JBCS



22:17, dom nov 16

Acesso Aberto/TP



Artigo


Terpenoides e cumarinas de Jatropha ribifolia (Pohl) Baill
Terpenoids and coumarins from Jatropha ribifolia (Pohl) Baill

Pedro Henrique Jataí BatistaI; José Roberto M. de AndradeI; Taynara Simao MatosI; Thiciana da Silva SousaI; Francisco das Chagas L. PintoI; Edilberto Rocha SilveiraI; Maria Iracema B. LoiolaII; Otilia D. Loiola PessoaI,*

IDepartamento de Química Orgânica e Inorgânica, Universidade Federal do Ceará, 60021-970 Fortaleza - CE, Brasil
IIDepartamento de Biologia, Universidade Federal do Ceará, 60455-970 Fortaleza - CE, Brasil

Recebido em 05/12/2013
Aceito em 27/03/2014
Publicado na web em 30/06/2014

Endereço para correspondência

*e-mail: opessoa@ufc.br

RESUMO

Eight compounds, including terpenoids (jatrophone, hydroxyjatrophone, 6-hydroxycyperene, cabraleadiol monoacetyl, and cabraleadiol) and coumarins (fraxetin, fraxidin, and isofraxidin), were isolated from Jatropha ribifolia (Euphorbiaceae). Their structures were established by 1D and 2D NMR (COSY, HSQC, and HMBC) spectra, HRESIMS and comparison with published data.

Palavras-chave: Jatropha ribifolia; Euphorbiaceae; Jatropheae.

INTRODUÇÃO

A família Euphorbiaceae, representada por 317 gêneros e aproximadamente 8000 espécies, encontra-se distribuída nos mais variados tipos de vegetações e habitats, em especial, nas regiões tropicais.1 Um dos gêneros mais importantes e conhecidos desta família é Jatropha L. (subfamília Crotonoideae, tribo Jatropheae), o qual abrange cerca de 170 espécies distribuídas nas regiões semi-áridas da África e das Américas.2 Jatropha constitui um grupo de vegetais de importância econômica, especialmente devido aos seus usos medicinais e ornamentais e, mais recentemente, como fonte de biodiesel natural.2-4 Devido à fácil propagação de suas sementes, espécies tais como J. gossypiifolia, J. curcas e J. multifida, têm sido cultivadas em várias partes do mundo, principalmente na África, com fins ornamentais e/ou como cercas vivas. Plantas do gênero Jatropha são produtoras em potencial de metabólitos secundários bioativos como terpenos, esteróides,5,6 alcalóides,3,7 saponinas, taninos,3,6 lignanas,2,5 flavonoides5-7 e peptídeos.3 De fato, compostos com atividades anticâncer, anti-inflamatória, anticoagulante, antibacteriana, moluscicida, antidiarreica e antiviral2,3,8 têm sido isolados de Jatropha, corroborando com suas propriedades medicinais. No Nordeste do Brasil, espécies como J. curcas, J. mollissima e J. ribifolia são comercializadas em feiras livres com fins terapêuticos. Vale salientar que, na medicina veterinária, espécies de Jatropha têm sido investigadas, in vivo, quanto às propriedades venenosas sobre ratos e cabras.3

Motivados pelo exposto, deu-se início à investigação química de J. ribifolia, resultando no isolamento e identificação de vários metabólitos secundários. O único estudo químico realizado sobre esta espécie mostrou apenas o isolamento dos compostos jatrofona e ácido ciperanóico.9

 

RESULTADOS E DISCUSSÃO

O estudo químico das raízes e do caule de J. ribifolia, utilizando métodos convencionais de cromatografia em gel de sílica e cromatografia líquida de alta eficiência, culminou no isolamento e identificação de cinco terpenoides e três cumarinas (Figura 1). A estrutura das substâncias obtidas foi determinada através da interpretação de seus dados espectrais de RMN de 1H e de 13C, incluindo experimentos bidimensionais como COSY, HSQC e HMBC, além de EM. A confirmação final de suas estruturas foi realizada por comparação com dados de RMN e dados físicos disponíveis na literatura.

 


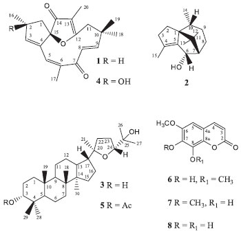
Figura 1. Metabólitos secundários isolados de Jatropha ribifolia

 

O composto 1, p.f. 160-162 ºC, obtido como um sólido amarelo, teve sua fórmula molecular C20H24O3 determinada por espectrometria de massa de alta resolução através do pico m/z 335,1626 [M+Na]+ (massa calculada 335,1623). No espectro de RMN de 13C do composto 1 verificou-se a presença de vinte sinais de carbono, dentre eles os sinais em δc 204,0 e 202,1, referentes a carbonilas conjugadas de cetonas, além de 8 sinais para átomos de carbono olefínico, compreendidos entre δc 112,5 e 183,4. No espectro de RMN de 1H foram observados sinais de átomos de hidrogênio metílico em δH 1,83 (d, J = 1,5 Hz), 1,70 (d, J = 0,5 Hz), 1,31 (s), 1,19 (s) e 1,05 (d, J = 7,1 Hz), além de sinais para átomos de hidrogênio olefínico em δH 6,40 (d, J = 16,2 Hz), 5,95 (d, J = 16,2 Hz), 5,76 (dd, J = 8,2 e 1,6 Hz) e 5,74 (d, J = 1,6 Hz). A análise dos dados espectroscópicos (Tabelas 1 e 2), em adição à comparação com a literatura, permitiu constatar que o composto 1 tratava-se do diterpeno macrocíclico conhecido como jatrofona, isolado anteriormente de J. ribifolia,9 J. gossypiifolia,10 J. curcas11 e J. elliptica.12 A literatura relata para jatrofona diversas atividades biológicas tais como antitumoral, moluscicida, leishmanicida e gastroprotetora.13

 

 

 

 

O composto 2 foi isolado como uma resina branca. Seu espectro de massas, obtido por ionização por electrospray, mostra o íon quasi molecular em m/z 219,1759 [M-H]- (massa calculada 219,1749), correspondendo com a fórmula molecular C15H24O. O espectro de RMN de 1H de 2 exibe um sinal em δH 4,67 (d, J = 4,7 Hz), compatível com um hidrogênio oximetínico. Os sinais em δH 1,79 (s), 0,96 (s), 0,83 (d, J = 6,5 Hz) e 0,77 (s) correspondem a quatro grupos metilas, sendo o sinal em δH 1,79 compatível com um grupo metila ligado a um carbono olefínico, além de uma série de multipletos compreendidos entre δH 2,67-1,15, referentes a átomos de hidrogênio metínico e metilênico. O espectro de RMN de 13C apresenta sinais correspondentes a quinze átomos de carbono, incluindo dois átomos de carbono olefínico em δc 143,7 (C-5) e 136,0 (C-4), um carbono oxigenado em δc 68,9 (C-6) e quatro átomos de carbono metílico em δc 26,3 (C-12), 20,6 (C-13), 18,3 (C-15) e 14,4 (C-14) (Tabelas 1 e 2). No experimento HMBC, a correlação do sinal em δH 1,79 (3H-14) com os sinais de carbono em δc 143,7 (C-5) e 42,5 (C-3) foi determinante para a localização da dupla ligação entre os átomos de carbono C-4 e C-5. A correlação do sinal em δH 4,67 (H-6) com os átomos de carbono em δc 22,0 (C-8) e 65,2 (C-1) comprova a localização do grupo hidroxila em C-6. A estereoquímica relativa de 2 foi determinada com base em compostos semelhantes descritos na literatura, como a do ácido ciperanóico, previamente isolado de J. ribifolia,9 6α-metoxi-cipereno, isolado de Croton muscicarpa14 (Euphorbiaceae), sugebiol e seu derivado peracetilado (triacetato de sugetriol), ambos isolados de Cyperus rotundos15 (Cyperaceae). Todos esses compostos mostram uma orientação α tanto para a hidroxila ligada a C-6 quanto para a metila em C-10, bem como orientação β para o biciclo entre C-1 e C-7. Estas análises permitiram identificar o composto 2 como sendo um sesquiterpeno de esqueleto patchoulano, nomeado como (6S)-patchoulan-4-en-6-ol, previamente isolado de Cyperus rotundus.16

O composto 3 foi isolado como um sólido amarelo com ponto de fusão entre 200-203 ºC. Seus espectros de RMN de 1H e de 13C apresentam sinais compatíveis com a estrutura do cabraleadiol (Tabelas 1 e 2). Este composto está sendo relatado pela primeira vez na família Euphorbiaceae e, de acordo com a literatura, ele apresenta atividades antiinflamatória e anticâncer.17

O composto 4, resina amarela, teve sua fórmula molecular C20H24O4 determinada por espectrometria de massa de alta resolução através do pico m/z 351,1591 [M+Na]+ (massa calculada 351,1572). O seu espectro de RMN de 13C apresenta-se bastante semelhante ao do composto 1. A principal diferença é a presença de um sinal para carbono oxigenado em δc 80,8, ausente no espectro de RMN de 13C de 1, condizente com a presença de uma hidroxila. O composto 4, após análise de seus dados espectrais (Tabelas 1 e 2), foi identificado como sendo 2β-hidroxijatrofona, isolado anteriormente de J. gossypiifolia.8 Este composto exibe atividade citotóxica anticâncer.13

O composto 5 foi obtido como sólido branco com ponto de fusão entre 100-103 ºC. Seus espectros de RMN de 1H e de 13C mostraram-se semelhantes aos do cabraleadiol, sendo a principal diferença um sinal adicional em δH 2,05 (s) no espectro de RMN de 1H e de dois sinais em δc 170,4 e 15,5 no espectro de RMN de 13C (Tabelas 1 e 2). A comparação com a literatura permitiu identificá-lo como sendo o derivado monoacetilado do triterpeno cabraleadiol,18 isolado pela primeira vez no gênero Jatropha e previamente de Euphorbia neriifolia.19 Para este composto foi descrito atividade larvicida.20

O composto 6, isolado como uma resina, apresenta em seu espectro de massa um pico referente ao aduto de sódio em m/z 245,0417 [M+Na]+ (massa calculada 245,0426), indicando a fórmula molecular C11H10O5. Os espectros de RMN de 1H e de 13C exibiram sinais típicos de cumarinas (Tabela 3). A interpretação dos dados espectrais de 6 conduziu a estrutura da isofraxidina.21 Este composto está sendo relatado pela primeira vez no gênero Jatropha, tendo sido isolado das espécies E. helioscopia,22 Phyllanthus sellowianus23 e Micrandra elata,24 todas pertencentes à família Euphorbiaceae. São relatadas, para o composto 6, atividades antifadiga, antibacteriana, antitumoral, antioxidante, analgésica e anti-inflamatória.25

 

 

O composto 7, isolado como resina, mostra um pico referente à molécula sodiada em m/z 245,0417 [M+Na]+ (massa calculada 245,0426), correspondendo à fórmula molecular C11H10O5. Seu espectro de RMN de 1H mostrou-se semelhante ao de 6. A análise dos dados espectroscópicos de 7 (Tabela 3) e a comparação com a literatura permitiram identificá-la como sendo a cumarina fraxidina.21 Este composto foi isolado anteriormente de J. podagrica, sendo relatadas as atividades antimicrobiana e antileishimaniose.26

O composto 8 foi obtido como uma resina amarela. Seu espectro de massa de alta resolução mostra o pico m/z 231,0263 [M+Na]+ (massa calculada 231,0269), indicando a fórmula molecular C10H8O5Na. A análise de seu espectro de RMN de 1H permitiu inferir sua estrutura como sendo a fraxetina21 (Tabela 3), isolada previamente de J. podagrica,27 J. elliptica,28 J. unicostata,29 J. gossypiifolia,30 J. cilliata31 e J. glandulifera.32 Para o composto 8 são relatadas atividades antioxidante e anti-inflamatória, antibacteriana e hepatoprotetora.33

 

PARTE EXPERIMENTAL

Procedimentos experimentais gerais

Os pontos de fusão (não corrigidos) foram determinados em aparelho Marconi, modelo MA 381, utilizando capilar de vidro em placa aquecedora e uma central de processamento N4800. As medidas de rotação óptica foram determinadas em polarímetro JASCO modelo P-2000. Os espectros de massas de alta resolução foram obtidos em espectrômetro SHIMADZU, modelo LCMS-IT-TOF, equipado com uma fonte de ionização por electrospray (IES), sendo os scans adquiridos no modo positivo ou negativo. Condições gerais das análises: voltagens do capilar 3500 V; temperatura e fluxo do gás secante: 150 ºC e 150 µL/h. Nitrogênio foi utilizado como gás de nebulização e solução de NaTFA foi usada como padrão para calibração do IT-TOF. Os espectros de RMN de 1H e de 13C, uni- e bidimensionais, foram obtidos em espectrômetro Bruker, modelo Avance DRX-500 (500 MHz para 1H e 125 MHz para 13C) ou Avance DRX-300 (300 MHz para 1H e 75 MHz para 13C). Para a separação e purificação dos compostos foram empregadas cromatografias de adsorção em gel de sílica 60 da Vetec (Ø µm 70-230 mesh, cromatografias em coluna) ou Merck (Ø µm 230-400 mesh, cromatografias sob pressão, "flash") e cromatografia líquida de alta eficiência utilizando cromatógrafo com detector UV-Vis com arranjo de diodos modelo FTD-M20A (Shimadzu-UFLC) empregando coluna semi-preparativa Phenomenex (250 × 10 mm), com partículas de 5 µm. As cromatografias em camada delgada analítica foram realizadas com gel de sílica 60, (Ø µm 5-40, Merck) com indicador de fluorescência na faixa de 254 ηm (F254), sobre cromatofolha de alumínio. As substâncias foram reveladas pela aspersão de uma solução de vanilina/ácido perclórico/EtOH, seguida por aquecimento em estufa (≈ 100 ºC).

Material vegetal

Jatropha ribifolia foi coletada em dezembro de 2009, no município de Salgueiro - Pernambuco. A identificação da planta foi realizada pela Profª. Dra. Maria Iracema Bezerra Loiola (UFC) e está representada pela exsicata Nº 46398, a qual se encontra depositada no Herbário Prisco Bezerra, do Departamento de Biologia- UFC.

Extração e isolamento

As raízes de J. ribifolia (1,6 kg) foram trituradas e secas a temperatura ambiente e, em seguida, extraídas através de maceração contínua com etanol a temperatura ambiente. A solução resultante foi filtrada e destilada sob pressão reduzida em evaporador rotatório, resultando em 66,0 g de extrato, o qual foi solubilizado em uma mistura de MeOH/H2O 6:4 e extraído com hexano, CH2Cl2 e AcOEt. A fração hexânica (17,9 g) foi fracionada sobre gel de sílica empregando os eluentes Hex/AcOEt 9:1, 8,5:1,5, 8:2, 6:4, 4:6, 2:8, AcOEt, AcOEt/MeOH 1:1 e MeOH, resultando em 94 frações de cerca de 8,0 mL cada, as quais após monitoramento por CCDA, foram reunidas em seis frações (F1A - F6A). Durante a evaporação do solvente da fração codificada como F4A, obtida por eluição com Hex/AcOEt 8,5:1,5 e Hex/AcOEt 8:2, houve a formação de um precipitado (753,8 mg), que foi purificado por recristalização em metanol (1, 508,5 mg).

A fração diclorometano (27,7 g) foi submetida a cromatografia em gel de sílica utilizando como eluentes Hex/AcOEt 8:2, 6:4, 4:6, 2:8, AcOEt e MeOH, resultando em 90 frações de cerca de 8,0 mL cada, as quais após monitoramento por CCDA, foram reunidas em oito frações (FB1-FB8). A fração FB1, obtida por eluição com Hex/AcOEt 8:2, após cromatografia flash usando como eluente Hex/AcOEt 9,5:0,5, culminou no isolamento de uma resina branca (2, 15,5 mg).

O lenho do caule (2,0 kg), após triturado e seco, foi extraído através de maceração contínua com hexano e, posteriormente, com etanol a temperatura ambiente, e após concentração sob pressão reduzida, resultou na obtenção dos extratos hexânico (14,9 g) e etanólico (37,0 g). O extrato hexânico foi submetido a fracionamento em gel de sílica e eluido com Hexano; Hex/AcOEt 9:1, 7:3, 1:1, 3:7, AcOEt e AcOEt/MeOH 1:1, resultando em sete frações (FC1-FC7). A fração FC3, obtida por eluição com Hex/AcOEt 7:3, foi submetida à cromatografia sobre gel de sílica, utilizando CH2Cl2/AcOEt em gradiente crescente de polaridade (9,5:0,5, 9:1, 8,5:1,5, 8:2 e MeOH), resultando no isolamento do composto 3 (25,9 mg). As frações FC4 e FC5, obtidas por eluição com Hex/AcOEt 1:1 e 3:7, respectivamente, foram reunidas e cromatografadas em coluna de gel sílica utilizando os eluentes CH2Cl2, CH2Cl2/AcOEt 9,5:0,5, 9:1, 8,5:1,5, 8:2, 1:1, 3:7, AcOEt e, por fim, MeOH, fornecendo 52 frações. As frações F9-14, obtidas por eluição com CH2Cl2/AcOEt 9,5:0,5, foram reunidas e purificadas por CLAE utilizando o sistema de eluição isocrático consistido de Hex/isopropanol (88:12) por 12 min, fornecendo o composto 4(tR 9,8 min; 5,0 mg). As frações F20-29, resultantes da eluição com CH2Cl2/AcOEt 8,5:1,5 e CH2Cl2 8:2 foram reunidas e submetidas à cromatografia flash utilizando um sistema isocrático composto de CH2Cl2/AcOEt 8,5:1,5, resultando no isolamento do metabólito 5 (6,0 mg).

O extrato etanólico do lenho do caule (37, 0 g) foi solubilizado em MeOH/H2O 7:3 e, posteriormente, particionado com CH2Cl2, AcOEt e n-BuOH. A fração CH2Cl2 (20,1 g) foi fracionada sobre gel de sílica utilizando como eluentes Hex/AcOEt 8:2, 6:4, 4:6, 2:8, AcOEt e MeOH, resultando em seis frações (FD1-FD6). A fração FD4 (1,7 g), resultante da eluição com Hex/AcOEt 8:2, foi submetida a cromatografia em coluna de sílica gel utilizando misturas binárias de CH2Cl2 e AcOEt, e por fim MeOH, resultando em 77 frações de 8,0 mL cada. As frações F1-6 (329,7 mg) e CH2Cl2 100% foram reunidas após análise por CCDA e submetidas a fracionamento cromatográfico por CLAE, usando um sistema gradiente ACN:H2O 5-95%, em 30 min. Os picos com tR 14,7 e 15,4 min resultaram no isolamento dos metabólitos 6 (6,9 mg) e 7 (3,7 mg), respectivamente. As frações F13-20 resultaram no isolamento de um sólido amarelo (8, 277,7 mg).

Jatrofona (1): Sólido amarelo, p.f. 160-162 ºC; [α]D25 = + 132,57 (c 0,001, CHCl3); HRESIMS, m/z 335,1626 [M+Na]+, C20H24O3Na (massa calc. 335,1623, erro = 0,89 ppm). Os dados de RMN de 1H e RMN de 13C (500 e 125 MHz, CDCl3) estão de acordo com os descritos na literatura.8

(6S)-Patchoulan-4-en-6-ol (2): Resina branca, [α]D25 = - 10,07 (c 0,020, CHCl3); HRESIMS, m/z 219,1759 [M-H]-, C15H23O (massa calc. 219,1749; erro = 4,56 ppm). Os dados de RMN de 1H e de 13C (500 e 125 MHz, CDCl3) concordam com os descritos na literatura.15

Cabraleadiol (3): Sólido amarelo, P.f 200-203 ºC; [α]D25 = + 101,20 (c 0,033, CHCl3); HRESIMS, m/z 483.3814 [M+Na]+, C30H52O3Na (massa calc. 483.3814; erro = 0,00 ppm). Os dados de RMN de 1H e de 13C (500 e 125 MHz, CDCl3) concordam com os descritos na literatura.16

-Hidroxijatrofona (4): Resina amarela, [α]D25 = + 30,23 (c 0,001 CHCl3); HRESIMS, m/z 351,1591, [M+Na]+, C20H24O4Na (massa calc. 351,1572; erro = 5,41 ppm). Os dados de RMN de 1H e RMN de 13C (500 e 125 MHz, CDCl3) estão em acordo com a literatura.9

Cabraleadiol monoacetilado (5): Sólido branco, pf 100-103ºC; [α]D25 = + 22,40 (c 0.066, CHCl3); HRESIMS, m/z 541,3654, [M+K]+, C32H54O4K (massa calc. 541,3659; erro = - 0,92 ppm). Os dados de RMN de 1H e de 13C (500 e 125 MHz, CDCl3) concordam com os descritos na literatura.17

Isofraxidina (6): resina verde, HRESIMS, m/z 245,0417 [M+Na]+, C11H10O5Na (massa calc. 245,0426; erro = -3,67 ppm). Os dados de RMN de 1H e de 13C (300 e 75 MHz, CD3OD) concordam com os descritos na literatura.18,20

Fraxidina (7): resina amarela, HRESIMS, m/z 245,0421 [M+Na]+, C11H10O5Na (massa calc. 245,0426; erro = - 2,04 ppm). RMN de 1H (300 MHz, CD3OD) concorda com descrito na literatura.20

Fraxetina (8): resina amarela, HRESIMS, m/z 231,0263 [M+Na]+, C10H8O5Na (massa calc. 231,0269; erro = -2,60 ppm). Os dados de RMN de 1H e de 13C (300 e 75 MHz, CD3OD) concordam com os descritos na literatura.20

 

MATERIAL SUPLEMENTAR

Os espectros de RMN e EM, bem como os dados de RMN das substâncias isoladas encontram-se disponíveis na forma de arquivo pdf, com acesso livre, no link http://quimicanova.sbq.org.br.

 

AGRADECIMENTOS

Os autores agradecem aos órgãos de fomento à pesquisa CNPq/CAPES/PRONEX e INCT-BioSis pelo aporte financeiro dispensado para o desenvolvimento do projeto, e em especial ao CNPq pelas bolsas de iniciação científica sem as quais não teria sido possível a realização deste trabalho.

 

REFERÊNCIAS

1. Neves, E. L.; Funch, L. S.; Viana, B. F.; Rev. Bras. Bot. 2010, 33, 155.

2. Leal, A. C. K.; Agra, M. F.; Acta Farm. Bonaerense 2005, 24, 5.

3. Pimentel, L. A.; Riet-Correa, B.; Dantas, A. F.; Medeiros, R. M. T.; Riet-Correa, F.; Toxicon 2012, 59, 587.

4. Ribeiro, S. S.; Silva, T. B.; Moraes, V. R. S.; Nogueira, P. C. L.; Costa, E. V.; Bernardo, A. R.; Matos, A. P.; Fernandes, J. B.; Silva, M. F. G. F.; Pessoa, A M. S.; Silva-Mann, R.; Quim. Nova 2012, 35, 2218.

5. Das, B.; Ravikanth, B.; Reddy, K. R.; Thirupathi, P.; Raju, T. V.; Sridhar, B.; Phytochemistry 2008, 69, 2639.

6. Sachdeva, K.; Garg, P.; Singhal, M.; Srivasta, B.; Pharmacologyonline 2011, 3, 251.

7. Narayane, M.; Johnson, M.; Sivaraman, A.; Janakiraman, N.; J. Chem. Pharm. Res. 2012, 4, 2639.

8. Zhanga, X. P; Zhanga, M. L.; Sua, X. H.; Huoa, C. H.; Gub, Y. C.; Shi, Q. W.; Chem. Biodivers. 2009, 6, 2166.

9. Fernandes, E. S.; Rodrigues, F. A.; Tófoli, D.; Imamura, P. M.; Carvalho, J. E.; Ruiz, A. L. T. G.; Foglio, M. A.; Minguzzi, S.; Silva, R. C. L.; Braz. J. Pharmacogn. 2013, 23, 441.

10. Taylor, D. T.; Smith III, A. B.; Furst, G. T.; Gunasekara, S. P.; Bevelle, C. A.; Cordell, G. A.; Farnsworth, N. R.; Kupchan, S. M.; Uchida, H.; Branfman, A. R.; Dailey, R. G. J.; Sneden, A. T.; J. Am. Chem. Soc. 1983, 105, 3177.

11. Marquez, B;. Neuville, L.; Moreau, N. J.; Genet, J. P.; Santos, A. F.; Andrade, M. C. C.; Phytochemistry 2005, 66, 1804.

12. Santos, A. F.; Sant-Ana, A. E. G.; Phytother Res. 1999, 13, 660.

13. Devappa, R. K.; Makkar, H. P. S.; Becker, K.; J. Am. Oil Chem. Soc. 2011, 88, 301.

14. Barreto, M. B.; Gomes, C. L.; Freitas, J. V. B.; Pinto, F. C. L.; Silveira, E. R.; Gramosa, N. V.; Torres, D. S. C.; Quim. Nova 2013, 36, 675.

15. Xu, Y.; Zhang, H-W.; Wan, X-C.; Zou, Z-M.; Magn. Reson. Chem. 2009, 47, 527.

16. Kim, S. J.; Kim, H. J.; Kim, H. J.; Jang, Y. P.; Oh, M. S.; Jang, D. S.; Bull. Korean Chem. Soc. 2012, 33, 3115.

17. Fu, L.; Zhang, S.; Li, N.; Wang, J.; Zhao, M.; Sakai, J.; Hasegawa T.; Mitsui, T.; Oka S.; Kiuchi, M.; Hirose, K.; Ando, M.; J. Nat. Prod. 2005, 68, 198.

18. Manguro, L. O. A.; Opiyo, S. A.; Herdtweck, E.; Lemmen, P.; Can. J. Chem. 2009, 87, 1173.

19. Chang, F-R.; Yen, C-T.; El-Shazly, M.; Lin, W-H.; Yen, M-H.; Lin, K-H.; Wu, Y-C.; Nat. Prod. Commun. 2012, 7, 1417.

20. Kathirgamanathar, S.; Ratnasooriya, W. D.; Baekstrom, P.; Andersen, R. J.; Karunaratne, V.; Pharm. Biol. 2006, 44, 217.

21. Tsukamoto, H.; Hisada, S.; Nishibe, S.; Chem. Pharm. Bull. 1985, 33, 4069.

22. He, J.; Liu, G.; Cheng, Y.; Tianran Chanwu Yanjiu Yu Kaifa 2010, 22, 731.

23. Hnatyszyn, O.; Ferraro, G. E.; Coussio, J. D.; Acta Farm. Bonaerense 1996, 15, 21.

24. Borris, R. P.; Cordell, G. A.; Farnsworth, N. R.; J. Nat. Prod. 1980, 43, 641.

25. Bi, Y-F.; Zhu, H-B.; Zheng, Z.; Liu, Z-Q.; Song, F-R.; Fenxi Huaxue 2013, 41, 1391; Zhang, T.; Piao, J-H.; Yuan, L.; Li, X-F.; Zhongcaoyao 2012, 43, 1057; Niu, X.; Xing, W.; Li, W.; Fan, T.; Hu, H.; Li, Y.; Int. Immunopharmacol. 2012, 14, 164.

26. Aiyelaagbe, O. O.; Gloer, J. B.; Rec. Nat. Prod. 2008, 2, 100; Rumzhum, N. N.; Sohrab, Md. H.; Al-Mansur, M. A.; Rahman, M. S.; Hasan, C. M.; Rashid, M. A.; Journal of Physical Science 2012, 23, 29; Hu, H-B.; Zheng, X-D.; Jian, Y-F.; Liu, J-X.; Zhu, J-H.; Arch. Pharm. Res. 2011, 34, 1097.

27. Iverson, C. D.; Zahid, S.; Li, Y.; Ahmed, H.; Ata, A.; Samarasekera, R.; Phytochem. Lett. 2010, 3, 207.

28. Goulart, M. O. F.; Sant'Ana, A. E. G.; Lima, R. A.; Cavalcante, S. H.; Carvalho, M. G.; Braz Filho, R.; Quim. Nova 1993, 16, 95.

29. Franke, K.; Nasher, A. K.; Schmidt, J.; Biochem. Syst. Ecol. 2004, 32, 219.

30. Das, B.; Kashinatham, A.; Indian J. Chem., Sect B 1997, 36B, 1077.

31. Okuyama, E.; Okamoto, Y.; Yamazaki, M.; Satake, M.; Chem. Pharm. Bull. 1996, 44, 333.

32. Parthasarathy, M. R.; Saradhi, K. P.; Phytochemistry 1984, 23, 867.

33. Witaicenis, A.; Seito, L. N.; da Silveira Chagas, A.; de Almeida, L. D. J.; Luchini, A. C.; Rodrigues-Orsi, P.; Cestari, S. H.; Di Stasi, L. C.; Phytomedicine (2013), doi: 10.1016/j.phymed.2013.09.001; Yang, C.; Wang, Y.; Xie, M.; Mianyixue Zazhi 2012, 28, 703; Chen, X.; Ying, X.; Zhang, W.; Chen, Y.; Shi, C.; Hou, Y.; Zhang, Y.; Int. Immunopharmacol. 2013, 17, 543.

On-line version ISSN 1678-7064 Printed version ISSN 0100-4042
Qu�mica Nova
Publica��es da Sociedade Brasileira de Qu�mica
Caixa Postal: 26037 05513-970 S�o Paulo - SP
Tel/Fax: +55.11.3032.2299/+55.11.3814.3602
Free access

GN1