JBCS



5:09, dom nov 2

Acesso Aberto/TP



Educação


Preparação de 1,2,4-oxadiazol: sequência didática aplicada em disciplina de síntese orgânica na graduação
Preparation of 1,2,4-oxadiazoles: teaching-learning sequence applied to the course on organic synthesis in undergraduate studies

Juliana L. L. Freire Regueira; Jucleiton J. R. de Freitas; Joao R. de Freitas Filho*

Departamento de Química, Universidade Federal Rural de Pernambuco, 52171-900, Recife - PE, Brasil

Recebido em 22/01/2016
Aceito em 16/03/2016
Publicado na web em 01/06/2016

Endereço para correspondência

*e-mail: joaoveronice@yahoo.com.br

RESUMO

1,2,4-oxadiazoles are used in a wide range of applications, including medicinal chemistry and chemistry of materials. However, this kind of oxadiazoles is not usually prepared in an undergraduate organic teaching laboratory. This work describes a didactic sequence for the preparation of 1,2,4-oxadiazols, mediated by microwave irradiation, employing home-use microwave oven. For the development of this practice, one lecture and one laboratory session were used. At the end of this session, a questionnaire was applied to evaluate the didactic sequence. The conclusion was that this approach can be used for the preparation of 1,2,4-oxadiazoles as a pedagogical practice to make the process of teaching easier and enjoyable.

Palavras-chave: 1,2,4-oxadiazole; microwave; organic synthesis; graduation; didactic sequence.

INTRODUÇAO

A Química dos 1,2,4-oxadiazóis pode ser utilizada para o ensino de química, com ênfase na química orgânica, visto que os mesmos possuem diversas atividades, quer seja na química de moléculas bioativas,1-13 quer seja na química de materiais.14-18 Sua importância e aplicaçoes possibilitam uma abordagem didática significativa e interessante para o estudante do ensino superior. Ao executar as práticas de preparaçao de 1,2,4-oxadiazóis, o estudante poderá estabelecer uma relaçao direta entre a química orgânica e o seu dia a dia. Por outro lado, o ensino da química dos 1,2,4-oxadiazóis na graduaçao ainda nao foi descrita na literatura.

Os 1,2,4-oxadiazóis sao heterociclos de cinco membros com dois átomos de nitrogênio e um de oxigênio. Estes heterociclos apresentam baixo grau de aromaticidade, sendo melhor descritos como sistemas conjugados.19 Os heteroátomos podem estar organizados de quatro maneiras, na forma de isômero constitucional, conforme Figura 1.

 


Figura 1. Isômeros dos oxadiazóis

 

Os 1,2,4-oxadiazóis apresentam diversas atividades biológicas já descritas na literatura, no qual alguns destes compostos exibem acentuadas propriedades farmacológicas.20 Na década de 60, três compostos contendo o anel oxadiazólico ganharam grande importância sintética e comercial quando três fármacos foram colocados em circulaçao comercial: lixebina21 e oxolamina,22 que apresentam atividade antitussígena e o irrigor,21 que apresenta atividade vasodilatadora, Figura 2. Depois da comercializaçao desses fármacos a química desses heterocíclicos atraiu diferentes grupos de pesquisa na busca de desenvolver fármacos mais potentes contendo esse anel heterocíclico. Além dos produtos sintéticos, os anéis 1,2,4-oxadiazólicos também sao encontrados em produtos naturais, e recentemente uma substância obtida por Carbone et al.23 de um molusco (Phidiana militaris), revelou a presença de alguns compostos contendo este anel heterocíclico, colocando em destaque esta classe de compostos devido às altas toxicidades que as fidianidinas isoladas apresentaram frente as células tumorais de mamíferos que foram testadas in vitro. No tocante à química dos materiais, estes compostos apresentam várias aplicaçoes descritas na literatura, como a relatada por Buscemi et al.16 quando seu grupo preparou uma nova série de 1,2,4-oxadiazóis que apresentaram propriedades fotoluminescente, Figura 2.

 


Figura 2. Oxadiazóis com atividades biológicas e propriedades fotoluminescentes

 

Os 1,2,4-oxadiazóis podem ser preparados por diferentes métodos, dentre eles o aquecimento convencional, a irradiaçao de micro-ondas e ultrassom. Muitas reaçoes sao impossíveis de serem realizadas no período de uma ou duas aulas, logo, o uso dos fornos de micro-ondas nos laboratórios de graduaçao vem se tornando gradativamente uma ferramenta importante para contornar este problema, sendo que reaçoes que levam horas ou requerem temperaturas elevadas podem ser facilmente conduzidas em minutos. Por outro lado, as reaçoes químicas realizadas sob a irradiaçao por micro-ondas contemplam vários dos princípios da química verde24 e podem vir a trazer uma série de vantagens tanto para a indústria química, quanto para instituiçoes de ensino e pesquisa em química.

A irradiaçao usando micro-ondas já mostrou ser útil nas diferentes áreas da síntese orgânica e, em uma revisao da literatura realizada por De Souza e Miranda,25 é possível encontrar diversos exemplos da utilizaçao da irradiaçao de micro-ondas em quatro diferentes áreas da química orgânica: catálise, heterocíclos, produtos naturais e reaçoes sem solvente. Por outro lado, na área de ensino experimental já existem diversos trabalhos que utilizam a irradiaçao de micro-ondas, por exemplo a nitraçao do salicilaldeído,26 síntese da fenitoína,27 síntese e hidrólise de azalactonas de Erlenmeyer-Plöchl.28

Portanto, a utilizaçao da preparaçao de 1,2,4-oxadiazol como tema estruturador para uma Sequência Didática (SD) em disciplina de Síntese Orgânica pode se tornar uma motivaçao para a aprendizagem do conteúdo científico, na graduaçao. Todavia, a sequência didática utilizada neste trabalho foi proposta por Delizoicov e Angotti.29 De acordo com estes autores, Sequência Didática é definido como o recurso utilizado para entrelaçar teoria e prática, sendo composta por três momentos pedagógicos, cujos objetivos sao desvendar o problema exposto.29,30 O primeiro momento é a problematizaçao, seguido pela organizaçao do conhecimento. No terceiro momento pedagógico retoma-se o problema proposto no primeiro momento da Sequência Didática, para sua reinterpretaçao à luz do conhecimento científico sistematizado no segundo momento.

De acordo com Pereira e Pires,31 as atividades que sao planejadas de maneiras sequenciais podem contribuir para a aprendizagem de diversos conteúdos em ciências. Na elaboraçao de tais atividades é necessário se atentar ao conteúdo a ser ensinado, às características cognitivas dos alunos, à dimensao didática relativa à instituiçao de ensino, motivaçao para a aprendizagem, significância do conhecimento a ser ensinado e planejamento da execuçao da atividade. No planejamento de uma sequência didática podem ser intercalados diversas estratégias e recursos didáticos, tais como aulas expositivas, demonstraçoes, sessoes de questionamento, soluçao de problemas, experimentos em laboratório com o auxílio de materiais alternativos, jogos de simulaçao, atividades, textos, dinâmicas de grupo, fóruns e debates, entre outros.

Mediante o exposto, o presente trabalho teve como objetivo utilizar a química dos 1,2,4-oxadiazóis como tema estruturador de uma Sequência Didática (SD) para ser aplicada em disciplina de Síntese Orgânica a estudantes de graduaçao. Na elaboraçao da SD, utilizou-se de várias metodologias diferenciadas, em especial um experimento: a preparaçao de 1,2,4-oxadiazol mediada por forno de micro-ondas doméstico. A aula experimental teve um papel central na SD e foi desenvolvida no laboratório de ensino de Química Orgânica, desde a montagem do experimento até as observaçoes e discussao dos resultados.

 

PARTE EXPERIMENTAL

Materiais

Para a realizaçao dos experimentos da Sequência Didática foi necessário o uso de equipamentos de proteçao individual: luvas, óculos de segurança e jaleco. Como vidrarias e utensílios de laboratório foram utilizados: tubo de vidro pequeno, erlenmeyer, espátulas, placa para cromatografia em camada delgada (CCD), cuba de eluiçao para CCD ou béquer de 100 mL; pinça, câmara com lâmpada UV, forno de micro-ondas doméstico, balança analítica, pipeta, pisseta. Os reagentes e solventes necessários à síntese foram: arilamidoxima (MM=136 g/mol), acetoacetato de etila; dimetilformamida (DMF); carbonato de potássio (K2CO3); água destilada; sistema para eluiçao de CCD (9:1 diclorometano/acetato de etila) ou 7:3 (hexano/acetato de etila) escolhidos de acordo com a disponibilidade. Benzonitrila (Sigma-Aldrich), cloridrato de hidroxilamina, acetatoacetato de etila, carbonato de potássio (K2CO3), sulfato de sódio, carbonato de sódio (Na2CO3), etanol, sílica, clorofómio e ácido clorídrico foram adquiridos comercialmente. O acetato de etila, o hexano e o diclorometano foram previamente destilados antes de serem empregados.

Os espectros na regiao do infravermelho foram obtidos na forma de discos de KBr em um aparelho Varian modelo 640 FTIR. Os espectros de RMN foram obtidos num aparelho Varian modelos Unity Plus (300 MHz para hidrogênio e 75 MHz para carbono-13) e os deslocamentos químicos estao descritos em unidades de ppm a partir da referência (TMS). A reaçao foi realizada em forno micro-ondas da marca Panasonic, modelo NN-ST341WRUK (850 W e 220 V).

Preparando a amidoxima

Para preparaçao da benzamidoxima foi proposto o seguinte procedimento experimental, conforme descrito na literatura:32 em um erlenmeyer de 125 mL, adicionou-se 2,0 g de cloridrato de hidroxilamina (29,1 mmol), 2,4 g de carbonato de sódio (29,1 mmol) e 25 mL de água destilada a temperatura ambiente. Em seguida, adicionou-se 3,0 g de benzonitrila (29,1 mmol) e 25 mL de etanol. A mistura reacional foi irradiada em banho de ultrassom por 15 minutos a uma temperatura de 55 °C, até o consumo da nitrila. O término da reaçao foi comprovado por cromatografia em camada delegada (CCD) em sistema de eluiçao 9:1 (hexano/acetato de etila). Após evaporaçao do etanol, o produto foi extraído com 50 mL de diclorometano e seco com sulfato de sódio anidro. Posteriormente fez-se uma filtraçao e o solvente foi removido sob pressao reduzida. O produto bruto foi purificado por recristalizaçao em clorofórmio-hexano para fornecer a benzamidoxima em 11,96 g (85% de rendimento). P.F. 79-80 °C (lit.33,34 79-80 °C). A amidoxima foi preparada anteriormente à aula prática, pelos responsáveis pela disciplina.

Preparando o 1,2,4-oxadiazol

Para preparaçao do 1,2,4-oxadiazol foi proposto o seguinte procedimento experimental: adicionou-se a um vidro de penicilina a benzamidoxima (1,0 mmol), o acetoacetato de etila (1,2 mmol) e 1,0 mmol de K2CO3 (carbonato de potássio). Em seguida foi adicionada uma gota de DMF e realizou-se a homogeneizaçao. A mistura reacional foi submetida à irradiaçao de micro-ondas com um tempo de 7 minutos a uma potência de 10 W. É importante colocar no interior do micro-ondas um erlenmeyer contendo água a fim de evitar o superaquecimento da reaçao. O término da reaçao foi comprovado com cromatografia em camada delegada (CCD) em sistema de eluiçao 7:3 (hexano/acetato de etila) ou 9:1 (diclorometano/acetato de etila). Em seguida realizou-se uma extraçao 2x de 20 mL com diclorometano e soluçao de ácido clorídrico 1 mol L-1. A fase orgânica (diclorometano) foi seca com sulfato de sódio anidro. O resíduo da evaporaçao do diclorometano foi purificado por coluna cromatográfica, tendo como eluente uma mistura de hexano/acetato (9/1). O 3-fenil-[1,2,4 -oxadiazol-5-il]-propan-2-ona foi obtido em rendimento de 88% (0,112 g).

Descriçao da metodologia de ensino

Planejamento com o professor de química responsável pela disciplina

Em conjunto com o professor da disciplina de Síntese Orgânica, foram avaliados e definidos os conteúdos do semestre letivo que poderiam ser ensinados a partir do tema 1,2,4-oxadiazol. Posteriormente, planejou-se as aulas expositivas e experimentais, baseando-se na análise retrossintética (polaridade latente, desconexao, síntons, compostos equivalentes e economia de átomos). Todos os planos de aula foram elaborados de acordo com a ementa da disciplina em que a sequência didática proposta neste estudo foi aplicada.

Desenvolvimento de aula expositiva com o emprego de recursos áudio visuais

A primeira atividade proposta consistiu na realizaçao de uma aula expositiva introdutória, com o auxílio de recursos audiovisuais e diversas ilustraçoes extraídas do livro "Organic Chemistry" de Clayden et al.35 sobre o conteúdo de análise retrossintética. A proposta de aula tem seu início com a apresentaçao de uma imagem de fármacos sobre os 1,2,4-oxadiazóis. A imagem ilustrada na Figura 3 tem como objetivo responder ao questionamento "Por que sintetizar 1,2,4-oxadiazóis em laboratório de ensino?".

 


Figura 3. Parte introdutória do material proposto pelo estudante bolsista na SD para a aula expositiva

 

Desenvolvimento do roteiro de aula prática

A partir da atividade experimental intitulada "Preparando 1,2,4-oxadiazol mediada por forno de micro-ondas doméstico" e da permissao do professor, buscou-se uma maneira de transpor para os estudantes o conhecimento científico do experimento didaticamente. Para isso, desenvolveu-se um roteiro de aula prática em que foi proposta a análise retrossintética do composto a ser obtido. No roteiro, além do procedimento experimental, encontram-se questoes abertas para resoluçao pelos estudantes e posterior socializaçao das respostas com discussao acerca das disparidades e semelhanças entre as respostas e o conhecimento científico, sendo essa discussao mediada pelo professor.

Elaboraçao da Sequência Didática

A SD contemplou quatro aulas de cinquenta minutos, no contexto da disciplina de Síntese Orgânica. Para iniciar a problematizaçao proposta aos estudantes, em um primeiro momento foi apresentada uma imagem (Figura 3) sobre os 1,2,4-oxadiazóis. Em seguida, propôs-se uma discussao sobre os possíveis benefícios ao preparar 1,2,4-oxadiazol. Após a discussao com os estudantes, o conhecimento científico sobre o assunto foi abordado. Nesta etapa, utilizou-se como estratégia de ensino a confecçao de mapas conceituais pelos estudantes. No terceiro momento foi desenvolvida a prática de preparaçao do 1,2,4-oxadiazol e a discussao dos resultados observados durante o experimento, correlacionando-os à aula teórica. Neste momento da SD, utilizou-se da escrita de relatório como estratégia de ensino.

Avaliaçao dos resultados da aplicaçao da sequência didática

A avaliaçao dos resultados foi realizada através da construçao de mapas conceituais após aula expositiva, relatório escrito, seminário, questionário ao término da aula prática e prova teórico-práticas. No questionário foram abordadas questoes sobre alguns conceitos envolvidos na aula prática e a interaçao entre a aula teórica e prática.

 

RESULTADOS E DISCUSSAO

Na primeira aula da sequência didática, os autores do trabalho fizeram o seguinte questionamento para os estudantes: "Por que preparar 1,2,4-oxadiazóis em laboratório de ensino de química orgânica?". Diante do questionamento aplicado aos estudantes e da análise das suas respostas foi possível averiguar as concepçoes dos estudantes no que diz respeito à química dos 1,2,4-oxadiazóis e suas habilidades de formular hipóteses, interpretar, analisar e compreender a temática. Além das observaçoes discutidas na presente análise, foram identificados os conceitos: experimentos, reaçao química e substâncias com propriedades distintas, que, por estarem bem definidos na estrutura cognitiva dos estudantes, foram utilizados como subsunçor na presente sequência didática. Em seguida houve uma breve introduçao sobre o tema abordado. Neste momento mencionou-se a importância e aplicaçoes dos 1,2,4-oxadiazóis como moléculas bioativas.36 Para auxiliar a explicaçao, a imagem contendo exemplos dessas moléculas foi apresentada (Figura 3). Ainda nesse momento, foi mostrada aos estudantes a molécula-alvo que se pretendia preparar no laboratório (Figura 4).

 


Figura 4. Molécula alvo

 

O segundo momento da SD consistiu em esboçar uma análise retrossintética do composto objeto de estudo (esquema 1) levando-se em conta a arquitetura molecular e os desafios individuais sintéticos.

 


Esquema 1. Análise retrossintética geral para preparaçao de 1,2,4-oxadiazol

 

A abordagem retrossintética consistiu basicamente em transformar a estrutura da molécula-alvo em uma sequência de estruturas progressivamente mais simples, clivando esta em seçoes conhecidas como síntons (fragmentos da molécula instáveis que nao sao encontrados de forma isolada, mas apenas combinados) (Esquema 2). Neste momento, os conceitos de polaridade latente (carga parcial que cada átomo da molécula possui) do 1,2,4-oxadiazol pôde ser discutido em uma aula expositiva dialogada e, em seguida, foram propostas as desconexoes para a molécula-alvo. Cada uma das etapas do retrocesso é representada por uma seta dupla (⇒), enquanto o símbolo (----) é desenhado sobre a ligaçao quebrada na molécula-alvo. Cada um dos síntons possíveis é convertido em um composto real conhecido, o equivalente sintético. A análise é repetida com os reagentes de cada etapa da retrossíntese até que os materiais iniciais prontamente disponíveis sejam obtidos.

 


Esquema 2. Análise retrossintética de 1,2,4-oxadiazol

 

Ainda neste momento, a partir da retrossíntese foi preciso pensar em moléculas disponíveis comercialmente ou mesmo que possam ser sintetizadas, que poderiam gerar esses mesmos síntons. Em seguida foi proposto um esquema reacional para preparaçao do 1,2,4-oxadiazol desejado (esquema 3).


Esquema 3. Proposta de reaçao para obtençao do 1,2,4-oxadiazol

No final da aula e com a finalidade de reforçar o conhecimento foram elaborados mapas conceituais como estratégia de ensino, que teve como objetivo permitir que os estudantes esquematizassem como proceder diante do problema de como preparar determinado composto. Diante dos mapas construídos pelos estudantes foi possível perceber que eles nao consideraram muito a proposta de montar os esquemas na forma de um mapa conceitual utilizando caixas de texto. Todos os estudantes esquematizaram o conhecimento na forma de texto e/ou em tópicos. Alguns estudantes discorreram muito bem sobre os objetivos da análise retrossintética. Como exemplo, destaca-se a fala do estudante A1 "o estudo de uma análise retrossintética pode ser realizado para nortear o planejamento teórico que proponha a melhor ou mais acessível rota sintética para determinada síntese". Pela fala do estudante, percebe-se que as atividades anteriores contribuíram para a construçao do conhecimento científico de forma efetiva.

No terceiro momento da sequência didática aplicou-se a aula prática experimental sobre a preparaçao de 1,2,4-oxadiazol. Para facilitar a execuçao do experimento, dividiram-se seis estudantes em três bancadas contendo cada grupo, duas pessoas. Todos os materiais necessários para a realizaçao da prática já se encontravam devidamente preparados e separados sobre as bancadas. Neste momento, os estudantes pesaram os reagentes, homogeneizaram a mistura conforme procedimento experimental e colocaram no forno de micro-ondas por 7 a 9 minutos.

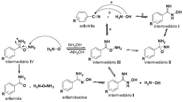
Conforme a proposta investigativa da SD, foi estudado o mecanismo de obtençao do reagente arilamidoxima, no qual o oxigênio da hidroxilamina realiza um ataque nucleofílico no carbono polarizado positivamente da nitrila, formando um intermediário que sofre rearranjos intramoleculares até chegar à estrutura da arilamidoxima, Esquema 4. Ao propor o mecanismo de obtençao da amidoxima foram revisados conceitos de estabilidade de reagentes, ácidos e bases de Bronsted, funçoes orgânicas.

 


Esquema 4. Mecanismo de reaçao para preparaçao de amidoxima

 

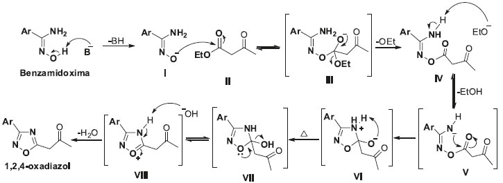
O término da reaçao de obtençao do 1,2,4-oxadiazol e a realizaçao da cromatografia em camada delgada permitiu a revisao de conteúdos como: polaridade, cromatografia, solubilidade e fator de retençao. Ainda nesse momento foi proposto e discutido o mecanismo de obtençao do 1,2,4-oxadiazol. O mecanismo de reaçao proposto para a formaçao do 1,2,4-oxadiazol é mostrado no Esquema 5. Inicialmente, a remoçao do próton ácido de I com uma base adequada cria um anion no átomo de oxigênio, e este ataca a carbonila de II e fornece uma espécie instável tetraédrica III com subsequente perda de etanol para fornecer IV. Posteriormente o composto IV é convertido no V pela abstraçao do próton de IV e quebra da ligaçao N-H, com o par de elétrons migrando para o átomo de nitrogênio. Em seguida, este intermediário é ciclizado para fornecer VI, que sofre eliminaçao da água por aquecimento (intermediário VII e VIII) para produzir 1,2,4-oxadiazol objeto do estudo.

 


Esquema 5. Mecanismo de reaçao para formaçao do 1,2,4-oxadiazol

 

Dando continuidade, o composto obtido foi analisado por técnicas de infravermelho e ressonância magnética nuclear de hidrogênio e carbono-13. Inicialmente foram analisados os espectros de infravermelho da amidoxima e do 1,2,4-oxadiazol obtido. A comparaçao dos espectros de IV do composto de partida (amidoxima) e do produto obtido permitiu avaliar as mudanças estruturais. O composto de partida apresentou bandas de absorçao em 3360 e 3460 cm-1, correspondentes aos νs do grupo NH2 e uma banda de absorçao em 3237 cm-1 referente ao grupo OH, o que nao foi observado no espectro composto obtido. No decorrer da análise do espectro de infravermelho foram trabalhados os conceitos de número de onda, frequência, vibraçao, estiramento simétrico e nao simétrico, deformaçao angular, deformaçao axial.

Em um momento posterior foram analisados e discutidos os espectros de RMN dos compostos sintetizados. No espectro de RMN 13C aparece um sinal na regiao de δ 199 ppm referente ao carbono da carbonila e os sinais em δ 173 ppm e δ 168 ppm correspondem aos carbonos do anel oxadiazólico. No decorrer da análise do espectro de ressonância magnética nuclear hidrogênio e de carbono-13 foram abordados os conceitos de estados de spin, momento magnéticos nucleares, deslocamento, multiplicidade, constante de acoplamento, solvente, equivalência química, ambiente químico, campo baixo, campo alto, blindagem, desblindagem, desdobramento e anisotropia magnética.

Os estudantes se mostraram motivados a entender como estava ocorrendo a reaçao realizada por eles e puderam perceber que os 1,2,4-oxadiazóis, assim como as amidoximas, sao sistemas conjugados e exibem fluorescência. Isso ficou evidenciado após aplicaçao da amostra na placa de cromatografia em camada delgada, eluiçao em sistema de 7:3 (hexano/acetato de etila) ou 9:1 (diclorometano/ acetato de etila) e visualizaçao em câmara de luz ultravioleta. Convém destacar que na placa de CCD foram aplicados três pontos: o primeiro da arilamidoxima usada, o segundo da mistura (amidoxima mais produto da reaçao) e, finalmente, o terceiro do produto da reaçao. O término da reaçao foi atingido quando houve o consumo total da arilamidoxima.

Durante todas as atividades propostas, os estudantes foram avaliados quanto ao questionamento feito, elaboraçao de mapas conceituais, questionário aplicado ao final da atividade experimental, relatório escrito e realizaçao de prova teórico-práticas. No que diz respeito aos relatórios, pode-se concluir que os estudantes demonstraram satisfaçao em realizar a síntese de um composto que tem potencial em atividade biológica e, mais ainda, frisaram que foi bom vivenciar as etapas de um processo sintético. Eles destacaram também a importância da química verde quando se pensa em sintetizar um composto. Por outro lado, os estudantes foram avaliados no momento em que houve uma discussao sobre as respostas dadas ao questionário relacionado ao experimento, por exemplo: "Analisando o produto obtido e visando-se a sua retrossíntese, em que fragmentos ela poderia ser clivada?; De quais reagente devemos partir para obter os fragmentos que formam os 1,2,4-oxadiazóis? Que relaçao existe entre Rf e uma reaçao?; Quais as evidências reacionais observadas?; Tratando-se a Diels-Alder de uma cicloadiçao, o valor da EA nao é sempre 100%? No caso da preparaçao do 1,2,4-oxadiazol também é 100%? Explique."

No primeiro tipo de pergunta, os estudantes foram convidados a identificar o local de clivagem, dado um produto final, ou molécula alvo. Aqui, os alunos tiveram de considerar todas as reaçoes que aprenderam na disciplina de Síntese Orgânica e em todas as disciplinas de Química Orgânica ministradas anteriormente.

Com relaçao à segunda pergunta, os estudantes foram convidados a identificar o(s) melhor(es) material(is) de partida necessário(s) para gerar o produto desejado. Inicialmente os alunos propuseram a rota sintética de preparaçao do 1,2,4-oxadiazol e em seguida montaram o roteiro experimental. No roteiro constavam todos os produtos de partida a serem usados, bem como a quantidade de cada produto.

A terceira pergunta está relacionada com o término da reaçao e, para respondê-la, os estudantes leram um texto sobre cromatografia e fizeram a correlaçao entre a teoria e à aula prática.

Finalmente, a última pergunta do questionário abordou questoes da Química Verde e os estudantes concluíram que, ao preparar o 1,2,4-oxadiazol, este foi obtido num contexto da Química Verde, pois nao houve uso de solvente. Ao sintetizar o 3-fenil-[1,2,4 -oxadiazol-5-il]-propan-2-ona deu-se ainda um enfoque às métricas em Química Verde, como o conceito de economia de átomos e do factor E. A partir da determinaçao clássica do rendimento da reaçao os estudantes podem discutir a economia de átomos, o factor E e analisarem a "verdura" da reaçao em relaçao a estes parâmetros.

Finalizando, com a realizaçao das aulas, os seis estudantes foram capazes de relacionar adequadamente os conceitos teóricos e práticos durante a apresentaçao dos resultados na forma de seminários, de mapas conceituiais construídos, de relatórios escritos, bem como na realizaçao de prova teórico-práticas, comparando criticamente seus resultados com os demais grupos. Por outro lado, o experimento proposto na SD poderá ser facilmente reproduzido de forma imediata como parte integrante de disciplinas experimentais de química orgânica, uma vez que emprega procedimentos simples, rápidos e de fácil execuçao, vidrarias e equipamentos comuns em um laborátorio de química, possibilitando, assim, uma discussao sobre o ensino da química de heterociclos, sobre uso de micro-ondas para promover reaçoes químicas e sobre Química verde, que sao temas em destaque no meio científico.

 

CONCLUSAO

A utilizaçao das diferentes atividades didáticas propostas na sequência didática (leitura de textos, questionários, mapas conceituais, seminários e experimento) foi importante, pois teve a finalidade de promover uma maior integraçao entre a teoria e a prática no desenvolvimento de conceitos, e se mostrou promissora durante sua aplicaçao com estudantes do ensino superior, pois os mesmos puderam obter um maior envolvimento pessoal com as atividades, sentiram-se mais confiantes e recompensados, o que se constituiu em um fator motivador e incentivador de novas aprendizagens.

Os resultados obtidos com a aplicaçao da SD demonstraram que a preparaçao de 1,2,4-oxadiazol a partir da benzoamidoxima é um experimento simples e de fácil execuçao, que abrange conceitos importantes, como síntese orgânica, retrossíntese, heterociclos, cromatografia e Química Verde, e pode ser aplicado em qualquer laboratório de Ensino de Química Orgânica. As condiçoes envolvidas sao brandas e o isolamento do produto sólido é realizado de maneira simples, bem como sua caracterizaçao por ponto de fusao, infravermelho e RMN 1H e 13C. O experimento foi realizado em microescala, oferecendo maior segurança no manuseio pelos estudantes, menor custo operacional e menor geraçao de resíduos.

Ao final da aplicaçao da Sequência Didática, os estudantes foram capazes de relacionar adequadamente os conceitos teóricos e práticos a eles apresentados durante a elaboraçao de mapas conceituais, a escrita de relatório, a apresentaçao de seminário e a realizaçao de provas teórico-práticas.

 

MATERIAL SUPLEMENTAR

Procedimentos experimentais e caracterizaçao da arilamidoxima e do 1,2,4-oxadiazol, Tabela 1S, espectros de IV, RMN 1H e RMN 13C, questionários aplicados aos estudantes e mapas conceituais construídos pelos estudantes estao disponíveis em http://quimicanova.sbq.org.br, em formato .pdf com acesso livre.

 

AGRADECIMENTOS

Os autores deste trabalho agradecem a todas as agências de fomento que financiaram a nossa pesquisa: CAPES, CNPq e FACEPE pelas bolsas concedidas aos estudantes de Iniciaçao Científica e Pós-Graduaçao.

 

REFERENCIAS

1. Palmer, J. T.; Rydzewski, R. M.; Mendonca, R. V.; Sperandio, D.; Spencer, J. R.; Hirschbein, B. L.; Lohman, J.; Beltman, J.; Nguyen, M.; Liu, L.; Bioorg. Med. Chem. Lett. 2006, 16, 3434. DOI: http://dx.doi.org/10.1016/j.bmcl.2006.04.013 PMID: 16644215

2. Xu, J.; Wei, L.; Mathvink, R.; He, J.; Park, Y. J.; He, H.; Leiting, B.; Lyons, K. A.; Marsilio, F.; Patel, R. A.; Wu, J. K.; Thornberry, N. A.; Weber, A. E.; Bioorg. Med. Chem. Lett. 2005, 15, 2533. DOI: http://dx.doi.org/10.1016/j.bmcl.2005.03.055 PMID: 15863311

3. Bezerra, N. M. M.; de Oliveira, S. P.; Srivastava, R. M.; da Silva, J. R.; Il Farmaco 2005, 60, 955. DOI: http://dx.doi.org/10.1016/j.farmac.2005.08.003

4. Tyrkov, A. G.; Sukhenko, L. T.; Pharm. Chem. J. 2004, 38, 376. DOI: http://dx.doi.org/10.1023/B:PHAC.0000048437.00540.6a

5. Leite, A. C. L.; Vieira, R. F.; De Faria, A. R.; Wanderley, A. G.; Afiatpour, P.; Ximenes, E. C. P. A.; Srivastava, R. M.; De Oliveira, C. F.; Medeiros, M. V.; Antunes, E.; Brondani, D. J.; Il Farmaco 2000, 55, 719. DOI: http://dx.doi.org/10.1016/S0014-827X(00)00099-9

6. Haugwitz, R. D., Martinez, A. J.; Venslavsky, J.; Angel, R. G.; Maurer, B. V.; Jacobs, G. A.; Narayanan, V. L.; Cruthers, L. R.; Szanto, J.; J. Med. Chem. 1985, 28, 1234. DOI: http://dx.doi.org/10.1021/jm00147a019 PMID: 4032426

7. Zhang, H.-Z.; Kasibhatla, S.; Kuemmerle, J.; Kemnitzer, W.; Ollis-Mason, K.; Qiu, L.; Crogan-Grundy, C.; Tseng, B.; Drewe, J.; Cai, S. X.; J. Med. Chem. 2005, 48, 5215. DOI: http://dx.doi.org/10.1021/jm050292k PMID: 16078840

8. Yan, L.; Huo, P.; Doherty, G.; Toth, L.; Hale, J. J.; Mills, S. G.; Hajdu, R.; Keohane, C. A.; Rosenbach, M. J.; Milligan, J. A.; Shei, G.-J.; Chrebet, G.; Bergstrom, J.; Card, D.; Quackenbush, E.; Wickham, A.; Mandala, S. M.; Bioorg. Med. Chem. Lett. 2006, 16, 3679. DOI: http://dx.doi.org/10.1016/j.bmcl.2006.04.084 PMID: 16697189

9. Huhtiniemi, T.; Suuronen, T.; Rinne, V. M.; Wittekindt, C.; Lahtela-Kakonnen, M.; Jarho, E.; Wallén, E. A. A.; Salminen, A.; Poso, A.; Leppänen, J.; J. Med. Chem. 2008, 51, 4377. DOI: http://dx.doi.org/10.1021/jm800639h PMID: 18642893

10. Kumar, D.; Patel, G.; Chavers, A. K.; Chang, K.-H.; Shah, K.; Eur. J. Med. Chem. 2011, 46, 3085. DOI: http://dx.doi.org/10.1016/j.ejmech.2011.03.031 PMID: 21481985

11. Vujasinović, I.; Paravić-Radičević, A.; Mlinarić-Majerski, K.; Brajša, K.; Bertoša, B.; Bioorg. Med. Chem. 2012, 20, 2101. DOI: http://dx.doi.org/10.1016/j.bmc.2012.01.032 PMID: 22341245

12. Ozeo, Y.; Yagi, K.; Nakamura, M.; Akamatsu, M.; Miyake, T.; Matsumura, F.; Pestic. Biochem. Physiol. 2000, 66, 92. DOI: http://dx.doi.org/10.1006/pest.1999.2452

13. Filho, R. A. W. N; Da Silva, C. A.; Da Silva, C. S. B.; Brustein, V. P.; Navarro, D. M. A. F.; Dos Santos, F. A. B.; Alves, L. C.; Cavalcanti, M. G. S.; Srivastava, R. M.; Carneiro-Da-Cunha, M. G. C.; Chem. Pharm. Bull. 2009, 57, 819. DOI: http://dx.doi.org/10.1248/cpb.57.819

14. Parra, M. L; Hidalgo, P. I.; Elgueta, E. Y.; Liq. Cryst. 2008, 35, 823. DOI: http://dx.doi.org/10.1080/02678290802211114

15. Pibiri, I.; Pace, A.; Piccionello, A. P.; Pierro, P; Buscemi, S.; Heterocycles 2006, 68, 2653. DOI: http://dx.doi.org/10.3987/COM-06-10895

16. Buscemi, S.; Pace, A.; Piccionello, A. P. Vivona, N. J.; Fluorine Chem. 2006, 127, 1601. DOI: http://dx.doi.org/10.1016/j.jfluchem.2006.07.012

17. Parra, M.; Hidalgo, P.; Carrasco, E.; Barbera, J.; Silvino, L.; Liq. Cryst. 2006, 33, 875. DOI: http://dx.doi.org/10.1080/02678290600871614

18. Shanker, G.; Nagaraj, M.; Kocot, A.; Vij, J. K.; Prehm, M.; Tschierske, C.; Adv. Funct. Mater. 2012, 22, 1671. DOI: http://dx.doi.org/10.1002/adfm.201101770

19. Clapp, L. B. In Advances in Heterocyclic Chemistry; Katritzky, A. R., ed.; Academic Press, New York, 1976, vol. 20, pp. 65-116.

20. Jochims, J. C. In Comprehensive Heterocyclic Chemistry II; Katritzky, A. R.; Rees, C. W.; Scriven, E. F. D., eds.; Elsevier Science: Oxford, 1996, 4, 179

21. Harsanyi, K.; P. Kiss, P.; Korbonits, D.; Malyata, I. R.; Arzneim. Forsch. 1966, 16, 615.

22. Eloy, F.; Lenaers, R.; Helv. Chim. Acta 1966, 49, 1430. DOI: http://dx.doi.org/10.1002/hlca.19660490428

23. Carbone, M.; Li, Y.; Irace, C.; Mollo, E.; Castelluccio, F.; di Pascale, A.; Cimino, G.; Santamaria, R.; Guo, Y.-W; Gavagnin, M.; Org. Lett. 2011, 13, 2516. DOI: http://dx.doi.org/10.1021/ol200234r PMID: 21506595

24. Corrêa, A. G.; Zuin, V. G.; Química Verde: Fundamentos e Aplicaçoes, EdUFSCar: Sao Carlos, 2009.

25. De Souza, R. O. M. A.; Miranda, L. S. M.; Quim. Nova 2011, 34, 497. DOI: http://dx.doi.org/10.1590/S0100-40422011000300023

26. Teixeira, E. F.; dos Santos, A. P. B.; Bastos; R. S.; Pinto. A. C.; Kümmerle, A. E.; Coelho, R. R.; Quim. Nova 2010, 33, 1603. DOI: http://dx.doi.org/10.1590/S0100-40422010000700032

27. Konrath, E.; Piedade, M.; Eifler-Lima, V. L.; Quim. Nova 2012, 35, 1887. DOI: http://dx.doi.org/10.1590/S0100-40422012000900033

28. Silvio Cunha, S.; dos Santos Filho, R. F.; Riatto, V. B.; Dourado, G. A. A.; Quim. Nova 2013, 36, 190. DOI: http://dx.doi.org/10.1590/S0100-40422013000100032

29. Delizoicov, D.; Angotti, J. A.; Metodologia do ensino de Ciências, 2a ed., Cortez: Sao Paulo, 1994.

30. Delizoicov, D.; Angotti, J. A.; Pernambuco, M. M.; Ensino de Ciências: fundamentos e métodos, Cortez: Sao Paulo, 2007.

31. Pereira, S. A.; Pires, X. D.; Investigaçao em Ensino de Ciências 2012, 17, 385.

32. Barros, C. J. P.; Freitas, J. J. R.; Freitas Filho, J. R.; Oliveira, R. N.; J. Chil. Chem. Soc. 2011, 56, 721. DOI: http://dx.doi.org/10.4067/S0717-97072011000200022

33. Tiemann, F.; Ber. Dtsch. Chem. Ges. 1884, 17, 126. DOI: http://dx.doi.org/10.1002/cber.18840170130

34. Tiemann, F.; Krüger, P.; Ber. Dtsch. Chem. Ges. 1884, 17, 1685. DOI: http://dx.doi.org/10.1002/cber.18840170230

35. Clayden, J. Greeves, N. Warren, S. Wothers, P.; Organic Chemistry, Oxford University Press Inc.: New York, 2001.

36. Maftei, C. V.; Fodor, E.; Jones, P. J.; Franz, M. H.; Kelter, G.; Fiebig, H.; Ion Neda, I.; Beilstein J. Org. Chem. 2013, 9, 2202.

On-line version ISSN 1678-7064 Printed version ISSN 0100-4042
Qu�mica Nova
Publica��es da Sociedade Brasileira de Qu�mica
Caixa Postal: 26037 05513-970 S�o Paulo - SP
Tel/Fax: +55.11.3032.2299/+55.11.3814.3602
Free access

GN1