JBCS



22:19, dom nov 16

Acesso Aberto/TP



Artigo


Solo contaminado com cádmio: extratibilidade do metal e cinética química de degradação da matéria orgânica de torta de filtro
Cadmium-contaminated soil: metal extractability and chemical kinetics of filter cake organic matter degradation

Lucia Pittol FirmeI,*; Felipe Carlos Alvarez VillanuevaI; Antonio Arnaldo RodellaII

ICentro de Energia Nuclear na Agricultura, Universidade de São Paulo, CP 96, 13416-000 Piracicaba - SP, Brasil
IIEscola Superior de Agricultura Luiz de Queiroz, Universidade de São Paulo, 13418-900 Piracicaba - SP, Brasil

Recebido em 31/07/2013
Aceito em 27/03/2014
Publicado na web em 30/06/2014

Endereço para correspondência

*e-mail: lucia.pittolfirme@gmail.com

RESUMO

The chemical kinetics of sugarcane filter cake (FC) organic matter degradation at rates (0, 40, 80, and 120 t ha-1) in non-contaminated and different degrees of cadmium-contaminated Oxisol (0.19, 28, 56, 112 and 200 mg Cd kg-1) and DTPA-extractable Cd was studied. FC degradation was determined by quantifying CO2 emitted from soil samples during 72 days of incubation. DTPA-extractable Cd was performed after the incubation period. FC degradation was described by a two-stage equation of chemical kinetics. FC degradation rates were between 15 and 33%. Total CO2 emitted from FC declined with increasing degree in Cd-contamination and the DTPA-extractable Cd declined with FC rates.

Palavras-chave: organic matter degradation; chemical kinetics; DTPA-extractable Cd.

INTRODUÇÃO

Nas últimas décadas, o desenvolvimento demográfico tem estimulado o crescimento da mineração, da indústria e da agricultura causando o aumento dos níveis de elementos traço (ETs) no ambiente, principalmente no solo. Alguns deles, como Cu, Zn e Ni, são essenciais para o desenvolvimento vegetal e animal, mas em quantidades excessivas podem ser tóxicos;1-4 e outros, como o Hg, Pb e Cd, não são nutrientes e sim intrinsecamente tóxicos.4-7

O Cd é considerado um dos elementos de maior toxicidade nos processos biológicos dos seres humanos, animais e plantas.4,6,8-10 Em uma lista de 275 substâncias tóxicas consideradas mais perigosas pela Agência de Proteção Ambiental dos EUA, o Cd ocupa o quarto lugar entre os metais perigosos,7 pois este elemento é facilmente transferido para a cadeia alimentar tornando-se a principal causa de contaminação para os seres humano e animal.11,12 O potencial tóxico do Cd explica o porquê que solos contaminados com este elemento tornaram-se um grande problema em todo o mundo.

A forma livre dos ETs no solo é controlada pela matéria orgânica, pH, textura, mineralogia do solo e fitosideróforos que são liberados pelas raízes das plantas, pois entre eles pode ocorrer reações de solubilização e formação de complexos inorgânicos e orgânicos.6,13-16 A matéria orgânica incorporada ao solo, por exemplo, pode elevar o pH e a capacidade de troca de cátions (CTC) do solo e promover a formação de complexos entre os compostos orgânicos e os ETs, regulando a forma livre destes nos solos.14,16,17

Contudo, em solo contaminado, os ETs na forma livre podem prejudicar a dinâmica de degradação da matéria orgânica incorporada, devido à alteração na comunidade microbiana do solo.6,12,17-21 A decomposição da matéria orgânica é um processo vital para o funcionamento dos ecossistemas terrestres devido à reciclagem dos nutrientes. No processo de decomposição da matéria orgânica, parte do carbono incorporado ao solo é desprendido como CO2 e outra parte pode permanecer inalterada ou ser incorporada à biomassa microbiana.18,22 Ressalta-se que a velocidade com que ocorre o processo de decomposição do material orgânico depende de sua relação C/N e dos atributos químicos e macro e microbiológicos do solo.18,23-27

A compreensão da relação entre a degradação da matéria orgânica no solo e parâmetros ambientais, por exemplo, alto nível de ETs em solos, é de crucial importância para a melhor avaliação da dinâmica de carbono em ecossistemas terrestres. Além disso, também é relevante a abordagem ecológica para os modelos do ciclo de carbono e os programas de remediação de solos contaminados por ETs.

A dinâmica de degradação da matéria orgânica tem sido estudada pela constante de velocidade obtida pelo modelo de cinética química de primeira ordem.24,27,28 Este modelo, também, pode considerar mais de uma etapa de degradação da matéria orgânica e, consequentemente, obter diferentes constantes de velocidade. Dessa forma, materiais orgânicos contendo frações de compostos orgânicos que se diferenciam pela sua resistência a decomposição podem ser ajustados ao modelo de cinética de primeira ordem em duas etapas de degradação que ocorrem simultaneamente, denominadas de fase rápida, que representa a fração orgânica de rápida degradação, e fase lenta, que representa a fração orgânica de lenta degradação.18,26-29

Atualmente, muitas são as informações dos efeitos adversos do Cd sobre a comunidade microbiana do solo,6,11,12,14,18,30 mas ainda são escassos os estudos sobre a degradação da matéria orgânica adicionada ao solo via torta de filtro (TF) em solo contaminado com Cd. Este fato dificulta o desenvolvimento de conhecimentos sobre a degradação de resíduos orgânicos pela atividade microbiana em condições de solo contaminado com ETs. Principalmente, a degradação da TF, um resíduo orgânico gerado pela indústria sucroalcooleira proveniente da filtração do caldo extraído das moendas no filtro rotativo, que é utilizado como fonte de matéria orgânica e nutriente em áreas cultivadas com cana-de-açúcar a fim de reduzir o uso de fertilizantes e garantir a sustentabilidade do plantio.31

Nesse contexto, torna-se relevante estudar a degradação de TF em solo contaminado com Cd, visto que este conhecimento pode auxiliar os estudos dos processos biológicos do solo, os quais são importantes para a manutenção da fertilidade do solo, a qualidade do ecossistema, o ciclo do C e a remediação de solos degradados e contaminados por ETs. Portanto, foi objetivo do presente trabalho avaliar o efeito da interação entre níveis de contaminação de Cd em solo e doses de TF sobre a quantidade total de CO2 emanado, a cinética de degradação da TF e a quantidade de Cd extraível por solução de DTPA.

 

PARTE EXPERIMENTAL

O experimento, instalado no laboratório de química do Departamento de Ciências Exatas da Escola Superior de Agricultura "Luiz de Queiroz", Universidade de São Paulo, consistiu de uma incubação de amostra de solo com diferentes níveis de contaminação de Cd misturada a doses de TF.

Coleta e caracterização do solo e da TF

O solo utilizado, localizado no município de Piracicaba-SP, foi classificado como Latossolo Vermelho Amarelo distrófico32 (Xantic Ferralsol),33 com textura média (argila < 35%), e teve sua amostra coletada na camada de 0-20 cm seca ao ar, destorroada, retirados os restos de raízes manualmente, passada em peneira de 4 mm de abertura de malha, e homogeneizada.

Amostra de 300 g da terra foi retirada e passada por peneira de 2 mm para determinação da sua textura, pelo método do densímetro,34 e características químicas, para fins de fertilidade, de acordo com método descrito em Raij et al.35

O teor de Cd na amostra de terra foi determinado em extrato líquido obtido, em triplicata, segundo o método 3050b, do manual SW-846, da U.S. EPA,36 com adaptação da relação peso de solo/volume de diluição de 2,5 g de amostra de solo (peso seco) para digestão e diluição final para 20 mL, objetivando obter concentração de Cd superior ao limite de detecção em espectrometria de absorção atômica (1 µg L-1).37 Para quantificação do Cd foi utilizado espectrômetro de absorção atômica com chama de ar-acetileno e lâmpada de cátodo oco de Cd (228,8 nm e fenda de 0,5).

A concentração de Cd encontrada na amostra de solo foi de 0,19 ± 0,01 mg kg-1, estando abaixo do valor de referência para qualidade de prevenção, estabelecido na resolução Nº 420 do CONAMA.38 A medição da concentração de Cd no solo foi controlada mediante análise de material de referência certificado de solo (NIST 2709a), obtendo-se recuperação de 93,4% ± 1,2%, de modo que, considerando a impossibilidade de se obter um resultado experimental exatamente igual ao valor certificado, convencionalmente aceito como verdadeiro,39 pode-se considerar que o procedimento utilizado para análise do Cd no solo e o resultado obtido podem ser considerados válidos.

As características químicas da amostra de solo foram: pH em CaCl2 = 4,6; C org = 9,2 g dm-3; P-resina = 3,7 mg dm-3; K, Ca, T e Al trocáveis = 1,1; 13; 5 e 2,7 mmolc dm-3, respectivamente; H+Al = 31 mmolc dm-3; CTC = 50,1 mmolc dm-3 e V = 38%. As características físicas que definem a textura foram: areia = 650 g kg-1; argila = 280 g kg-1 e silte = 60 g kg-1.

Amostra de 10 kg de TF foi coletada em usina de açúcar da região de Piracicaba, homogeneizada e retirada uma subamostra representativa para determinação, em triplicata, do conteúdo de umidade e análise da composição elementar (base seca) de acordo com metodologia descrita em Andrade e Abreu.40 A umidade foi de 75% ± 1%, pH = 7,2 ± 0,1 e a composição química elementar, em g kg-1 foi: P = 9,9 ± 0,4; K = 6,1 ± 0,2; Na = 0,41 ± 0,02; Ca = 13,2 ± 0,6; C = 370 ± 20; N = 33,3 ± 1,4; Mg = 4,6 ± 0,2 e, em mg kg-1, Cu = 49 ± 2; Mn = 246 ± 11; Zn = 166 ± 7 e Ni = 5,0 ± 0,1; Cd não detectado; CTC = 528,3 mmolc dm-3 e C/N = 11,1. As doses de TF foram definidas com base naquelas utilizadas no cultivo da cana quando aplicadas em área total, normalmente entre 80 a 100 t ha-1 de TF com aproximadamente 65% de umidade.41

Preparação do solo contaminado com Cd

Para obter amostras de solo com diferentes níveis de contaminação com Cd, uma não contaminada (< 1,3 mg kg-1 de Cd)38 e quatro com níveis de contaminação superiores ao nível considerado de investigação para solo de área industrial (> 20 mg kg-1 de Cd)38, a amostra de solo coletada foi dividida em cinco partes iguais. Uma das partes foi separada para constituir o tratamento controle com teor natural de Cd de 0,19 mg kg-1 (solo não contaminado)38 e nas outras quatro partes foi adicionada solução de CdCl2∙2,5H2O de grau analítico para estabelecer os níveis de Cd de 28, 56, 112, e 200 mg kg-1, respectivamente. As amostras de solo foram secas ao ar, homogeneizadas e aplicada água até 60% da capacidade de campo e incubadas durante 15 dias.

No teste preliminar (dados não apresentados), a partir de 28 mg kg-1 de Cd no solo foi observado impacto negativo sobre a microflora do solo. Os níveis de Cd, acima do valor orientador de referência de investigação,38 foram estabelecidos no presente trabalho para possibilitar o estudo do efeito da toxidez de Cd sobre a degradação da TF. Solos contaminados podem conter níveis de concentração de Cd superiores a 57 mg kg-1, quando irrigados com águas contaminadas e utilizados como depósitos de resíduos domiciliares e ou industriais em solos, e níveis superiores a 160 mg kg-1 de Cd em solos ao redor de industrias siderúrgicas e de mineração.9,42,43

Preparo e condução do experimento para avaliação da degradação da TF

O experimento foi conduzido em câmara de incubação, tipo DBO (Demanda Bioquímica de Oxigênio), em delineamento inteiramente casualizado e esquema fatorial 4 × 5, um controle (sem adição do resíduo orgânico) e três doses de TF (3,2; 6,6 e 9,8 g), base seca, equivalentes a 40, 80 e 120 t ha-1 e cinco níveis de Cd (0,19; 28; 56; 112 e 200 mg kg-1), e três repetições, totalizando 60 unidades experimentais.

Porções de 800 g dos solos com diferentes níveis de Cd foram colocadas nos frascos de vidro de boca larga com tampa plástica vedante e capacidade de 2 L. Foram adicionadas as doses de TF estabelecidas para cada tratamento e realizada a homogeneização. A umidade foi corrigida a 70% da capacidade de campo com água deionizada e mantida durante 72 dias de incubação, no escuro, com temperatura controlada de 28 ºC ± 0,5 ºC.

Para quantificar o CO2 liberado da degradação da matéria orgânica pela atividade microbiana, durante os 72 dias de incubação, foi colocado em cada frasco de vidro, sobre a superfície da terra, um pote de plástico contendo 40 mL de solução de NaOH 0,5 mol L-1, isenta de carbonato, para absorver o CO2 produzido por retenção passiva.44 A solução de NaOH foi trocada com frequência de 12 horas até o décimo quarto dia de incubação, para evitar que a capacidade de absorção de CO2 pela mesma fosse ultrapassada, e após este período a cada 96 horas.

A quantificação do CO2 liberado foi realizada por método condutimétrico a 25 ºC.44 Durante as medidas de condutividade foram realizadas calibrações periódicas do condutivímetro com solução padrão certificada Hanna Instruments. As medidas corresponderam ao CO2 liberado da degradação da matéria orgânica nativa do solo e da TF. O CO2 liberado pela degradação da TF foi quantificado pela diferença entre a quantidade liberada nos tratamentos com TF e o tratamento controle (sem aplicação de TF).

Para estabelecer a quantidade total de CO2 liberado, foram considerados os valores de CO2 medidos em diferentes períodos de tempo em termos acumulativos até o final de 72 dias da incubação.

Taxa de degradação da TF

A taxa de decomposição da TF foi estimada a partir dos valores médios da relação entre o CO2 liberado da TF e a quantidade de carbono orgânico adicionada por este resíduo, que foi calculada com base no teor de carbono orgânico da TF (Equação 1).

 

 

onde: TD = taxa de degradação da TF em %; CO2total = quantidade de CO2 emanada do solo após 72 dias de incubação com TF (mg por pote); controle = quantidade de CO2 emanada do solo, sem adição de TF após 72 dias de incubação (mg por pote); CO2teórico = quantidade de CO2 (mg por pote) que deveria ser emanada de 800 g de solo após adição de n quantidade de TF contendo 37% de C (CO2teórico = P.M.CO2 * CTF / P.A.C * 1000; P.A.CO2 (g) = peso molecular do CO2; CTF (g)= quantidade de C na TF adicionada a 800g de solo; P.A.C (g) = peso atômico do carbono).

Cinética de degradação

Os dados de CO2 emanado da matéria orgânica do solo (tratamento controle) e da TF nos solos com diferentes teores de Cd foram utilizados em ajustes tentativos ao modelo de cinética de primeira ordem, com uma, duas e três fases, para obtenção dos valores de carbono potencialmente mineralizável, constante de velocidade da reação de degradação e meia-vida de degradação (Equação 2), assim como verificar a ocorrência de fases distintas durante a degradação da matéria orgânica da TF.

 

 

onde: T1/2 = meia-vida de degradação, em dias; k = constante de velocidade da reação de degradação, em dia-1; n = fases do processo de degradação.

Os ajustes tentativos dos dados de CO2 emanado aos modelos de cinética química foram obtidos com auxílio do programa Curve Expert,45 conforme as Equações 3, 4 e 5:

 

 

em que:

CO2 emanado = quantidade de carbono emanado (mg por pote) na forma de CO2 e no tempo t; (Equação 3, 4 e 5)

C1 = carbono potencialmente mineralizável (mg por pote) em 72 dias de incubação; (Equação 3)

k1 = constante de velocidade da reação de degradação (dia-1); (Equação 3)

t = tempo de incubação em dias; (Equação 3, 4 e 5)

C2 e C3 = carbono potencialmente mineralizável (mg por pote) durante, respectivamente, a primeira e segunda fase do processo de degradação em 72 dias de incubação; (Equação 4)

k2 e k3 = constantes de velocidade da reação de degradação (dia-1) durante a primeira e segunda etapa de degradação, respectivamente; (Equação 4)

C4, C5 e C6 = carbono potencialmente mineralizável (mg por pote) durante, respectivamente, a primeira, segunda e terceira fase do processo de degradação durante 72 dias; (Equação 5)

k4, k5 e k6 = constantes de velocidade da reação de degradação (dia-1) durante a primeira, segunda e terceira etapa de degradação, respectivamente; (Equação 5)

Reação do solo e extração de Cd com DTPA

Após o período de incubação, as amostras de solo contidas nos frascos foram retiradas, secas a 65 ºC até peso constante, passadas por peneira de 2 mm de abertura de malha, homogeneizadas e determinado o pH em água35 e o Cd extraível pela solução de DTPA a pH 7,3 (Cd-DTPA).46 O teor de Cd-DTPA no extrato foi quantificado por espectrometria de absorção atômica por chama e uso de solução padrão certificada Perkin Elmer para preparação da curva de calibração e verificação da qualidade das análises.

Análises estatísticas

Os dados de taxa de degradação da TF, extração de Cd com DTPA e os parâmetros do modelo de cinética química foram submetidos à análise de variância e, quando o teste F foi significativo para p < 0,05, aplicou-se o teste de Tukey a 5% para comparação de médias e as regressões polinomiais utilizando-se o programa SAS.47

 

RESULTADOS E DISCUSSÃO

CO2 emanado do solo

A quantidade total de CO2 emanado em 72 dias de incubação, produto da degradação da matéria orgânica do solo e da TF pela atividade microbiana, foi alterada pelas doses de TF e pelos níveis de contaminação de Cd. O total de CO2 emanado diminuiu de forma quadrática com o aumento do nível de contaminação de Cd (Figura 1a) e aumentou linearmente em função da dose de TF (Figura 1b), dentro de cada nível de contaminação de Cd no solo.

 


Figura 1. CO2 total emanado em função de diferentes níveis de contaminação de cádmio (Cd) e doses de torta de filtro (TF) no solo (a e b, respectivamente), após 72 dias de incubação. * Significativo a p < 0,05

 

A diminuição de CO2 emanado em função do nível de contaminação de 200 mg kg-1 de Cd no solo foi de 9,5% no tratamento controle (sem adição de TF); 29,7% no tratamento com 40 t ha-1 de TF; 27,0% no tratamento com 80 t ha-1 de TF e 33,3% no tratamento com 120 t ha-1 de TF (Figura 1b). O efeito negativo do Cd sobre a degradação da matéria orgânica foi maior com a aplicação de 120 t ha-1 de TF. Nesta condição, a quantidade de carbono orgânico prontamente assimilável pela comunidade microbiana do solo é maior, o que favoreceu a reprodução desta comunidade e a resposta mais expressiva aos efeitos da contaminação do solo por Cd.

A diminuição da quantidade de CO2 emanado com o aumento da contaminação com Cd indica a ocorrência do impacto negativo do Cd sobre a comunidade microbiana do solo, nas condições experimentais do presente estudo (Figura 1a). Em níveis tóxicos, ETs na forma inorgânica ou orgânica afetam a população microbiana do solo mediante distúrbios funcionais, desnaturação de proteínas ou destruição da integridade da membrana celular.48 A inibição da biomassa carbono (C-biomassa) microbiana em solo altamente contaminado por ETs foi reportada por diferentes pesquisadores.48,49 Frey et al.50 verificaram que, em um solo florestal contaminado com ETs, que continha 740 mg kg-1 de Cu, 3 g kg-1 de Zn, 22 mg kg-1 de Cd e 110 mg kg-1 de Pb, a respiração basal diminuiu em média 50% em comparação com o solo não contaminado. Shentu et al.51 reportaram redução de 49,3% da N-biomassa em solo contaminado com 16 mg kg-1 de Cd. Portanto, a poluição do solo por ETs pode reduzir a população e a atividade da biomassa microbiana e apresentar efeito negativo na produtividade do solo ao longo do tempo.52

A amostra de solo do tratamento controle (sem TF) e sem contaminação de Cd produziu 1608 mg de CO2, que foi liberado da degradação da matéria orgânica nativa da amostra de solo pela atividade microbiana (Figura 1). Nesta condição, a degradação do carbono orgânico nativo da amostra de solo foi de 6,0% e este valor foi pouco alterado pela contaminação com Cd, atingindo 5,4% no maior nível de contaminação desse elemento (Figura 1a). O efeito negativo do Cd sobre a degradação da matéria orgânica nativa da amostra de solo foi menor do que sobre a decomposição da matéria orgânica da TF. Este resultado pode ser explicado pela menor quantidade de carbono orgânico presente na amostra de solo que foi de 9,2 g kg-1, enquanto que a TF utilizada apresentou 370 g kg-1. Tal fato poderia indicar também que o material orgânico nativo da amostra de solo encontrava-se em um estágio mais avançado de estabilização do que aquele presente na TF.

No nível de contaminação de 200 mg kg-1 de Cd no solo a redução da liberação de CO2 pela atividade microbiana foi parcial e não total. Tal fato indica que pode ter ocorrido tolerância ao Cd por uma fração da comunidade microbiana do solo durante o tempo de incubação estudado.51,53,54 Os microrganismos do solo podem sobreviver em ambientes contaminados com ETs tóxicos por meio de mecanismos, como: a) exclusão, pela restrição à absorção, pela formação de complexos extracelulares e pela liberação de ácidos orgânicos; e b) tolerância, quando os metais são quelados intracelularmente por meio de síntese de ligantes como metalotioneínas, polifosfatos e/ou compartimentalização nos vacúolos.55,56 A comunidade microbiana do solo também pode desenvolver modificações em sua estrutura para manter sua sobrevivência em ambientes contaminados com ETs.50,51 A resistência de microrganismos ao Cd foi reportada através de estudos de isolamento de bactérias presentes em lodo de esgoto contaminado com Cd, pois estas foram capazes de remover com eficiência o Cd de soluções contaminadas sem reduzir a quantidade de proteínas sintetizadas nas frações celulares.53 Contudo, é importante ressaltar que a principal razão de sobrevivência da comunidade microbiana em solos contaminados com ETs está relacionada com o tipo e a forma química do elemento e as propriedades físicas e químicas do solo.12,51,57

O aumento de CO2 emanado em função das doses de TF foi em média, da menor à maior dose de TF, entre 64% e 175%, respectivamente (Figura 1b). Embora tenha ocorrido correlação positiva entre a quantidade total de CO2 emanado em 72 dias e as doses de TF, a taxa de degradação da TF, calculada segundo a Equação 1, diminuiu nas amostras de solo sem contaminação por Cd ou com nível de contaminação de 28 mg kg-1 de Cd (Figura 2). Este resultado concorda com os dados obtidos por outros autores em estudos de degradação de biossólidos incorporados ao solo,24 quando considera-se somente a condição do tratamento sem contaminação com Cd. A diminuição da taxa de degradação com o aumento da dose de TF pode ser explicada pelo aumento do carbono orgânico na amostra de solo via TF, o que pode ter excedido a capacidade microbiana de degradação.58 Outra explicação poderia estar relacionada com o maior aporte de C lábil, uma vez que o aumento da dose da TF pode gerar taxa respiratória suficientemente elevada no solo, estabelecendo assim uma condição anaeróbica prejudicial aos microrganismos aeróbicos.59

 


Figura 2. Taxa de degradação da torta de filtro (TF) sob o efeito de diferentes níveis de contaminação de cádmio (Cd) e doses de TF no solo. * Significativo a p < 0,05

 

A aplicação de 40 t ha-1 de TF foi responsável pelas maiores taxas de degradação, seguidas pelas doses de 80 t ha-1 e 120 t ha-1 nas amostras de solo não contaminadas com Cd e com nível de contaminação de 28 mg kg-1 de Cd (Figura 2). Nos níveis de contaminação do solo de 56, 112 e 200 mg kg-1 de Cd, o valor da taxa de degradação não foi alterado pelas diferentes doses da TF, de acordo com o teste de comparação de médias realizado. Entretanto, o nível crescente de contaminação de Cd diminuiu a taxa de degradação da TF em todas as doses estudadas. Com aplicação de 40 t ha-1, 80 t ha-1 e 120 t ha-1 de TF nas amostras de solo não contaminadas com Cd a taxa de degradação foi de 33,4 ± 1,6%, 28,1 ± 0,8% e 27,1 ± 0,7%, respectivamente, enquanto que esta taxa de degradação diminuiu para 15,5 ± 0,8%, 16,8 ± 0,7% e 15,9 ± 0,7% no solo com a maior contaminação de Cd, o que concorda com os resultados de quantidade de CO2 total emanado do solo (Figura 1a).

Cinética de degradação

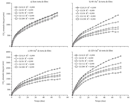
Os valores médios de CO2 emanado da matéria orgânica do solo e da TF, sob o efeito da contaminação de Cd e em função do tempo de incubação, foram ajustados satisfatoriamente ao modelo de cinética química com duas fases (Equação 4) com coeficientes de correlação de 0,999 (p < 0,05) (Figura 3), porém não se ajustaram aos modelos com uma fase (Equação 3) e três fases (Equação 5).

 


Figura 3. Cinética da quantidade de CO2 emanado pela degradação da matéria orgânica do solo (a) e das doses de torta de filtro (b, c, d) em solo com diferentes níveis de contaminação de cádmio (Cd). R2 significativos a p < 0,05

 

Nos tratamentos sem TF, o carbono potencialmente mineralizável na primeira fase C2 diminuiu com os níveis de contaminação de 112 e 200 mg kg-1 de Cd no solo (Tabela 1), sem mostrar diferença entre esses dois tratamentos. No entanto, os valores de C3 aumentaram em relação ao solo não contaminado, sem mostrar variação entre os níveis de 28 e 112 mg kg-1 de Cd, e alcançou o maior valor no nível de contaminação de 200 mg kg-1 de Cd. Por outro lado, nos tratamentos com TF, o carbono potencialmente mineralizável em ambas as fases diminuiu gradativamente com o aumento da contaminação de Cd no solo. Também foi observado que a degradação da matéria orgânica nos tratamentos com 40 t ha-1 de TF proporcionou valores médios de C2 (247 mg por pote) e C3 (1489 mg por pote) inferiores (p < 0,05) aos obtidos nos tratamentos sem TF (442 e 1940 mg por pote, respectivamente). Este resultado pode estar relacionado à lag-fase, uma fase de adaptação da comunidade microbiana às novas condições do meio.40

 

 

Com o aumento da contaminação do solo com Cd, nos tratamentos sem TF, observaram-se diminuição e aumento dos valores de k2 e de T1/22, respectivamente, para o maior nível de contaminação de Cd (Tabela 1). A k3 diminuiu sem diferenças entre os níveis de 28 mg kg-1 e 112 mg kg-1 de Cd e mostrou o menor valor no nível de contaminação com Cd mais alto, enquanto que, a T1/23 aumentou sem diferenças entre os níveis de 28 mg kg-1 a 112 mg kg-1 e alcançou o maior valor no nível de contaminação de 200 mg kg-1 de Cd.

Nos tratamentos com TF, os valores de k2 e k3 aumentaram e os valores de T1/22 e T1/23 diminuíram com o nível de contaminação de Cd no solo. Nos tratamentos com 120 t ha-1 de TF, o valor de k3 aumentou a partir do nível de contaminação de 56 mg kg-1 de Cd sem mostrar diferenças com os níveis de 112 e 200 mg kg-1 de Cd.

As diferenças encontradas no comportamento das constantes de velocidade k2 e k3 e da meia-vida T1/22 e T1/23 poderiam ser explicadas pelas diferentes qualidades das frações orgânicas que compõem o material orgânico do solo e da TF. Tão importante quanto o aporte de C ao solo via TF, é a qualidade do material introduzido, isto é, a composição da matéria orgânica do resíduo. A abundância relativa dos compostos orgânicos (carboidratos, lipídios, aminoácidos, lignina, etc.) presentes na matéria orgânica determina parcialmente sua taxa de degradação.60

De modo geral, nos tratamentos com TF, o carbono potencialmente mineralizável C2, a constante de velocidade de degradação k2 e a meia-vida T1/22 na primeira fase da cinética química de degradação da TF foi em média 5 vezes menor, 16 vezes maior e 15 vezes menor do que C3, k3 e T1/23 na segunda fase, respectivamente (Tabela 1). A fase rápida (k2) e lenta (k3) de degradação do carbono orgânico da TF podem ser relacionadas, respectivamente à: a) rápida decomposição da fração solúvel da matéria orgânica da TF (carboidratos não polimerizados e proteínas) e, b) num processo posterior mais lento, a decomposição da fração resistente composta de hemicelulose, celulose e lignina.61 Nos tratamentos com TF, a etapa lenta de degradação da TF foi responsável em média por 83% do total de carbono orgânico degradado durante o período de 72 dias, com velocidade de degradação k3 variando de 0,004 a 0,016 dia-1 na amostra de solo não contaminado com Cd e de 0,037 a 0,040 dia-1 na amostra de solo com maior nível de contaminação de Cd, na menor e maior dose de TF, respectivamente (Tabela 1).

Reação do solo com a TF

O pH do solo não apresentou variação com o nível de contaminação de Cd, dentro de cada dose de TF (Figura 4). Porém, aumentou gradativamente com as doses de TF, dentro de cada nível de Cd. Os valores de pH variaram em média de 4,7 ± 0,1 no solo sem adição de TF a 5,3 ± 0,1 com a maior dose de TF. Segundo a interpretação para fins de fertilidade definida em Raij,62 a acidez do solo passou da faixa de acidez alta (pH 4,4 a 5,0) para a faixa de acidez média (pH 5,1 a 5,5). Este resultado pode ser explicado pelo pH = 7,2 da TF, o que deve ter causado uma reação de neutralização da acidez do solo. A contaminação crescente de Cd no solo também favoreceu o aumento do pH após 72 dias de incubação, pois os níveis de contaminação de Cd limitou a mineralização da TF (Figura 1a).

 


Figura 4. Variação do pH no solo com doses de torta de filtro e diferentes níveis de contaminação de cádmio (Cd), após 72 dias de incubação. * Significativo a p < 0,05

 

O mecanismo de reação de neutralização da acidez do solo pela TF pode ter ocorrido por diferentes vias, entre elas: a formação de hidróxido de alumínio, que por sua vez é complexado por componentes orgânicos reduzindo assim a quantidade dos íons H+; e por uma forte energia de absorção de íons H+, devido à capacidade de troca de cátions da matéria orgânica da TF, que por sua vez é pH dependente.

Cd extraível pela solução de DTPA

De acordo com a análise do teste de Tukey, nas amostras de solo contaminadas com Cd a quantidade de Cd-DTPA extraído aumentou com os níveis de contaminação e diminuiu com as doses de TF, enquanto que, nas amostras de solo não contaminadas com Cd, a extração foi constante (Tabela 2). A variação da quantidade de Cd-DTPA extraído foi linear com os níveis de contaminação (R2 = 0,999; p < 0,05) e com as doses de TF (R2 > 0,936; p < 0,05).

 

 

A quantidade de Cd-DTPA extraído nas amostras de solo sem TF, em relação ao nível de contaminação de Cd no solo, foi da ordem de 91%; 83,9%; 84,8% e 85,5% e nas amostras de solo com maior dose de TF foi da ordem de 67,8%; 69,6%; 70,5% e 73% para os níveis de contaminação com Cd de 28 mg kg-1, 56 mg kg-1, 112 mg kg-1 e 200 mg kg-1, respectivamente (Tabela 2).

A maior extração do Cd-DTPA nos solos contaminados e sem aplicação de TF indicou a presença de espécies de Cd disponíveis. Este resultado deveu-se ao menor valor de pH e à menor quantidade de matéria orgânica nas amostras de solo nos tratamentos sem TF do que nos tratamentos com TF.

A diminuição da quantidade de Cd-DTPA em função da dose de TF (Tabela 2) foi atribuída à combinação do efeito complexante dos compostos orgânicos da TF sobre os íons de Cd2+ e o aumento do pH do solo com as doses de TF (Figura 4).

Os ligantes orgânicos presentes na matéria orgânica da TF podem ter formado complexos com o Cd de maior estabilidade do que com o DTPA, o que justificaria a menor extração de Cd-DTPA na presença de TF. Os complexos formados entre os íons de Cd2+ e os ligantes orgânicos apresentam diferentes graus de estabilidade. Os ácidos húmicos, por exemplo, possuem a capacidade de formarem quelatos organometálicos com vários grupos funcionais, tais como: carboxilas, álcool, compostos fenólicos e carbonila e estas ligações apresentam diferentes graus de estabilidade.12,63 A redução do Cd-DTPA em solo que recebeu outros resíduos orgânicos como lodo de esgoto ou de esterco de galinha foi reportado por outros pesquisadores.12

Pesquisas de extração sequencial de Cd em solo têm demonstrado que a maior porcentagem de Cd está ligada às formas orgânicas e aos complexos organometálicos associados ao alumínio e ao ferro formando óxidos amorfos com características da superfície modificada como, por exemplo, seu ponto de carga zero menor, quanto maior a carga negativa maior é a capacidade de reter cátions.14 Também é conhecido o efeito do pH do solo sobre disponibilidade de Cd, uma vez que o aumento do pH no solo diminui a quantidade de Cd disponível por várias causas, entre elas, maior adsorção nos coloides inorgânicos, orgânicos e organometálicos, assim como a formação de espécies de baixa solubilidade.14

A disponibilidade de Cd no solo depende das espécies de Cd presentes, textura do solo, quantidade e qualidade da matéria orgânica, capacidade de troca catiônica, pH, força iônica da solução do solo ou condutividade elétrica e da competência entre íons.9,14 O Cd forma compostos pouco solúveis com o aumento do pH do solo, nesta condição a energia de adsorção do elemento na fase sólida aumenta, o que contribui para a diminuição da disponibilidade e concentração do Cd na solução do solo.9,14 A matéria orgânica também contribui para a retenção de Cd no solo por sua elevada capacidade de troca de cátions, porém dependendo da sua qualidade os metais são complexados na solução do solo ou na fase sólida.9,41

A solução de DTPA apresenta capacidade de formar complexo estável com os metais e por isso poderia extrair com sucesso os elementos ligados à matéria orgânica e ligantes orgânicos.45 Contudo, na TF do presente estudo foi encontrada capacidade de troca catiônica de 528,3 mmolc kg-1. Considerando a elevada capacidade de troca de íons da TF e a variação dessa em função do aumento do pH, a retenção de íons Cd2+ pelos sítios de troca do resíduo orgânico foi maior do que a extração do Cd-DTPA.

 

CONCLUSÕES

1. O total de CO2 emanado, produto da degradação da matéria orgânica do solo e da TF pela atividade microbiana, diminui gradativamente com o aumento da contaminação do solo por Cd.

2. A cinética química de reação da degradação da TF durante o período de 72 dias de incubação foi melhor ajustada ao modelo com duas fases: a mineralização rápida (Fase 1) e lenta (Fase 2) dos compostos orgânicos. A cinética de reação de degradação da TF aumenta com a aplicação do resíduo e com os níveis de contaminação de Cd no solo.

3. Em solo contaminado por Cd, a quantidade desse elemento extraída do solo pela solução extratora DTPA diminui com a aplicação de TF e aumenta na medida em que a contaminação é maior.

4. A combinação de fatores como o pH com a carga orgânica fornecida pela TF regularam a extração do Cd pela solução de DTPA

 

AGRADECIMENTOS

À CAPES pelo apoio financeiro. Ao Prof. Dr. A. B. Boaretto pela colaboração na revisão do trabalho.

 

REFERÊNCIAS

1. Bergmann, W.; Nutritional disorders of plants: development, visual and analytical diagnosis, Jena; Stuttgart; G. Fischer: New York, 1992.

2. Malavolta, E.; Fertilizantes e seu impacto ambiental: micronutrientes e metais pesados, mitos, mistificação e fatos, ProdQuímica: São Paulo, 1994.

3. Berton, R. S. Em Impacto ambiental do uso agrícola do lodo de esgoto; Bettiol, W.; Camargo, O. A., eds.; EMBRAPA: Jaguariúna, 2000, cap. 16.

4. Sandstead, H. H.; AU, W. Em Handbook on the toxicology of metals; Nordberg, G. F.; Fowler, B. A.; Nordberg, M.; Friberg, L., eds.; 3rd ed., Academic Press, Elsevier Inc.: California, 2007, cap. 47.

5. Moreira, F. M. S.; Siqueira, J. O.; Microbiologia e bioquímica do solo, UFLA: Lavras, 2002.

6. Spurgeon, D. J. Em Trace elements in soil; Hooda, P. S., ed.; John Wiley and Sons: London, 2010, cap. 8.

7. http://www.atsdr.cdc.gov/cercla/05list.html, acessada em Maio 2011.

8. Kabata-Pendias, A.; Mukherjee, A. B.; Trace elements from soil to human, Springer-Verlag: Berlin Heidelberg, 2007.

9. Kabata-Pendias, A.; Trace Elements in Soils and Plants, 4th ed., CRC Press: Boca Raton, 2010.

10. Prasad, M. N. V.; Heavy metal stress in plants. From molecules to ecosystems, 2nd ed., Springer-Verlag: Berlin Heidelberg, 2004.

11. Liu, Z.; He, X.; Chen, W.; Ecotoxicology 2011, 20, 698.

12. Tejada, M.; Parrado, J.; Hernández, T.; Garcia, C.; J. Hazard. Mater. 2011, 185, 204.

13. Martinez, C. E.; McBride, M.; Environ. Toxicol. Chem. 2001, 20, 122.

14. McLaughlin, M. J.; Singh, B. R.; Developments in plant and soil science:Cadmium in soils and plants, Kluger Academic Publishers: Dordrecht, 1999.

15. Reichman, S. M.; Parker, D. R. Em Biogeochemistry of Trace Elements in the Rhizosphere; Huang R. M.; Gobran, G. R., eds.; Elsevier, B. V.: Amsterdam, 2005, cap. 4.

16. Violante, A.; Ricciardella, M.; Pigna, M.; Capasso R. Em Biogeochemistry of Trace Elements in the Rhizosphere; Huang R. M.; Gobran, G. R., eds.; Elsevier, B. V.: Amsterdam, 2005, cap. 5.

17. Rodella, A. A.; Introdução à especiação iônica em solução aquosa, FEALQ: Piracicaba, 2006.

18. Moreira, F. M. S.; Siqueira, J. O.; Matéria Orgânica do Solo. Microbiologia e bioquímica do solo, UFLA: Lavras, 2002.

19. Bernard, L.; Maron, P. A.; Mougel, C.; Nowak, V; Lévêque, J.; Marol, C.; Balesdent, J.; Gibiat, F.; Ranjard, L.; Appl. Environ. Microbiol. 2009, 75, 7565.

20. Al Gaidi, A.; Egypt. Acad. J. Biolog. Sci. 2010, 2, 9.

21. Anyanwu, C. U.; Nwankwo, S. C.; Moneke, A. N.; Int. J. Basic Appl. Sci. 2011, 11, 109.

22. Reis, T. C.; Rodella, A. A.; Rev. Bras. Ciên. Solo 2002, 26, 619.

23. Souto, P. C.; Souto, J. S.; Santos, R. V.; Araújo, G. T.; Souto, L. S.; Rev. Bras. Ciên. Solo 2005, 29, 125.

24. Andrade, C. A.; Oliveira, C.; Cerri, C. C.; Bragantia 2006, 65, 659.

25. Grilo, J.; Bol, R.; Dixon, E. R.; Chadwick, D.; Fangueiro, D.; Rapid Commun. Mass Spectrom. 2011, 25, 1514.

26. Kulikowska, D.; Klimiuk, E.; Bioresour. Technol. 2011, 102, 10951.

27. LaRowe, D. E.; Cappellen, P. V.; Geochim. Cosmochim. Acta 2011, 75, 2030.

28. Ajwa, H. A.; Tabatabai, M. A.; Biol. Fertil. Soils 1994, 18, 175.

29. Saviozzi, A.; Levi-Minzi, R.; Riffaldi, R.; Vanni, G.; Biol. Fertil. Soils 1997, 25, 401.

30. Stuczynski, T. I.; McCarty, G. W.; Siebielec, G.; J. Environ. Qual. 2003, 32, 1346; McGrath, S. P. Em Developments in plant and soil science:Cadmium in soils and plants; McLaughlin, M. J.; Singh, B. R., eds.; Kluger Academic Publishers: Dordrecht, 1999, cap. 8.

31. Santos, D. H.; Tiritan, C. S.; Foloni, J. S. S.; Fabris, L. B.; Pesq. Agropec. Trop. 2010, 40, 454; Fravet, P. R. F.; Soares, R. A. B.; Lana, R. M. Q.; Korndörfer, G. H.; Ciênc. Agrotec. 2010, 34, 618; Vasconcelos, R. F. B.; Cantalice, J. R. B.; Silva, A. J. N.; Oliveira, V. S.; Silva, Y. J. A. B.; Rev. Bras. Ciên. Solo 2010, 34, 639.

32. Empresa Brasileira de Pesquisa Agropecuária; Sistema brasileiro de classificação de solos, Embrapa Produção de Informação, EMBRAPA Solos: Rio de Janeiro, 1999.

33. FAO; World reference base for soil resources, UNESCO: Paris, 1994.

34. Camargo, O. A.; Moniz, A. C.; Jorge, J. A.; Valadares, J. M. A. S.; Métodos de análise química, mineralógica e física de solos do Instituto Agronômico de Campinas, IAC: Campinas, 1986. (Boletim Técnico, 106).

35. Raij, B. van; Andrade, J. C.; Cantarella, H.; Quaggio, J. A.; Análise química para avaliação da fertilidade de solos tropicais, Instituto Agronômico: Campinas, 2001.

36. U.S. EPA - United State Environment Protection Agency; SW-846, Test Methods for Evaluating Solid Waste, Physical Chemical Methods, 2007.

37. Skoog, D. A.; Holler, F. J.; Crouch, S. R.; Principles of instrumental analysis, 6th ed., Brooks Cole: California, 2006.

38. Conselho Nacional do Meio Ambiente. Resolução No 420, de 28 de dezembro de 2009.

39. INMETRO. Instituto Nacional de Metrologia, Normalização e Qualidade Industrial; DOQ-CGCRE-008, Orientações sobre Validação de Métodos de Ensaios Químicos, Março, 2003.

40. Andrade, J. C.; Abreu, M. F.; Análise química de resíduos sólidos para monitoramento e estudos agroambientais, IAC: Campinas, 2006.

41. Alloway, B. J.; Steinnes, E. Em Developments in plant and soil science:Cadmium in soils and plants; McLaughlin, M. J.; Singh, B. R., eds.; Kluger Academic Publishers: Dordrecht, 1999, cap. 5.

42. Puga, S.; Sosa, M.; Lebgue, T.; Quintana, C.; Campos, A.; Ecología Aplicada 2006, 5, 149.

43. Alonso, O.; Gloria, N. A.; Paggiaro, C. M.; Geraldi Filho, L.; Teixeira, J. P. B.; Albuquerque, F. C.; Revista STAB 1988, 6, 26.

44. Rodella, A. A.; Saboya, L. V.; Soil Biol. Biochem. 1999, 31, 2059.

45. Hyams, D.; CurveExpert version 1.38; A comprehensive curve fitting system for Windows; Microsoft Corporation, USA, 2003.

46. Lindsay, W. L., Norvell, W. A.; Soil Sci. Soc. Am. J. 1978, 42, 421.

47. SAS Institute; SAS system for Windows; Release 8.02; SAS Institute: Cary, NC, 2001.

48. Akmal, M.; Wang, H. Z.; Wu, J. J.; Xu, J. M.; Xu, D. F.; J. Environ. Sci. 2005, 17, 802; Yong-Tao, L., Rouland, C.; Benedetti, M.; Li, F.; Pando, A., Lavelle, P.; Dai J.; Soil Biol. Biochem. 2009, 41, 969.

49. Dias, H. E. J.; Moreira, F. M. S.; Siqueira J. O.; Silva, R.; Rev. Bras. Ciênc. Solo 1998, 22, 631; Shi, W.; Bischoff, M.; Turco, R.; Konopka, A.; Applied Soil Ecology 2002, 21, 169; Oliveira. A.; Pampulha, M. E.; J. Biosci. Bioeng. 2006, 102, 157; Vasquez-Murrieta, M. S.; Garduno, M.; Franco-Hernandez, O.; Govaerts, B.; Dendooven, L.; Eur. J. Soil Biol. 2006, 42, 89; Nwuche, C. O.; Ugoji, E. O.; Int. J. Environ. Sci. Technol. 2008, 5, 409; Akmal, M.; Jianming, X.; J. Agric. Biol. Sci. 2009, 1, 30.

50. Frey, B.; Stemmer, M.; Wildmer, F.; Luster, J.; Sperisen, C.; Soil Biol. Biochem. 2006, 38, 1745.

51. Shentu, J.; He, Z.; Yang, X.; Li, T.; J. Zhejiang Univ. Sci. B 2008, 9, 250.

52. Chander, K.; Brookes, P. C.; Soil Biol. Biochem. 1993, 25, 1231.

53. Chovanová, K.; Sládeková, D.; Kmeť, V.; Prokšová, M.; Harichová, J.; Puškárová, A.; Polek, B.; Ferianc, P.; Biologia Bratislava 2004, 59, 817.

54. Zhao, X. Q.; Wang, R. C.; Lu, X. C.; Lu, J. J.; Li, J.; Hu, H.; Geomicrobiol. J. 2012, 274, 286.

55. Pereira, J. C.; Os microrganismos e os metais pesados do solo, Seropédica: Embrapa Agrobiologia, 2001. (Documentos, 132).

56. Nogueira, M. A. Em Microbiota do solo e qualidade ambiental; Silveira, A. P. D. da; Freitas, S. S., eds.; Instituto Agronômico : Campinas, 2007, cap.12.

57. Verma, R. K.; Yadav, D. V.; Singh, C. P.; Suman, A.; Gaur, A.; Plant, Soil Environ. 2010, 56, 76.

58. Wong, J. W. C.; Lai, K. M.; Fang, M.; Ma, K. K.; Environ. Int. 1998, 24, 935.

59. Khalil, M. I.; Rosenani, A. B.; van Cleemput, O.; Boeckx, P; Shamahuddin, J.; Fauziah, C. I.; Biol. Fertil. Soils 2002, 36, 59.

60. Bernal, M. P.; Sánchez-Monedero, M. A.; Paredes, C.; Roig, A.; Agric. Ecosyst. Environ. 1998, 69, 175.

61. Pillon, C. N.; Mielniczuk, J.; Martin Neto, L.; Dinâmica da matéria orgânica no ambiente, Embrapa Clima Temperado : Pelotas, 2002, (Documentos, 105)

62. Raij, B. van; Cantarella, H.; Quaggio, J. A.; Furlani, A. M. C.; Recomendações de adubação e calagem para o Estado de São Paulo, 2ª ed., Instituto Agronômico de Campinas: Campinas, 1996. (Boletim Técnico, 100)

63. Datta, A.; Sanyal, S. K.; Saha, S.; Plant and Soil 2001, 235, 115.

On-line version ISSN 1678-7064 Printed version ISSN 0100-4042
Qu�mica Nova
Publica��es da Sociedade Brasileira de Qu�mica
Caixa Postal: 26037 05513-970 S�o Paulo - SP
Tel/Fax: +55.11.3032.2299/+55.11.3814.3602
Free access

GN1