H]; 0.93 [t, N-CH2CH2CH2CH3, JHH = 7.19 Hz, 3H]; 7.58 [d, H-4, JHH = 7.0 Hz, 1H]; 7.06 [t, H-5, JHH = 7.0 Hz, 1H]; 7.31 [t, H-6, JHH = 7.0 Hz, 1H]; 6.85 [d, H-7, JHH = 7.0 Hz, 1H]; 0.93 [d ((CH3)2CHCH2O-), JHH = 6.69 Hz, 12H]; 1.92-2.02 [m ((CH3)2CHCH2O-), 2H]; 3.80-4.00 [m ((CH3)2CHCH2O-), 4H]. 13C NMR (δ): 18.67 [s ((CH3)2CHCH2O-), 4C]; 29.05 [d ((CH3)2CHCH2O-), JCP = 6.61 Hz, 2C]; 73.72 [d ((CH3)2CHCH2O-), JCP = 6.60 Hz, 2C]; 141.99 [s(-N=C), 1C]; 161.15 [(C=O), 1C]; 108.97-134.97 [(C, arom.), 6C]; 39.40 [s (NCH2CH2CH2CH3), 1C]; 29.63 [s (NCH2CH2CH2CH3), 1C]; 20.15 [s (NCH2CH2CH2CH3), 1C]; 13.68 [s (NCH2CH2CH2CH3), 1C]. 31P NMR (δ): - 0.50 dq. m/z (%): 409 (32), 388 (2), 353 (50), 297 (40), 269 (12), 216 (100), 170 (5), 146 (32), 117 (10), 77 (5), 57 (5).

Phosphorohydrazidic acid N'-[1,2-dihydro-2-oxo-1-(benzyl)-3H-indol-3-ylidene]-diisobutyl ester (4). Orange oil. Yield: 38%. IR (cm-1): 3209.0 (νNH); 1616.0 (νC=N); 1687.4 (νC=O); 1261.2 (νP=O); 1022.1 (νP-O-C). 1H NMR (δ): 11.40 [d, -N-H, JHP = 34.29 Hz, 1H]; 4.93 [s, N-CH2, 2H]; 6.73-7.23 [m, H-9 to H-13, 5H]; 7.60 [d, H-4, JHH = 7.0 Hz, 1H]; 7.08 [t, H-5, JHH = 7.0 Hz, 1H]; 7.21-7.23 [m, H-6, 1H]; 6.78 [d, H-7, JHH = 7.0 Hz, 1H]; 0.95 [d ((CH3)2CHCH2O-), JHH = 6.68 Hz, 12H]; 1.94-2.07 [m ((CH3)2CHCH2O-), 2H]; 3.78-4.03 [m ((CH3)2CHCH2O-), 4H]. 13C NMR (δ): 18.60 [s ((CH3)2CHCH2O-), 4C]; 28.97 [d ((CH3)2CHCH2O-), JCP = 7.33 Hz, 2C]; 73.78[d ((CH3)2CHCH2O-), JCP = 6.60 Hz, 2C]; 141.70 [s(-N=C), 1C]; 161.11 [(C=O), 1C] 109.61-135.10 [(C, arom.), 6C]; 43.17 [s (CH2C6H5), 1C]; 127.29-134.64 [s (CH2C6H5), 6C]. 31P NMR (δ): - 0.55 dq. m/z(%): 444 (70), 388 (60), 332 ( 30), 251(100), 222 (15), 91(73).

Phosphorohydrazidic acid N'-[5-chloro-1,2-dihydro-2-oxo-1-(benzyl)-3H-indol-3-ylidene]-diisobutyl ester (5). Orange oil. Yield: 91%. IR (cm-1): 3210.0 (νNH); 1614.1 (νC=N); 1691.2 (νC=O); 1247.3 (νP=O); 1020.1 (νP-O-C). 1H NMR (δ): 11.44 [d, -N-H, JHP = 33.63 Hz, 1H]; 4.92 [s, N-CH2C6H5, 2H]; 7.29-7.57 [m, H-9 - H-13, 5H]; 7.36 [d, H-4, JHH = 8.0 Hz, 1H]; 7.30 [d, H-6, JHH = 8.0 Hz, 1H]; 6.68 [d, H-7, JHH = 8.0 Hz, 1H]; 0.96 [d ((CH3)2CHCH2O-), JHH = 6.78 Hz, 12H]; 1.94-2.06 [m ((CH3)2CHCH2O-), 2H]; 3.87-4.00 [m ((CH3)2CHCH2O-), 4H].13C NMR (δ): 18.64 [s ((CH3)2CHCH2O-), 4C]; 29.07 [d ((CH3)2CHCH2O-), JCP = 6.60 Hz, 2C]; 73.99[d ((CH3)2CHCH2O-), JCP = 5.87 Hz, 2C]; 141.11 [s(-N=C), 1C]; 160.90 [(C=O), 1C]; 110.76-135.55 [(C, arom.), 6C]; 43.38 [s (CH2C6H5), 1C]; 127.44-139.99 [s (CH2C6H5), 6C]. 31P NMR): - 0.97 dq. m/z (%): 477(47), 421 (100), 365 (62), 348 (7), 285 (87), 256 (27), 193 (7), 150 (5), 118 (7), 91 (100), 65 (20).

Phosphorohydrazidic acid N'-[5-chloro-1,2-dihydro-2-oxo-3H-indol-3-ylidene]-diisobutyl ester (6). Yellow solid. Yield: 90%. M.p. 150 ºC; IR (cm-1): 3210.9 (νNH); 1614.2 (νC=N); 1691.2 (νC=O); 1259.3 (νP=O); 1020.2 (νP-O-C). 1H NMR (δ): 11.36 [d, -N-H, JHP = 33.42 Hz, 1H]; 8.86 [s, N-H, 1H]; 7.51 [d, H-4, 1H]; 7.24 [d, H-6, JHH = 8.0 Hz, 1H]; 6.87 [d, H-7, JHH = 8.0 Hz, 1H]; 0.96 [d ((CH3)2CHCH2O-), JHH = 6.68 Hz, 12H]; 1.94-2.08 [m ((CH3)2CHCH2O-), 2H]; 3.80-4.03 [m ((CH3)2CHCH2O-), 4H]. 13C NMR (δ): 18.62 [s ((CH3)2CHCH2O-), 4C]; 29.00 [d ((CH3)2CHCH2O-), JCP = 6.61 Hz, 2C]; 74.22 and 73.97 [d ((CH3)2CHCH2O-), JCP = 6.60 Hz, 2C]; 140.88 and 139.24 [s(-N=C), 1C]; 166.15 and 163.04 [s (C=O), 1C]; 116.90-136.25 [(C, arom.), 6C]. 31P NMR (δ): - 0.93 dq. m/z (%): 388 (12), 331 (20), 275 (100), 258 (12), 194 (82), 165 (24), 138 (15), 102 (12), 111 (13), 75 (7), 57 (7).

Phosphorohydrazidic acid N'-[1,2-dihydro-2-oxo-1-(2-propenyl)-3H-indol-3-ylidene]-diisobutyl ester (7). Orange oil. Yield: 88%. IR (cm-1): 3214.8 (νNH); 1614.1 (νC=N); 1689.3 (νC=O); 1272.8 (νP=O); 1020.1 (νP-O-C). 1H NMR (δ): 11.40 [d, -N-H, JHP = 33.63 Hz, 1H]; 4.36 [dt, N-CH2CH=CH2, 2H]; 5.80-5.88 [m, N-CH2CH=CH2, 2H]; 5.24 [dd, N-CH2CH=CH2, 2H]; 7.60 [d, H-4, JHH = 7.0 Hz, 1H]; 7.09 [t, H-5, JHH = 7.0 Hz, 1H]; 7.30 [t, H-6, J HH = 8.0 Hz, 1H]; 6.85 [d, H-7, JHH = 8.0 Hz, 1H]; 0.95 [d ((CH3)2CHCH2O-), JHH = 6.78 Hz, 12H]; 1.97-2.05 [m ((CH3)2CHCH2O-), 2H]; 3.85-3.95 [m ((CH3)2CHCH2O-), 4H]. 13C NMR (δ): 18.64 [s ((CH3)2CHCH2O-), 4C]; 29.09 [d ((CH3)2CHCH2O-), JCP = 7.34 Hz, 2C]; 73.75 [d ((CH3)2CHCH2O-), JCP = 5.87 Hz, 2C]; 141.73 [s(-N=C), 1C]; 160.86 [(C=O), 1C]; 109.57-134.72 [s (C, arom.), 6C]; 41.76 [s (CH2-CH=CH2), 1C]; 130.22 [s (CH2-CH=CH2), 1C]; 118.08 [s (CH2-CH=CH2), 1C]. 31P NMR (δ): - 0.50 dq. m/z (%): 394 (87), 356 (5), 337 (52), 311(10), 281 (42), 253 (30), 200 (100), 172 (35), 143(27),117 (15), 91 (5), 57 (10).

Phosphorohydrazidic acid N'-[1-(3-bromopropyl)-1,2-dihydro-2-oxo-3H-indol-3-ylidene]-diisobutyl ester (8). Orange oil. Yield: 75%. IR (cm-1): 3212.8 (νNH); 1614.1 (νC=N); 1687.4 (νC=O); 1267.0 (νP=O); 1024.0 (νP-O-C). 1H NMR (δ): 11.37 [d, -N-H, J HP = 33.42 Hz, 1H]; 3.78-4.01 [m, N-CH2CH2CH2Br, 2H]; 2.19-2.29 [m, N-CH2CH2CH2Br, 2H]; 3.44 [t, N-CH2CH2CH2Br, JHH = 6.30 Hz, 2H]; 7.60 [d, H-4, JHH = 7.0 Hz, 1H]; 7.10 [t, H-5, JHH = 7.0 Hz, 1H]; 7.35 [t, H-6, JHH = 7.0 Hz, 1H]; 6.96 [d, H-7, JHH = 7.0 Hz, 1H]; 0.94 [d ((CH3)2CHCH2O-), JHH = 6.68 Hz, 12H]; 1.90-2.06 [m ((CH3)2CHCH2O-), 2H]; 3.78-4.01 [m ((CH3)2CHCH2O-), 4H]. 3C NMR (δ): 18.66 [s ((CH3)2CHCH2O-), 4C]; 29.07 [d ((CH3)2CHCH2O-), JCP = 6.60 Hz, 2C]; 73.83 [d ((CH3)2CHCH2O-), JCP = 5.87 Hz, 2C]; 141.66 [s(-N=C), 1C]; 161.29 [s (C=O), 1C]; 108.84-134.59 [(C, arom.), 6C]; 38.11 [s (CH2-CH2CH2Br), 1C]; 30.71 [s (CH2-CH2CH2Br), 1C]; 30.17[s (CH2-CH2CH2Br), 1C]. 31P NMR (δ): -0.56. m/z (%): 475 (10), 419 (27), 395 (10), 363(45), 340 (15), 282 (100), 226 (10), 201 (27), 174 (25), 144 (25), 90 (12), 51 (7).

Phosphorohydrazidic acid N'-[5-chloro-1,2-dihydro-1-methyl-2-oxo-3H-indol-3-ylidene]-diisobutyl ester (9). Orange oil. Yield: 73%. IR (cm-1): 3214.8 (νNH); 1614.1 (νC=N); 1691.2 (νC=O); 1268.9 (νP=O); 1014.3 (νP-O-C). 1H NMR ): 11.41 [d, -N-H, JHP = 33.63 Hz, 1H]; 3.25 [s, N-CH3, 3H]; 7.59 [d, H-4, 1H]; 7.32 [d, H-6, JHH = 8.0 Hz, 1H]; 6.81 [d, H-7, JHH = 8.0 Hz 1H]; 0.96 [d ((CH3)2CHCH2O-), JHH = 6.78 Hz, 12H]; 1.98-2.01 [m ((CH3)2CHCH2O-), 2H]; 3.84-4.01 [m ((CH3)2CHCH2O-), 4H]. 13C NMR (δ): 18.67 [s ((CH3)2CHCH2O-), 4C]; 29.07 [d ((CH3)2CHCH2O-), JCP = 7.34 Hz, 2C]; 73.88 [d ((CH3)2CHCH2O-), JCP = 5.87 Hz, 2C]; 148.73 [s(-N=C), 1C]; 160.96 [(C=O), 1C]; 109.70-133.66 [(C, arom.), 6C]; 25.68 [s (CH3), 1C]. 31P NMR (δ): - 0.25 dq. m/z (%): 401(100), 373 (5), 346 (57), 290 (57), 272 (10), 250 (5), 235 (1), 208(60), 180 (30), 151 (10), 117 (20), 89 (10), 75 (5), 57 (7).

Phosphorohydrazidic acid N'-[1,2-dihydro-2-oxo-1-benzyl-3H-indol-3-ylidene]-dibutyl ester (10). Yellow oil. Yield: 88%. IR (cm-1): 3216.7 (νNH); 1612.2 (νC=N); 1712.5 (νC=O); 1253.5 (νP=O); 1027.8 (νP-O-C). 1H NMR (δ): 11.47 and 8.74[2d, N-H-, JHP = 33.16 Hz e JHP = 28.12 Hz, 1H]; 4.92 and 4.94 [2s, N-CH2-,2H]; 7.23-7.93 [m, H-9 a H-13, 5H]; 7.97 [d, H-4, JHH = 7.44 Hz, 1H]; 7.05 [t, H-5, JHH = 7.44, 1H]; 7.23 [d, H-6, 1H]; 6.75 [d, H-7, JHH = 7.82 Hz, 1H]; 0.90-0.91 [2t (CH3CH2CH2CH2O-), 6H]; 1.37-1.44 [m, (CH3CH2CH2CH2O-) 4H]; 1.63-1.77 [m (CH3CH2CH2CH2O-), 4H]; 4.07-4.29 [m (CH3CH2CH2CH2O-), 4H]. 13C NMR (δ): 13.59 [s (CH3CH2CH2CH2O-), 4C]; 18.65 [d (CH3CH2CH2CH2O-), JCP = 6.60 Hz, 2C]; 32.28 (CH3CH2CH2CH2O-), JCP 67.75 [d (CH3CH2CH2CH2O-), JCP = 5.86 Hz, 2C]; 143.58 [s(-N=C), 1C]; 161.21 [(C=O), 1C]; 109.67-135.52 [(C, arom.), 6C]; 25.68 [s (CH3), 1C]. 31P NMR (δ): -0.27 e -1.30. m/z (%): 444 (78), 387 ( 10), 357 (5), 292 (26), 251(48), 222(45), 144(10), 91 (100).

Phosphorohydrazidic acid N'-[1,2-dihydro-2-oxo-3H-indol-3-ylidene]-dibutyl ester (11). Yellow oil. Yield: 83%. IR (cm-1): 3185.8 (νNH); 1621.8 (νC=N); 1700.9 (νC=O); 1249.6 (νP=O); 1022.1 (νP-O-C). 1H NMR (δ): 11.46 [d, P-N-H, JHP = 33.63 Hz, 1H]; 9.79 [s, N-H, 1H]; 7.52 [d, H-4, JHH = 7.53 Hz, 1H]; 7.05 [t, H-5, JHH = 7.53 Hz, 1H]; 7.25 [t, H-6, JHH = 7.78 Hz, 1H]; 6.94 [d, H-7, JHH = 7.78 Hz, 1H]; 0.91 [t (CH3CH2CH2CH2O-), JHH = 7.28 Hz, 6H]; 1.38-1.44 [m, (CH3CH2CH2CH2O-) 4H]; 1.67-1.74 [m (CH3CH2CH2CH2O-), 4H]; 4.14-4.22 [m (CH3CH2CH2CH2O-), 4H]. 13C NMR (δ): 13.50 [s (CH3(CH2)3O-), 2C]; 18.60 [s (CH3CH2(CH2)2O-), 2C]; 32.16 [d (CH3CH2CH2CH2O-), JCP = 6.60 Hz, 2C]; 67.80 [d (-CH3(CH2)2CH2O-), JCP = 5.87 Hz, 2C]; 140.99 [s (-N=C), 1C]; 163.17 [(C=O), 1C]; 111.15-135.92 [(C, arom.), 6C]. 31P NMR (δ): - 0.22 dq. m/z (%): 354 (100), 339 (5), 323 (7), 298 (10), 280 (7), 267 (5), 241 (12), 213 (25), 187 (5), 160 (77), 131 (65), 104 (32), 77 (21), 51 (10).

Phosphorohydrazidic acid N'-[1,2-dihydro-1-methyl-2-oxo-3H-indol-3-ylidene]-dibutyl ester (12). Orange oil. Yield: 58%. IR (cm-1): 3210.9 (νNH); 1614.1 (νC=N); 1689.3 (νC=O); 1272.8 (νP=O); 1029.8 (νP-O-C). 1H NMR (CDCl3): 11.35 and 8.33 [d, P-N-H, JHP = 33.55 Hz e JHP = 28.62 Hz, 1H]; 3.20 [s, N-CH3, 3H]; 7.54 [2d, H-4, JHH = 6.93 Hz, 1H]; 7.04 [t, H-5, JHH = 6.80 Hz, 1H]; 7.32 [t, H-6, JHH = 7.69 Hz, 1H]; 6.82 [d, H-7, JHH = 7.95 Hz, 1H]; 0.87 [t (CH3CH2CH2CH2O-), JHH = 7.31 Hz, 6H]; 1.29-1.44 [m, (CH3CH2CH2CH2O-) 4H]; 1.57-1.73 [m (CH3CH2CH2CH2O-), 4H]; 4.03-4.19 [m (CH3CH2CH2CH2O-), 4H]. 13C NMR (δ): 13.46 [s (CH3(CH2)3O-), 2C]; 18.54 [s (CH3CH2(CH2)2O-), 2C]; 32.12 [d (CH3CH2CH2CH2O-), JCP = 6.61 Hz, 2C]; 67.52 e 67.99 [d (-CH3(CH2)2CH2O-), JCP = 6.60 Hz, 2C]; 142.43 [s (-N=C), 1C]; 161.06 [(C=O), 1C]; 108.70-134.97 [(C, arom.), 6C]; 25.42 and 25.96 [s (CH3), 1C]. 31P NMR ): - 0.25 dq. m/z (%): 368 (100), 353(10), 337 (5), 312 (10), 208 (23), 174 (87), 146 (76), 117 (48), 91 (30).

Phosphorohydrazidic acid N'-[5-chloro-1,2-dihydro-2-oxo-3H-indol-3-ylidene]-dibutyl ester (13). Yellow solid. Yield: 35%. M.p. 148 ºC. IR (cm-1): 3129.9 (νNH); 1623.8 (νC=N); 1704.7 (νC=O); 1247.7 (νP=O); 1016.8 (νP-O-C). 1H NMR ): 11.41 [d, P-N-H, JHP = 33.63 Hz, 1H]; 9.63 [s, N-H, 1H]; 7.49 [d, H-4, JHH = 2.01, 1H]; 7.24 [dd, H-6, JHH = 8.38 Hz, 1H]; 6.89 [d, H-7, JHH = 8.28 Hz, 1H]; 0.91 [t (CH3CH2CH2CH2O-), JHH = 7.28 Hz, 6H]; 1.42 [sex, (CH3CH2CH2CH2O-), JHH = 7.53 Hz 4H]; 1.70 [qui (CH3CH2CH2CH2O-), JHH = 8.03 Hz, 4H]; 4.12-4.21 [m (CH3CH2CH2CH2O-), 4H]. 13C NMR (δ): 13.52 [s (CH3(CH2)3O-), 2C]; 18.63 [s (CH3CH2(CH2)2O-), 2C]; 32.22 [d (CH3CH2CH2CH2O-), JCP = 7.33 Hz, 2C]; 68.01 [d (-CH3(CH2)2CH2O-), JCP = 5.87 Hz, 2C]; 139.08 [s (-N=C), 1C]; 162.86 [(C=O), 1C]; 120.60-134.92 [(C, arom.), 6C]. 31P NMR (δ): - 0.75. m/z (%): 388(100), 357(10), 332 (13), 301 (7), 275 (25), 236 (20), 194 (60), 165 (40), 138 (28), 102 (12), 83 (15), 57 (7).

Phosphorohydrazidic acid, N'-[1,2-dihydro-2-oxo-1-(benzyl)-3H-indol-3-ylidene]-diethyl ester (14). Orange oil. Yield: 86%. IR (cm-1): 3214.8 (νNH); 1614.1 (νC=N); 1685.5 (νC=O); 1267.0 (νP=O); 1025.9 (νP-O-C). 1H NMR (CDCl3): 11.47 [d, P-N-H, JHP = 33.38 Hz, 1H]; 4.93 [s, N-CH2C6H5); 7.22-7.38 [m, H-9 a H-13, 5H]; 7.65[d, H-4, JHH = 7.0 Hz, 1H]; 7.08 [t, H-5, JHH = 7.0 Hz, 1H]; 7.25 [t, H-6, JHH = 7.0 Hz, 1H]; 6.78 [d, H-7, JHH = 7.0 Hz, 1H]; 1.38 [t (CH3CH2O-), JHH = 7.03 Hz, 6H]; 4.18-4.30 [m (CH3CH2O-), 4H]. 13C NMR (δ): 16.22 [d (CH3CH2O-), JCP = 6.60 Hz, 2C]; 64.09 [d (CH2O-), JCP = 5.87 Hz , 2C]; 141.73 [s (-N=C), 1C]; 161.23 [(C=O), 1C]; 109.70-135.16 [(C, arom.), 6C]; 43.26 [s (CH2C6H5), 1C]; 127.37-134.99 [s (CH2C6H5), 6C]. 31P NMR (δ): - 0.35 dq. m/z (%): 388 (100), 360 (1), 250 (20), 222 (8), 194 (6), 144 (3), 109 (5), 91 (32).

Phosphorohydrazidic acid, N'-[1,2-dihydro-2-oxo-3H-indol-3-ylidene]-diethyl ester (15). Brown solid. Yield: 86%. M.p. 120 ºC. IR (cm-1): 3137.6 (νNH); 1621.8 (νC=N); 1697.0 (νC=O); 1240.0 (νP=O); 1018.2 (νP-O-C). 1H NMR (CDCl3): 11.43 [d, -N-H, JHP = 33.63 Hz, 1H]; 9.63[s, N-H]; 7.54[d, H-4, JHH = 8.0 Hz, 1H]; 7.02 [t, H-5, JHH = 8.0 Hz, 1H]; 7.25 [t, H-6, JHH = 8.0 Hz, 1H]; 6.92 [d, H-7, HHJ = 8.0 Hz, 1H]; 1.36 [t (CH3CH2O-), JHH = 7.03 Hz, 6H]; 4.16-4.27 [m (CH3CH2O-), 4H]. 13C NMR (δ): 16.10 [d (CH3CH2O-), JCP = 6.61 Hz, 2C]; 64.20 [d (CH2O-), JCP = 5.13 Hz , 2C]; 140.74 [s (-N=C), 1C]; 163.19 [(C=O), 1C]; 11.15-136.06 [(C, arom.), 6C]. 31P NMR (δ): - 0.29 dq. m/z (%): 297 (100), 276 (8), 252 (5), 241 (8), 224 (7), 213 (18), 195 (5), 173 (10), 159 (55), 131 (85), 104 (35), 77 (27), 65 (5), 51 (12).

Phosphorohydrazidic acid, N'-[1-butyl-1,2-dihydro-2-oxo-3H-indol-3-ylidene]-diethyl ester (16). Orange oil. Yield: 65%. IR (cm-1): 3209.0 (νNH); 1614.1 (νC=N); 1685.5 (νC=O); 1267.0 (νP=O);1025.9 (νP-O-C). 1H NMR ): 11.48 [d, -N-H, JHP = 33.38 Hz, 1H]; 3.72 [t, N-CH2CH2CH2CH3, JHH = 7.28 Hz, 2H]; 1.66 [quint, N-CH2CH2CH2CH3, JHH = 7.28 Hz, 2H]; 1.16-1.34 [m, N-CH2CH2CH2CH3, 2H]; 0.95 [t, N-CH2CH2CH2CH3, JHH = 7.28 Hz, 2H]; 7.62 [d, H-4, JHH = 7.0 Hz, 1H]; 7.08 [t, H-5, JHH = 7.0 Hz, 1H]; 7.32 [t, H-6, JHH = 7.0 Hz, 1H]; 6.86 [d, H-7, JHH = 7.0 Hz, 1H]; 1.37 [t (CH3CH2O-), JHH = 7.03 Hz, 6H]; 4.21-4.26 [m (CH3CH2O-), 4H]. 13C NMR (δ): 16.13 [d (CH3CH2O-), JCP = 6.60 Hz, 2C]; 63.97 [d (CH2O-), JCP = 5.13 Hz , 2C]; 142.03 [s (-N=C), 1C]; 161.20 [(C=O), 1C]; 108.97-135.25 [(C, arom.), 6C]; 39.33 [s (NCH2CH2CH2CH3), 1C]; 29.64 [s (NCH2CH2CH2CH3), 1C]; 20.18 [s (NCH2CH2CH2CH3), 1C]; 13.70 [s (NCH2CH2CH2CH3), 1C]. 31P NMR (δ): - 0.20 dq. m/z (%): 353 (100), 339 (2), 297 (2), 280 (3), 216 (52), 201 (10), 187 (18), 170 (12), 146 (30), 117 (15), 104 (7), 91 (12).

 

RESULTS AND DISCUSSION

Physical characteristics and yields of dialkylphosphorylhydrazones synthesized in this work (1-16) are shown in Table 1.

Infrared spectroscopy

Dialkylphosphonates

The most characteristic absorption band of dialkylphosphonates is the axial vibration of the P-H bond, which occurs between 2222 cm-1 and 2505 cm-1.39 Other important absorption bands are observed at 1210 cm-1 and 1261 cm-1, which correspond to P=O axial vibrations, and at 950 cm-1 and 1018 cm-1, which are attributed to P-O-C angular vibrations.

The infrared spectra of all dialkylphosphonates present absorptions bands in the ranges from 2426 cm-1 to 2434 cm-1, from 1216 cm-1 to 1255 cm-1, and from 1006 cm-1 to 983 cm-1, which are attributed to axial deformations of P-H, P=O, and P-O bonds, respectively.

Dialkylphosphorylhydrazines

An absorption band in the region from 1031 cm-1 to 1166 cm-1 corresponding to P-N vibration is the main evidence for the formation of a dialkylphosphorylhydrazine.39 Furthermore, no absorption bands in the region of 2425 cm-1 are observed, which shows the absence of the P-H bond, a characteristic of the starting dialkylphosphonates.

Dialkylphosphorylhydrazones (1-16)

The main absorption bands observed in the IR spectra correspond to stretching frequencies of the P=O, P-O-C, and C=N bonds of the dialkylphosphorylhydrazones, which range from 1238 cm-1 to 1272 cm-1, from 1012 cm-1 to 1029 cm-1, and from 1612 cm-1 to 1623 cm-1, respectively. The presence of the C=N bond absorption confirms the formation of the desired products from the reaction between the various isatins and dialkylphosphorylhydrazines.

1H NMR

Dialkylphosphonates

A characteristic signal of the dialkylphosphonates is that of the P-H proton, which is a doublet at 6.70 ppm with JHP = 660-750 Hz.40 A further characteristic signal is a multiplet at 4.00 ppm, corresponding to the hydrogen atoms of the alkoxy group linked to the phosphoryl group.

Dialkylphosphorylhydrazines

A characteristic 1H NMR signal of dialkylphosphorylhydrazine is the presence of a broad singlet at ~3.6 ppm, ascribed to the hydrogens linked to nitrogen atoms. An evidence for the occurrence of the reaction is the disappearance of doublet centered at ~6.70 ppm, indicating a complete consumption of dialkylphosphonate.

Dialkylphosphorylhydrazones (1-16)

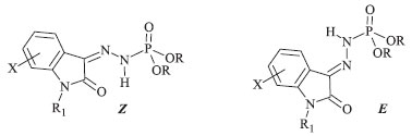
In the 1H NMR analyses, a typical signal that confirms the formation of dialkylphosphorylhydrazones corresponds to the phosphoramidic hydrogen (11.36-11.47 ppm), which is linked to the nitrogen atom α to the phosphorus atom. This hydrogen is observed as a doublet (J = 33-34 Hz) due to its coupling with the P atom. This chemical shift is characteristic of compounds containing an internal hydrogen bond; therefore, confirming that all compounds exhibit a hydrogen bond between the amide hydrogen and the carbonyl of isatin, forming a six-membered ring favoring the Z configuration (Figure 2).

 


Figure 2. The two possible diastereoisomers

 

1H NMR spectra of 3, 4, 5, 7, 8, 9, and 11 indicate that the reaction is 100% diastereoselective. However, analysis of spectra of 1, 2, 6, 10, and 12 shows that the two possible isomers E and Z coexist, as indicated by the presence of a second doublet (J = 28 Hz) at 8.45 ppm.

13C NMR and 31P NMR

The carbon atoms of compounds 1-10, which are most affected by substitution, are the carbonyl and the hydrazidic carbons of the isatin moiety. The chemical shifts for the carbonyl carbon and hydrazidic carbon of the synthesized compounds varies from 160.88 ppm to 166.15 ppm and from 140.74 ppm to 148.73 ppm, respectively. The 31P NMR spectra of compounds 1, 2, and 10 show two signals each at -0.55/-0.92 ppm, 1.01/-0.43 ppm, and-0.27/-1.30 ppm, respectively, indicating that there are two different 31P atoms, which in turn suggests the presence of both E and Z isomers. This observation is corroborated by the presence of two C=O and C=N carbon signals in the 13C NMR spectrum of 2, i.e., 163.69 and 161.05 ppm for C=O and 144.28 and 142.37 ppm for C=N. The same observation can be made from the 13C NMR spectrum of 10 (163.85 and 161.21 ppm for C=O and 143.58 and 141.71 ppm for C=N). Because of the poor resolution of the 13C NMR spectrum of 1, the doubling of these signals is not readily visible. However, as mentioned before, the doubling of signals in its 31P NMR spectrum is proof of the presence of the two diastereoisomers.

Biological activity

Compounds 1, 2, 11, and 12 exhibit higher inhibition potential for the development of Fusarium oxysporum. These four compounds have small groups (H and CH3) linked to the amide nitrogen, while the rest of the molecules, except 6 and 9, in this series have larger substituents (Table 2). The smaller inhibitory effects associated with compounds 6 and 9 can be attributed to the presence of electron withdrawing (chlorine) substituent on the aromatic ring. Further studies will be conducted to prove this hypothesis.

 

 

The growth of Rhizoctonia solani is inhibited by dialkylphosphorylhydrazones 9, 11, and 12, the latter showing the highest inhibition potential. In this case as well, the compounds contain small groups (H and CH3) substituted on the amide nitrogen (Table 2).

Seed germination

Use of lettuce or tomato seeds as a means to assess the effect of chemicals on germination has been shown to be a good method since the seeds germinate in a few days; between 4 and 6 days for lettuce and between 5 and 10 days for tomatoes, thereby providing faster results. Secondly, the tests can be performed in Petri dishes and are easily manipulated in a germination chamber. Finally, the cost of implementation of the assay is very low.

The effect of dialkylphosphorylhydrazones (400 mg L-1) on lettuce germination is low for all compounds (Table 3). These results indicate that these compounds can be used for protection of lettuce seeds against Fusarium oxysporum and Rhizoctonia solani. However, it is important to note that investigations with seeds of other cultivated plants must be carried out, since these results cannot be extrapolated to all types of seeds.

 

 

CONCLUSION

New dialkylphosphorylhydrazones derived from isatin were synthesized with good yields. These interesting compounds can be synthesized by relatively simple and reproducible methodologies.

Evaluation of fungicidal activity of dialkylphosphorylhydrazones against Rhizoctonia solani and Fusarium oxysporum showed that compounds 1, 2, 9, 11, and 12 can inhibit their growth. In addition, the biologically active compounds did not inhibit germination of lettuce seeds, making them potential leads in the search for new fungicides.

 

SUPLEMENTARY MATERIAL

All Figures and spectra in this section are available at http://quimicanova.sbq.org.br (.pdf format) with free access.

 

ACKNOWLEDGMENTS

We thank for CAPES and CNPq for financial support.

 

REFERENCES

1. Vandenborre, G.; Smagghe, G. V.; Van Damme, E. J. M.; Phytochemistry 2011, 72, 1538.

2. Govindarajan, M.; Parasitol. Res. 2011, 109, 93.

3. Affokpon, A.; Coyne, D. L.; Htay, C.; Cho; A.; Rufin Dossou; L. L.; Coosemans, J.; Soil Biol. Biochem. 2011, 43, 600.

4. Ma, Y. T.; Fan, H.F.; Gao, Y.Q.; Li, H.; Zhang, A.L.; Gao, J. M.; Chem. Biol. Drug Des. 2013, 81, 545.

5. Mellon, J. E.; Dowd, M. K.; Beltz, S. B.; J. Appl. Microbiol. 2013, 115, 179.

6. Souza, M. A. A.; Souza, S. R.; Veiga-Junior, V. F.; Cortez, J. K. P. C.; Leal, R. S.; Dantas, T. N. C.; Maciel, M. A. M.; Rev. Bras. Farmacogn. 2006, 16, 599.

7. Cordeiro, C. H. G.; Sacramento, L. V. S.; Corrêa, M. A.; Pizzolitto; A. C.; Lara, E. H. G.; Moraes, H. P.; Rev. Bras. Plantas Med. 2006, 8, 173.

8. Kuete, V.; Alibert-Franco, S.; Eyong, K. O.; Ngameni, B.; Folefoc, G. N.; Nguemeving, J. R.; Tangmouo, J. G.; Fotso, G. W.; Komguem, J.; Ouahouo, B. M. W.; Bolla, J.-M.; Chevalier, J.; Ngadjui, B. T.; Nkengfack, A. E.; Pagès, J.-M.; Int. J. Antimicrob. Agents 2011, 37, 156.

9. Salta, M.; Wharton, J. A.; Dennington, S. P.; Stoodley, P.; Stokes, K. R.; Int. J. Mol. Sci. 2013, 14, 21757.

10. Smith, C. J.; New Phytol. 1996, 132, 1.

11. Pires, N. M.; Prates, H. T.; Pereira Filho, I. A.; Oliveira Jr., R. S.; Faria, T. C. L.; Sci. Agric. 2001, 58, 61.

12. Piña-Rodrigues, F. C. M.; Lopes, B. M.; Floresta e Ambiente 2001, 8, 130.

13. Prates, H. T.; Paes, J. M. V.; Pires, N. M.; Pereira Filho, I. A.; Magalhães, P. C.; Pesq. Agropec. Bras. 2000, 35, 909.

14. Soares, G. L. G.; Vieira, T. R.; Floresta e Ambiente 2000, 7, 180.

15. Guo, Y.; Chen, F.; Zhongcaoyao 1986, 17, 8.

16. Yochizawa, M; Murakami, T; Kishi, A; Sakurama, T; Matsuda, H; Nomura, M; Kubo, M.; Chem. Pharm. Bull. 1998, 46, 886.

17. Bergman, J; Lindstorm, J.O; Tilstam, U.; Tetrahedron 1985, 41, 2879.

18. Wei, L; Wang, Q; Liu, X.; Yaowu Fenxi Zazhi 1982, 2, 228.

19. Erdmann, O. L.; J. Prakt. Chem. 1840, 19, 321.

20. Laurent, A.; Annu. Rev. Chim. Phys. 1840, 3, 393.

21. Hygreevachary, K.; Srinivas, B.; Kiran, G.; Sarangapani. M.; J. Adv. Pharm. Sci. 2011, 1, 51.

22. Argüelles, M. C. R.; Ferrari, M.B.; Bisceglie, F.; Pellizzi, C.; Pelosi, G.; Pinelli, S.; Sassi, M.; J. Inorg. Biochem. 2004, 98, 313.

23. Pandeya, S. N.; Smitha, S.; Jyoti, M.; Sridhar, S. K.; Acta Pharm. 2005, 55, 27.

24. Medvedev, A.; Buneeva, O.; Glover, V.; Biologics: Targets & Therapy 2007, 2, 151.

25. Anand, A. V. K.; Dasary K.; Lavania, A.; Chemistry of Phytopontecials: Health, Energy and Enviromental Perspectives (2012) DOI: 10.1007/978-3-642-23394-4_70, Springer-Verlag Berlin Heidelberg.

26. Pandey, V. K.; Dwivedi, A.; Pandey, O. P.; Sengupta, S. K.; J. Agric. Food Chem. 2008, 56, 10779.

27. Wang, J.; Tan, H.; Li, Y.; Li, Z.; Guddat, L.W.; J. Agric. Food Chem. 2011, 59, 9892.

28. Bauer, D. J.; Dumbell, K. R.; Hulme, P. F.; Sadler, P. W.; Bull World Health Organ. 1962, 26, 727.

29. Ronen, D.; Teitz, Y.; Antimicrob. Agents Ch. 1984, 26, 913.

30. Pirrung, M. C.; Pansare, S. V.; Sarma, K.; Keith, K. A.; Kern, E. R.; J. Med. Chem. 2005, 48, 3045.

31. Rodrigues, J. M.; DaCosta, J. B. N.; Phosphorus, Sulfur Silicon Relat. Elem. 2002, 177, 137.

32. Santos, V. M. R.; Donnici, C. L.; DaCosta, J. B. N.; Caixeiro, J. M. R.; Quim. Nova. 2007, 30, 159.

33. Santos, V. M. R.; DaCosta, J. B. N.; Sant'Anna, C. M. R.; Oliveira, M. C. C.; Phosphorus, Sulfur Silicon Relat. Elem. 2004, 179, 173.

34. Santos, V.M.R.; Sant'Anna, C. M. R.; Borja, G. E. M.; Chaaban, A.; Côrtes, W. S.; DaCosta, J. B. N.; Bioorg. Chem. 2007, 35, 68.

35. Rodrigues, J. M.; Sant'Anna, C. M. R.; Runjanek, V. M.; DaCosta, J. B. N.; Phosphorus, Sulfur Silicon Relat. Elem. 2010, 185, 40.

36. Nogueira, A. J. M.; Lima, M. E. F.; DaCosta, J. B. N.; Alves, E. S. S.; Anjos, D. O.; Santos, M. A. V.; Rangel, A. L.; Quim. Nova. 2011, 34, 1365.

37. Silva, B. V.; J. Braz. Chem. Soc. 2013, 24, 707.

38. Vogel, A. I.; Análise Orgânica Qualitativa, Ao Livro Técnico S.A.: Rio de Janeiro, 1981.

39. Thomas, L. C.; Interpretation of the Infrared Spectra of Organophosphorus Compounds. Heyden & Son, Ltd.: London, 1974.

40. Thomas, L. C.; The Identification of Functional Groups in Organophosphorus Compounds, 1st Ed., Academic Press Inc.: London, 1974, p. 79.

On-line version ISSN 1678-7064 Printed version ISSN 0100-4042
Qu�mica Nova
Publica��es da Sociedade Brasileira de Qu�mica
Caixa Postal: 26037 05513-970 S�o Paulo - SP
Tel/Fax: +55.11.3032.2299/+55.11.3814.3602
Free access

GN1