JBCS



5:11, dom nov 2

Acesso Aberto/TP



Artigo


Complexos de inclusão binários, ternários e quaternários contendo óleo essencial de Lippia sidoides
Binary, ternary and quaternary inclusion complexes containing Lippia sidoides essential oil

Cláudia R. F. Souza; Patrícia N. Ferraz-Freitas; Wanderley P. Oliveira*

Departamento de Ciências Farmacêuticas, Faculdade de Ciências Farmacêuticas de Ribeirão Preto, Universidade de São Paulo, Av do Café, s/n - Bloco Q - LAPROFAR, Bairro Monte Alegre, 14040-903 Ribeirão Preto - SP, Brasil

Recebido em 08/03/2016
Aceito em 08/04/2016
Publicado na web em 10/06/2016

Endereço para correspondência

*e-mail: wpoliv@fcfrp.usp.br

RESUMO

The aim of this work was the production and characterization of binary, ternary and quaternary complexes based on β-cyclodextrin (β-CD) and Lippia sidoides essential oil (EO). OE:β-CD formulations at proportions of 1:10 to 2:10 (binary); added with surfactant or polymer (ternary) or with both (quaternary) were prepared and submitted to spray drying at optimized operating conditions (inlet gas temperature: 160 °C, drying gas flow rate: 60 m3/h; feed flow rate: 4 g/min; pressure and flow rate of the atomizing air: 2.5 kgf/cm2 and 17 lpm). The responses evaluated were the encapsulation efficiency (EE), powder properties, product morphology, and process efficiency (REC). The results showed that the addition of polymer and surfactant to β-CD, generating ternary and quaternary complexes improved the encapsulation efficiency, drying yield, and modify the particles morphology. Samples with lower EO: β-CD ratio (1:10) showed high encapsulation efficiency.

Palavras-chave: inclusion complex, Lippia sidoides, essential oil, spray drying.

INTRODUÇAO

Lippia sidoides popularmente conhecida como alecrim pimenta ou estrepa cavalo, é uma espécie vegetal com comprovadas propriedades fungicidas, bactericidas e larvicidas, devido ao elevador teor de óleo essencial ricos em timol e carvacrol (Figura 1).1 O óleo essencial extraído desta espécie é amplamente utilizado na medicina tradicional, como agente antisséptico e anti-infeccioso, principalmente no tratamento de afecçoes da boca, garganta, gastrenterite, pele e do couro cabeludo, como antifúngica, repelente de insetos, anti-hipertensiva e antiespasmódica.2,3

 


Figura 1. Estrutura química dos principais componentes do OE de Lippia sidoides

 

Atualmente, produtos derivados de plantas vêm sendo amplamente explorado pelas indústrias farmacêutica, cosmética, alimentícia e veterinária. A diversidade de compostos vegetais e seus efeitos biológicos comprovados têm contribuído fortemente para o crescente interesse em produtos derivados de plantas. Em geral, a atividade biológica destes produtos está associada à presença de compostos denominados de fitoquímicos, que sao metabólitos secundários sintetizados pelas plantas, sendo classificados em diversas classes, como por exemplo, os carotenoides, alcaloides, polifenóis, terpenos, esteróis, saponinas, compostos contendo nitrogênio e enxofre.4

Neste sentido, se destacam os óleos essenciais (OE), que sao misturas químicas complexas, compostas por monoterpenos, triterpenos e sesquiterpenos.5,6 Sao compostos voláteis e odoríferos sensíveis à luz, calor e oxigênio, e produzidos a partir do metabolismo secundário de plantas. Possuem comprovadas propriedades antimicrobianas, inseticida, antiviral e antioxidante. Assim, apesar do grande potencial de aplicaçao tecnológica dos óleos essenciais, eles apresentam diversas limitaçoes, como por exemplo, complexidade química, elevada volatilidade, susceptibilidade à degradaçao e propensao à oxidaçao, insolubilidade em sistemas aquosos e em geral, baixa biodisponibilidade, que dificultam seu emprego direto em produtos mais elaborados.

Dentre as tecnologias propostas para modificar propriedades físicas e químicas dos OE, destaca-se a microencapsulaçao. A microencapsulaçao é muito usada para solucionar problemas com substâncias voláteis ou que possuem sabor e/ou odor desagradável, por aumentar a estabilidade destes em condiçoes adversas, como na presença de luz, oxigênio, calor e pH extremos, mascarar odor e sabor desagradáveis e reduzir a volatilidade.7 Esta técnica consiste no revestimento ou aprisionamento de um material ou mistura de materiais em outro material ou sistema.

Uma forma muito empregada de encapsulaçao de OE e aromas é a formaçao de complexos de inclusao com β-ciclodextrina. As ciclodextrinas (CDs) sao excipientes constituídos por unidades de D-glucopiranose que quando unidas formam uma estrutura cíclica. As CDs podem conter 6, 7 ou 8 unidades de glicose, sendo denominadas de α-CD, β-CD e γ-CD respectivamente (Figura 2), sendo que a ciclodextrina mais usada e estudada é a β-CD. Uma excelente revisao histórica sobre a utilizaçao das ciclodextrinas desde seu descobrimento até os dias atuais encontra-se em Loftsson e Duchêne.8

 


Figura 2. Estrutura química da α, β e γ-ciclodextrina respectivamente

 

Devido à sua estrutura tronco-cônica, formada por moléculas de D-glicose, as ciclodextrinas possuem capacidade de complexaçao molecular através da substituiçao das moléculas de água encontradas no meio e no interior da cavidade, que possuem elevada entalpia, por moléculas hóspedes com características hidrofóbicas. Trata-se de um processo energeticamente viável por promover uma alteraçao favorável de entalpia, aumento de entropia e reduçao da energia total do sistema, fatores que contribuem para o aumento da estabilidade do complexo formado. Interaçoes eletrostáticas de Van der Waals, interaçoes hidrofóbicas e ligaçoes de hidrogênio também contribuem para formaçao e estabilizaçao dos complexos de inclusao.9

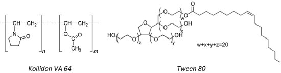
Por serem capazes de interagir com uma grande variedade de moléculas hóspedes e conferir propriedades multifuncionais a alimentos e insumos farmacêuticos, as CDs têm sido utilizadas como carreadores de inclusao molecular melhorando a solubilidade e estabilidade de ingredientes sensíveis como aromas e óleos essenciais. A principal propriedade das CDs é a capacidade de alterar as características físico-químicas de compostos com baixa solubilidade por meio da formaçao de complexos de inclusao.10 Em determinadas situaçoes, a eficiência da complexaçao é baixa, inviabilizando o processo, problema que pode ser contornado pela adiçao de polímeros e/ou tensoativos gerando complexos multicomponentes, técnica que provoca um efeito sinérgico. Quando se adiciona um polímero ou tensoativo na soluçao de CD, obtêm-se complexos ternários; quando se adiciona ambos, sao obtidos complexos quaternários.10,11 A adiçao de polímeros e tensoativos aos complexos de inclusoes resultam em um aumento da solubilidade e/ou da taxa de dissoluçao do composto ativo a ser complexado requerendo menores quantidades de CD para formaçao do complexo. Para a avaliaçao do efeito sinérgico entre CD, polímero e tensoativo, na eficiência de formaçao de complexos binários, ternários e quaternários, utilizou-se neste estudo o kollidon VA 64 (polímero solúvel em água) e o tween 80 (tensoativo) cujas estruturas químicas estao apresentadas na Figura 3. O kollidon VA 64 (Copolímero de 1-vinil-2-pirrolidona e vinil acetato) é muito empregado na indústria farmacêutica como agente formador de filme, granulante, aglutinante e incrementador de dissoluçao. O tween 80 (polissorbato 80) é um tensoativo nao-iônico, estabilizante, agente molhante e solubilizante muito empregado na obtençao de emulsoes tipo óleo em água (O/A). Tem sido empregado com sucesso na formaçao de complexos de inclusao ternários (fármaco/CD/tensoativo) visando aumento da eficiência de complexaçao do fármaco com reduçao das quantidades requeridas de CD para formaçao do complexo, resultando em reduçao de efeitos tóxicos e diminuiçao de custos associados com as ciclodextrinas.12

 


Figura 3. Estrutura química do polímero (kollidon VA 64) e do tensoativo (tween 80) utilizados para compor os sistemas de inclusao ternário e quaternário avaliados

 

O objetivo deste trabalho foi a obtençao e avaliaçao de complexos de inclusao binários, ternários e quaternários, com polímeros e/ou tensoativos, contendo OE de Lippia sidoides, empregando-se o processo spray drying.

 

MATERIAIS E MÉTODOS

Materiais

Matéria prima vegetal: Oleo essencial de Lippia sidoides obtido por destilaçao por arraste a vapor a partir das folhas secas e moídas, adquiridos da PRONAT Produtos Naturais Ltda, Fortaleza, Ceará.

Material de parede: Cawamax® W7 (β-ciclodextrina) - Wacker Chemie.

Adjuvantes: Kollidon® VA 64 fine (Copolímero de 1-vinil-2-pirrolidona e vinil acetato) - BASF; Tween®80 (polissorbato 80) - LabSynth.

Secador: As amostras foram submetidas à secagem em um spray dryer de bancada modelo SD-05 (Lab-Plant, Huddersfield, UK), operando em regime concorrente.

Obtençao dos complexos de inclusao

Preparaçao dos complexos de inclusao

Foram preparados complexos de inclusao binários (CB), ternários (CT) e quaternários (CQ), nas proporçoes de óleo essencial (OE):β-ciclodextrina (β-CD) 2:10 e 1:10 (p/p). Para os CB adicionou-se β-CD em 50 mL de água. Para os CT adicionou-se à mistura inicial o polímero (Kollidon® VA 64 fine) ou o tensoativo (Tween®80) e para os CQ adicionou-se polímero e tensoativo (Tabela 1). As formulaçoes foram homogeneizadas em processador ultrassônico (Sonics VC750) usando sonda de 13 mm em potência de 90% por 20 minutos e em seguida foram mantidas em agitador orbital por 8 horas para hidrataçao dos materiais de complexaçao. Após, adicionou-se OE de Lippia sidoides homogeneizando em processador ultrassônico por 5 minutos em potência de 90% (sonda de 13 mm), formando uma emulsao que permaneceu em repouso over night para que ocorresse a complexaçao do OE na cavidade da β-CD.

 

 

Os complexos de inclusao obtidos foram submetidos á secagem em spray drying. Nas condiçoes de temperatura do ar de secagem de 160 ºC, vazao do ar de secagem 60 m3 h-1 e vazao de alimentaçao de suspensao 4 g min-1, alimentada a um atomizador tipo duplo fluido com mistura interna com pressao e vazao do ar de atomizaçao respectivamente de 2,5 kgf cm-2 e 17 lpm.

Rendimento do processo

A recuperaçao (REC) foi determinada por balanço de massa através da diferença entre a massa teórica de sólidos presentes na suspensao alimentada e a massa do produto seco obtido, sendo o resultado expresso em porcentagem.3

Caracterizaçao físico-química

Os complexos de inclusao β-CD:OE obtidos foram caracterizados quanto ao teor de umidade, atividade de água, solubilidade, distribuiçao granulométrica e tamanho médio de partícula, morfologia, densidade aparente e de compactaçao e eficiência de encapsulaçao.

Umidade residual (Xp)

A umidade residual foi avaliada através de titulador Karl Fischer (mod. 870KF Tritino plus Metrohm). Utilizou-se 100 mg de micropartículas para cada determinaçao. Os resultados foram expressos em forma de média (desvio padrao).

Atividade de água (aw)

A aw foi determinada em um medidor de atividade de água (AquaLab 4TEV Decagon Devices) à temperatura de 25 ºC, utilizando-se sensor de capacitância. As análises foram realizadas em triplicata e os resultados expressos por média (desvio padrao).

Solubilidade

A solubilidade foi determinada de acordo com método descrito por Tonon,13 com modificaçoes. 1 mg de amostra foi pesada e adicionada em 10 mL de água purificada, após esta suspensao ficou em agitador magnético por 30 minutos. A suspensao foi centrifugada a 3500 rpm, por 5 minutos. Pesou-se o sobrenadante em uma placa de petri, a qual foi levada à estufa a 105 ºC, até peso constante. A solubilidade foi calculada pela diferença de peso.

Distribuiçao granulométrica e tamanho de partícula

A distribuiçao granulométrica dos complexos de inclusao obtidos foi determinada por microscopia ótica e análise de imagens. Amostras do produto seco foram dispersas em uma lâmina de vidro. Imagens foram obtidas em um microscópio óptico Olympus mod. BX60MIV em aumento de 50 vezes, capturadas por uma câmara digital e analisadas em um software de análise de imagens (Image Pro-plus versao 7.0).14

Microscopia eletrônica de varredura (MEV)

A morfologia das partículas foi avaliada em microscópio eletrônico de varredura (Zeiss mod. EVO 50) com atmosfera a vácuo de 10-5 torr. As micrografias foram geradas no modo topográfico a 12 kv, com aumento de 200, 1000, 5000 e 10000 vezes.

Densidade aparente e de compactaçao

As densidades aparente (da) e de compactaçao (dc) foram determinadas a partir de compactador automático CALEVA, TDT 1-23. Realizou-se três determinaçoes de volume, com 10 batidas, 500 batidas e 1250 batidas usando o método I da farmacopeia americana, onde a amostra é submetida a um impacto de altura de 14 mm.

A partir de da e dc foram calculados o índice de Carr (Icarr) e a Razao de Hausner (IHausner). O Icarr (Equaçao 1), indica a capacidade de compactaçao e compressibilidade de um pó ou granulado, em forma percentual; sendo os valores entre 5 e 15% considerados com excelente capacidade de compactabilidade e compressibilidade.15

O valor do IHausner pode ser calculado pela Equaçao (2). Valores de IHausner menores que 1,25 indicam bom fluxo, valores maiores que 1,5 indicam fluxo ruim e valores entre 1,25 e 1,5 indicam a necessidade de adiçao de lubrificantes para melhorar o escoamento.15

Eficiência de encapsulaçao (EE)

Para quantificar o teor de OE encapsulado, foi realizado o método de hidrodestilaçao usando aparelho de Clevenger, conforme descrito em Reineccius et al.,16 com algumas modificaçoes. Em um balao de fundo redondo foi adicionado 5 g dos complexos CB, CT ou CQ, água destilada (120 mL) e esferas de vidro. O aparelho de Clevenger foi conectado ao balao, e o braço do aparelho foi condicionado com 10 mL de água. O sistema foi deixado em refluxo por 2 horas. A massa de OE foi utilizada para determinaçao da EE conforme Equaçao (3).

RESULTADOS E DISCUSSAO

Umidade residual (Xp)

A umidade residual foi determinada pela quantidade de água presente na amostra através do método direto baseado na reaçao quantitativa da água com soluçao volumétrica (reagente de Karl Fischer). Os produtos secos apresentam teor de umidade entre 4,40% e 5,48% (Tabela 2). Este resultado relaciona-se com as condiçoes de secagem (temperatura do ar de entrada e saída), que foram idênticas para todas as amostras. O uso de adjuvantes também pode influenciar nos valores de umidade residual,3 as diferenças observadas quando se compara os CB com CT e CQ (Tabela 2) nao apresentam significância estatística.

 

 

Atividade de água (aw)

A estabilidade de produtos secos tem relaçao direta com o valor da atividade de água (aw), que se relaciona com a água livre, disponível para reaçoes de degradaçao e crescimento microbiano. Os valores de aw encontrados neste presente trabalho estao representados na Tabela 2.

Resultados de aw entre 0,055 (PLS3) e 0,127 (PLS2) foram obtidos. Esses resultados sao similares aos reportados por Carneiro17, que investigou a microencapsulaçao de óleo de linhaça por spray drying com diferentes tipos de material de parede (maltodextrina, proteína de soro de leite, goma arábica, Capsul e HiCap 100) e encontrou valores de aw na faixa de 0,087 a 0,181, indicando que a água presente na amostra está fortemente ligada à partícula.

Segundo Valente e Söderman18, a formaçao dos complexos supramoleculares entre o sistema hóspede-hospedeiro envolvendo um composto anfifílico e uma ciclodextrina é conduzida por interaçoes nao covalentes, incluindo forças de Van der Waals, hidrofobicidade, interaçoes de transferência eletrostáticas e de carga, metal-ligante, ligaçao de hidrogênio e efeitos estéricos. A formaçao destes complexos de hóspede-hospedeiro permite o controle de automontagem baseado na anfifilicidade das moléculas hóspedes, resultando na auto-agregaçao de estruturas supramoleculares. Em soluçoes aquosas, a inclusao da molécula hóspede (desidratada) dentro da cavidade nao-polar da β-CD é acompanhada pela liberaçao de moléculas de água. Este processo é fortemente dependente das interaçoes entre a água-água e água-ciclodextrina que ocorre no interior da cavidade da ciclodextrina, e também de outros fatores, incluindo o tamanho, tanto da cavidade da ciclodextrina quanto da molécula hospede, bem como a estrutura (geometria) das moléculas hóspedeiras.

Desta forma, a água adsorvida pelo complexo OE:β-CD é menor que a água correspondente para a β-CD livre (0,6301 ± 0,002). Isso indica que a formaçao do complexo de inclusao entre a β-CD e um composto hidrofóbico (no caso, os componentes pesentes no óleo essencial de L. sidoides) involve o deslocamento de moléculas de água da cavidade da ciclodextrina para que as móleculas hóspedes (ex. timol e carvacrol) sejam incluida no interior da mesma. Comportamento similar foi descrito por Cevallos et al.19 para a encapsulaçao em β-ciclodextrina de cinamaldeido e timol presentes em óleo essencial de canela e tomilho.

Solubilidade

A solubilizaçao dos complexos de inclusao no meio aquoso é favorecida pelo estado amorfo das partículas obtidas pela secagem por spray drying que requer menor energia de solvataçao, pela proporçao e características dos carreadores utilizados e pelas características superficiais das partículas, como por exemplo, tamanho de partículas, morfologia, porosidade entre outras.

A solubilidade foi em média de 33%, com pouca variaçao (5%) entre os CB, CT e CQ, tanto entre as amostras 1:10 quantos nas 2:10 (Figura 4). A solubilidade foi superior nas amostras 1:10, com diferença máxima de 15% entre os CQ com maior e menor quantidade de OE. Entre as amostras 2:10, o CT contendo tensoativo (PSL2) apresentou maior solubilidade, comparativamente aos sistemas CB, CQ e CT contendo polímero. O polissorbato 80 (tween 80) como terceiro componente na preparaçao do complexo de inclusao OE:CD exerce um importante papel no incremento da taxa de solubilizaçao do complexo em meio aquoso o que ocasiona uma maior solubilidade dos ativos presentes no óleo essencial, em especial o timol e o carvacrol. Como consequência, um aumento na atividade biológica destes componentes é esperado.

 


Figura 4. Solubilidade percentual dos complexos de inclusao

 

Para os complexos de inclusao contendo a proporçao de OE: β-CD 1:10, o CQ apresentou maior solubilidade percentual, o que pode estar relacionado tanto ao menor teor de óleo essencial presente nesta preparaçao quanto ao sinergismo entre seus constituintes (polímero hidrossolúvel e tensoativo) responsáveis pelo aumento da molhabilidade e dispersao do pó em meio aquoso. Os resultados encontrados no presente trabalho sao semelhantes aos encontrados na literatura, onde os usos de adjuvantes aumentaram a capacidade de solubilidade dos complexos de inclusao.10,20

Formulaçoes contendo complexos de inclusao OE:β-CD com a adiçao de polímero hidrossolúvel provaram ser capazes de aumentar a biodisponibilidade das formulaçoes enquanto que sao responsáveis também pela reduçao da quantidade de ciclodextrina necessária para formaçao do complexo em até 80%.10 Na presença de água, o polímero ajuda na molhabilidade das partículas, resultando na aceleraçao do processo de dissoluçao e aumentando a quantidade de composto ativo liberado in vitro, assim como ocorre no caso da adiçao de tensoativos.

A interaçao entre os carreadores (β-ciclodextrina, tensoativo e polímero hidrossolúvel) e as moléculas bioativas (ex. timol e carvacrol presentes no óleo essencial de L. sidoides) podem ocorrer por meio de íon-íon, íon-dipolo, ligaçoes eletrostáticas dipolo-dipolo e forças de Van der Walls. Simultaneamente, a interaçao entre os complexos OE:β-CD, OE:β-CD-polímero, OE:β-CD-tensoativo e OE:β-CD-polímero/tensoativo se inicia na superfície externa da β-CD, onde estas moléculas formam complexos capazes de solubilizar moléculas hidrofóbicas. Vários tipos de interaçoes entre polímeros, tensoativos e complexo OE:β-CD podem ser estabelecidas como resultado da diferença estrutural e polaridade das moléculas de β-CD dando origem a várias eficiências de complexaçao, de acordo com esquema proposto na Figura 5. Em soluçao aquosa, o polímero atua estabilizando micelas e outros tipos de agregados, reduz a mobilidade da ciclodextrina e aumenta a solubilidade dos complexos pela mudança nas propriedades de hidrataçao das moléculas de ciclodextrina.

 


Figura 5. Representaçao dos vários tipos de interaçoes que possam ocorrer em sistemas de complexaçao multicomponentes contendo óleo essencial, β-ciclodextrina, tensoativo e polímero hidrossolúvel (Adaptado de Miranda et al.10)

 

Hirlekar et al.21 investigaram o uso de polímeros (PVP K-90 e PEG 4000) em complexos de inclusao contendo β-CD e irbesartana e observou que o uso dos polímeros nos CT quase duplicou a solubilidade do complexo em relaçao ao complexo binário.

Resultado semelhante foi encontrado por Ribeiro et al.,22 que investigou o uso de PVP e HPMC em complexos de inclusao contendo SEBβ-CD (sulfobutil eter β-ciclodextrina) e vimpocetina, onde o uso do polímero aumentou em até 1,8 vezes a capacidade de solubilidade do sistema particulado.

Distribuiçao granulométrica e tamanho de partícula

O produto seco apresentou distribuiçao granulométrica estreita, com tamanho médio das partículas entre 8,16 e 13,49 µm. O tamanho das partículas foi maior nas amostras contendo a relaçao OE:β-CD de 1:10 que nas proporçoes de 2:10 (Tabela 3). Resultado semelhante ao observado por Songkro,23 que observaram que em misturas físicas feitas com β-CD e óleo de citronela, quanto maior a proporçao de óleo, menor o tamanho da partícula.

 

 

Os CT e CQ nao apresentaram diferença de tamanho significativa quando comparados ao CB, aproximadamente 1 µm maior nas amostras 2:10, enquanto que nas amostras 1:10 os CB ficaram cerca de 2 µm menor (Tabela 3).

Os CT contendo polímero apresentaram maior tamanho de partícula (PLS3: 10,02 e PLS8: 13,49) em relaçao aos CT com tensoativo e CB, independente da proporçao de OE utilizada. Nas amostras 2:10, quando comparado os CT com os CQ, nao se observa diferença entre o tamanho médio das partículas, porém na amostra com menor teor de OE, os CT apresentaram tamanho ligeiramente superior que o CQ, 13,49 e 11,19 µm, respectivamente. A média geral do tamanho das partículas foi de 10,37 µm.

Densidade aparente e de compactaçao

A densidade aparente (da) e de compactaçao (dc) nao apresentaram diferença significativa entre os complexos de inclusao obtidos nas concentraçoes de 1:10 e 2:10 (OE:β-CD); sendo um pouco inferior (aproximadamente 0,1 g cm-3), nas amostras com proporçao OE:β-CD de 2:10. Como o Indice de Carr (Icarr) e a Razao de Hausner (IHausner) sao calculados a partir das densidades, esses valores nao variaram entre as amostras com maior e menor teor de OE.

A média da Razao de Hausner das amostras ficou em 1,62 e o Indice de Carr ficou em média 38,03% (Tabela 3), indicando que os pós obtidos apresentam propriedades de fluxo, compressibilidade e compactaçao ruins, sendo assim pouco viáveis para o uso direto em operaçoes de compressao (fabricaçao de comprimidos), por exemplo. Para melhorar a compactaçao e compressibilidade de um pó, é indicado o uso de lubrificantes (ex. estearato de magnésio).24

Microscopia eletrônica de varredura (MEV)

A Figura 6 apresenta as fotomicrografias obtidas por MEV para os sistemas microparticulados contendo óleo essencial de Lippia sidoides. O uso do polímero e/ou do tensoativo nos CT e CQ alterou de forma significativa a morfologia das partículas, deixando-as arredondadas, provavelmente devido à aglomeraçao de β-CD. Os CB, proporçao de OE:β-CD de 2:10 - PSL1 (Figura 6a) mantiveram a morfologia similar da β-CD pura (formato retangular e características mais cristalina, com pequenas partículas aderidas em sua superfície - Figura 6e [β-CDNAT]). Uma soluçao aquosa de β-CD foi submetida ao processo de secagem por spray drying visando avaliar o efeito da atomizaçao e secagem na morfologia das partículas (Figura 6e [β-CDSD]). Observa-se uma drástica mudança na morfologia das partículas secas, que passaram de lascas retangulares na β-CD in natura para formato mais arredondado após secagem por spray dryer (β-CDSD). A menor granulometria se deve ao uso da sonda de ultrassom. A intensa cavitaçao e cisalhamento sofrido pelas partículas de β-CD durante a homogeneizaçao em processador ultrassônico é capaz de reduzir de forma significante o tamanho das partículas e a movimentaçao da suspensao auxilia o OE a entrar na cavidade hidrofóbica da β-CD.

 


Figura 6. Micrografia dos complexos de inclusao: (A) CB; (B) CT; (C) CT; (D) CQ e (E) β-CD in natura e β-CD spray drying

 

O uso de tensoativo nos CT (PLS9) gerou partículas mais lisas, com a β-CD mais compacta (Figura 6b), enquanto os CT com polímero (PLS8) apresentaram morfologia arredondada, porém mais rugosa e menos compactada, sendo possível observar a aglomeraçao das β-CD (Figura 6c).

Os CQ (PSL11) apresentaram uma morfologia mais heterogênea (Figura 6d), com formas muito similares aos CT contendo polímero; entretanto também se pode observar partículas com o formato da β-CD pura (cristais com forma definida). Nos CQ se pode observar uma grande variaçao no tamanho das partículas quando observada as fotos com ampliaçao de 1000x.

Songkro23 observou que em razoes óleo de citronela:β-CD menores houve uma aglomeraçao dos complexos de inclusao, que diminuiu com a reduçao das proporçoes de OE de 1:1 para 1:2.

Eficiência de encapsulaçao

A eficiência de encapsulaçao (EE) indica a quantidade de OE que se ligou a β-CD. A Figura 7 mostra que os complexos binários (CB), ternários (CT) e quaternários (CQ) de concentraçao OE:β-CD (1:10) apresentaram maior EE que os sistemas com maior quantidade de óleo (2:10). Esse resultado é esperado, considerando-se que disponibilidade de moléculas hóspedes para moléculas hospedeiras diminuir com o incremento na proporçao de óleo essencial, o que faz com que o OE possua maior probabilidade de se ligar à β-CD, para formar o complexo de inclusao.

 


Figura 7. EE dos complexos de inclusao

 

Os CT com polímero e com tensoativo apresentaram maior eficiência de encapsulaçao do óleo essencial que os CB e CQ tanto na proporçao de 1:10 quanto na proporçao de 2:10, mostrando que o uso de adjuvante com a β-CD aumenta a eficiência de encapsulaçao em sistemas contendo β-ciclodextrina (Figura 7). Para as amostras com teor de óleo para β-CD de 1:10, os CQ encapsularam 10% mais OE que os CB, conforme mostrado na Figura 7. Isto indica que com o uso dos dois adjuvantes (polímero e tensoativo), também ocorre um aumento na capacidade de encapsulaçao dos complexos ainda que menor que os CT, tanto com polímero quanto com tensoativo.

Loftsson et al.25 analisaram CT contendo PVP e HPMC como adjuvantes em complexos de inclusao contendo β-CD e diferentes fármacos (acetazolamida, metazolamida e econazol) e observou que em todos os casos, o uso dos adjuvantes melhorou consideravelmente a incorporaçao da droga no complexo de inclusao.

Fernandes3 avaliou a microencapsulaçao de OE de Lippia sidoides em complexos de inclusao com β-CD por spray drying, em variadas condiçoes experimentais. A eficiência de encapsulaçao ficou em torno de 65%, quando foi utilizada uma razao OE:β-CD de 1:10. Os resultados obtidos com o uso do processador ultrassônico (método empregado neste trabalho), na mesma concentraçao (1:10), observou-se EE de 71,4%, em torno de 5% superior ao reportada por Fernandes.3

Paula e colaboradores26 avaliaram a obtençao de nanopartículas contendo óleo essencial de L. sidoides (Ls) utilizando como carreadores de encapsulaçao a goma angico (AG) e a quitosana (CH). Os autores avaliaram as proporçoes 1:10 e 1:20 (Ls:AG-CH) e constataram que o aumento na proporçao de carreadores nao alterou significativamente a eficiência de encapsulaçao que foi de 77,8% (1:10) e de 69,3% (1:20).

Recuperaçao do produto (REC)

A recuperaçao do produto foi expressa em porcentagem da massa recuperada pela massa alimentada ao secador (base seca). As amostras PLS7 a PLS11 (1:10) apresentaram média de recuperaçao maior que as amostras PL1 á PLS5 (2:10), 80,2 e 74,3% respectivamente.

Os CT contendo polímero apresentaram uma porcentagem de recuperaçao maior quando comparado aos CB e CQ, independente do teor de OE (Figura 8).

 


Figura 8. Recuperaçao dos complexos de inclusao durante secagem por spray drying

 

Os valores de recuperaçao de secagem deste trabalho (entre 62,7% e 87,8%), foram superiores aos reportados por Adamiec et al.,27 que obtiveram na melhor condiçao o valor de 70,6%, sendo o menor valor obtido foi 29,1%.

Os valores de recuperaçao obtidos foram em média 77%, resultado um pouco superior aos valores frequentemente encontrado na literatura. Souza14 obteve valores de recuperaçao de secagem da ordem de 64% durante a obtençao de extratos secos de Bauhinia forficata, enquanto que Costa-Silva28 obteve recuperaçao média de 65% durante a secagem da enzima lipase por spray drying.

A adiçao dos adjuvantes nos CT e CQ, melhorou de 10 a 20% a recuperaçao de secagem, respectivamente nas amostras 1:10 e 2:10.

Paula e colaboradores26 obtiveram porcentagens de recuperaçao em torno de 30 a 60% para nanoparticulas de quitosana e goma angico contendo óleo essencial de L. sidoides secas por spray drying.

Aparência das partículas obtidas por spray drying

Foram obtidas fotografias dos pós após o processo de secagem, visando registrar as características visuais dos sistemas particulados formados. A aparência macroscópica dos pós obtidos pelos CB, CT e CQ foram similares, independente da proporçao de OE como pode-se observar na Figura 9. Porém, apesar do aspecto visual semelhante, os produtos contendo maior proporçao de OE apresentaram aspecto sensorial oleoso, o que pode indicar presença de OE na superfície da partícula.

 


Figura 9. Fotografias dos sistemas microparticulados obtidos por spray drying

 

CONCLUSAO

Os resultados obtidos neste trabalho indicaram que a eficiência de encapsulaçao diminue cerca de 28% com o aumento da razao OE:β-CD de 1:10 para 2:10. Observou-se que a adiçao de adjuvantes (tensoativo e polímero) formando os complexos ternários e quaternários aumentou em até 10% o teor de óleo encapsulado. A adiçao desses adjuvantes também modificaram a morfologia das partículas, deixando-as mais arredondadas quando comparada com os complexos binários, que mantiveram a estrutura original da β-ciclodextrina, porém com tamanho reduzido, devido ao uso do processador ultrassônico. Os complexos ternários contendo polímero apresentaram maior recuperaçao de secagem atingindo o valor de 87% na amostra 1:10, elevado para secadores em escala laboratorial.

Os resultados apresentados neste trabalho permitem concluir que os complexos ternários (polímero ou tensoativo) apresentaram maior vantagem em relaçao aos parâmetros avaliados, como maior retençao de OE e maior eficiência de encapsulaçao.

 

AGRADECIMENTOS

Os autores agradecem a CAPES pela concessao de bolsa de estudos para P.N. Ferraz-Freitas e a FAPESP pelo auxílio financeiro a pesquisa (Procs. # 2011/10333-1; 2014/15905-1).

 

REFERENCIAS

1. Nunes, R. S.; Lira, A. M.; Ximenes, E; Silva, J. A.; Santana, D. P.; Scientia Plena 2005, 1, 182.

2. Pascual, M. E.; Slowing, K.; Carretero, E.; Mata, D. S.; Villar, A.; J. Ethnopharm. 2001, 76, 201. DOI: http://dx.doi.org/10.1016/S0378-8741(01)00234-3

3. Fernandes, L. P.; Tese de Doutorado, Universidade de Sao Paulo, Brasil, 2008.

4. Pietta, P.; Minoggio, M.; Bramati, L.; in: Studies in Natural Products Chemistry; Atta-ur-Rahman, ed.; Elsevier, 2003, cap. 7.

5. Matos, F. J. A.; Oliveira, F.; Rev. Bras. Farm. 1998, 70, 84.

6. Loza-Tavera, H.; Advances in Experimental Medicines and Biology 1999, 464, 49.

7. Müller, P. S.; Dissertaçao, Universidade Federal do Paraná, 2011.

8. Loftsson, T.; Duchêne, D.; Int. J. Pharm. 2007, 329, 1. DOI: http://dx.doi.org/10.1016/j.ijpharm.2006.10.044 PMID: 17137734

9. Alves, L. D. S.; Lyra, M. A. .; Rolim, L .A.; Presmich, G. M. A.; Rolim-Neto, P. J.; Rev Ciênc Farm Básica Apl. 2012, 33, 17.

10. Miranda, J. C.; Martins, T. E. A.; Veiga, F.; Ferraz, H. G.; Braz. J. Pharm. Sci. 2011, 47, 665. DOI: http://dx.doi.org/10.1590/S1984-82502011000400003

11. Taupitz, T.; Dressman, J. B.; Buchanan, C. M.; Klein, S.; Eur. J. Pharm. Biopharm. 2013, 83, 378. DOI: http://dx.doi.org/10.1016/j.ejpb.2012.11.003 PMID: 23201048

12. Chadha, R.; Bala, M.; Arora, P.; Jain, D. V. S.; Pissurlenkar, R. S.; Coutinho, E. C. Carbohydrate Polymers. 2014, 103, 300. DOI: http://dx.doi.org/10.1016/j.carbpol.2013.12.047

13. Tonon, R. V.; Tese de Doutorado, Universidade Estadual de Campinas, Brasil, 2009.

14. Souza, C. R. F.; Dissertaçao, Universidade de Sao Paulo, Brasil, 2003.

15. Alves, G. M. C.; Rolim L. A.; Rolim Neto P. J.; Leite A. C. L.; Brondani, D. J.; Quim. Nova 2008, 31, 413. DOI: http://dx.doi.org/10.1590/S0100-40422008000200039

16. Reineccius, T. A., Reineccius, G. A., Peppard, T. L.; J. Food Science 2004, 69, 58.

17. Carneiro, H. C. F.; Dissertaçao. Universidade Estadual de Campinas, Brasil, 2011.

18. Valente, A. J. M.; Söderman, O. Advances in Colloid and Interface Science 2014, 205, 156. DOI: http://dx.doi.org/10.1016/j.cis.2013.08.001 PMID: 24011696

19. Cevallos, P. A. P.; Buera, M. P.; Elizalde, B. E.; J. Food Eng. 2010, 99, 70. DOI: http://dx.doi.org/10.1016/j.jfoodeng.2010.01.039

20. Sherje, A.P.; Londhe, V.; J. Pharm. Innov. 2015, 10, 324. DOI: http://dx.doi.org/10.1007/s12247-015-9229-2

21. Hirlekar, R. S.; Sonawane, S. N.; Kadam, V. J.; AAPS PharmSciTech. 2009, 10, 858. DOI: http://dx.doi.org/10.1208/s12249-009-9274-6 PMID: 19562489

22. Ribeiro, L.; Loftsson, T.; Ferreira D.; Veiga. F.; Chem. Pharm. Bull. 2003, 51, 914. DOI: http://dx.doi.org/10.1248/cpb.51.914 PMID: 12913228

23. Songkro, S.; Hayook, N.; Jaisawang, J.; Maneenuan, D.; Chuchome, T.; Kaewnopparat, N.; J. Incl. Phenom. Macrocycl. Chem. 2012, 72, 339. DOI: http://dx.doi.org/10.1007/s10847-011-9985-7

24. Silva Júnior, N. P.; Dissertaçao. Universidade Estadual Paulista, Brasil, 2006.

25. Loftsson, T.; Fridriksdóttir, H.; Int. J. Pharm. 1998, 163, 115. DOI: http://dx.doi.org/10.1016/S0378-5173(97)00371-2

26. Paula, H. C. B.; Sombra, F. M.; Abreu, F. O. M. S.; Paula, R. C. M. J. Braz. Chem. Soc. 2010, 21, 2359. DOI: http://dx.doi.org/10.1590/S0103-50532010001200025

27. Adamiec, J.; Kalemba, D.; Drying Technol. 2006, 24, 1127. DOI: http://dx.doi.org/10.1080/07373930600778288

28. Costa-Silva, T. A.; Dissertaçao de mestrado, Universidade de Sao Paulo, Brasil, 2010.

On-line version ISSN 1678-7064 Printed version ISSN 0100-4042
Qu�mica Nova
Publica��es da Sociedade Brasileira de Qu�mica
Caixa Postal: 26037 05513-970 S�o Paulo - SP
Tel/Fax: +55.11.3032.2299/+55.11.3814.3602
Free access

GN1