JBCS



1:50, dom nov 16

Acesso Aberto/TP



Artigo

Sulfonic acid-functionalized LUS-1: an efficient catalyst for one-pot synthesis of 2,4-diamino pyrimidine-5-carbonitrile derivatives

Mahshid RahimifardI; Ghodsi Mohammadi ZiaraniI,*,#; Alireza BadieiII

IDepartment of Chemistry, Alzahra University, Vanak Square, Tehran, Iran
IISchool of Chemistry, College of Science, University of Tehran, Tehran, Iran

Recebido em 09/01/2016
Aceito em 06/04/2016
Publicado na web em 17/06/2016

Endereço para correspondência

*e-mail: gmziarani@hotmail.com
#alternative e-mail: gmohammadi@alzahra.ac.ir

RESUMO

An efficient acidic functionalization of mesoporous silica LUS-1 (Laval University Silica) and its application as a recyclable heterogeneous catalyst in the synthesis of 2,4-diamino pyrimidine-5-carbonitriles via condensation reaction of aromatic aldehydes, malononitrile and guanidine carbonate in solvent-free condition has been reported. This green method offers a number of advantages such as short reaction time, good yields, simple work-up procedure, recyclable catalyst and environmentally friendly conditions.

Palavras-chave: sulfonic acid functionalized LUS-1; 2,4-diamino pyrimidine-5-carbonitrile; guanidine carbonate; nanoporous heterogeneous acid catalyst; solvent-free condition.

INTRODUCTION

Mesoporous silica materials have recently received significant attention because of their potential applications as catalyst. Grafting organo-acidic groups (e.g., propyl sulfonic acid) to the pore walls of the mesoporous silica materials create various heterogeneous acid catalysts for a wide variety of organic reactions.1-6 The LUS-1 is an ordered mesoporous silica with high surface area (800 cm2 g-1), long range ordered pores (average pore diameter 2-3 nm) and hydrothermal stability,7 which has the potential to be used as a support material for heterogeneous catalysts. One of the most specific advantages of this material in comparison to other ordered mesoporous silica is different dispersion of hydroxyl groups on the silica surface that leads to higher hydrothermal stability. Furthermore, due to the presence of more SiOH groups on the silica surface, LUS-1 will be able to react with more surface modifying groups.8

Guanidine is a strongly alkaline and water-soluble compound that plays a key role in many biological activities. For example, guanidine affects on the neuromuscular transmission by modifying the release of acetylcholine from the motor nerve.9 Also in peptides, residue of arginine has a guanidine structure in the protonated form as guanidinium ion, which functions as an efficient identification moiety of anionic substrates such as carboxylate, nitronate, and phosphate functionalities.10 The guanidine groups specify chemical properties of many compounds of medical interest.11 For example, sulfadiazine, one of the essential medicines in World Health Organization list, is a sulfonamide antibiotic that contains guanidine substructure.12 Using guanidine and its salt as reagent in multicomponent reactions usually leads to the formation of amino pyrimidines, which are a very important class of therapeutic agents and exhibit a wide spectrum of biological activities, such as Tyrosine Kinase inhibitory,13 anti-bacterial, 14 antifolate,15 and antitumor activities.15 There are only few reports for the synthesis of 2,4-diamino pyrimidine-5-carbonitriles via multicomponent reactions of aldehydes, malononitrile and guanidine.16-21 However, many of these reported methods suffer from drawbacks such as long reaction times, formation of side products, multistep synthesis, the use of organic solvents, large amount of catalyst and catalysts that cannot be recycled. In continuation of our previous works on the application of heterogeneous solid catalysts in organic synthesis,22-31 herein, we would like to report a highly efficient method in the synthesis of 2,4-diamino pyrimidine-5-carbonitriles using LUS-Pr-SO3H under solvent-free conditions.

 

EXPERIMENTAL

Melting points were measured using the capillary tube method with an electro thermal 9200 apparatus. IR spectra were recorded from KBr disk using a FT-IR Bruker Tensor 27 instrument. The 1H NMR was run on a Bruker, 250 MHz. The 13C NMR was run on a Bruker, 62.9 MHz. Mass spectrometry (MS) analysis was performed on a model 5973 mass-selective detector (Agilent). The N2 adsorption/desorption measurements were conducted at liquid nitrogen temperature (77 K) using BELSORP-mini II. X-ray powder diffraction (XRD) patterns were obtained on a Philips X'PERT diffractometer using Cu Kα radiation at 40 kV and 40 mA. Scanning electron microscopy (SEM) was carried out on a LEO 1445V microscope. The TGA was carried out using a PL-Thermal science PL-STA 1500 instrument. Elemental analyses were performed on a Thermo Finnigan Flash EA 1112 series elemental analyzer.

Synthesis of LUS-1

Colloidal silica Ludox (15.5 g, 0.26 mol) was added to sodium hydroxide (2 g, 5×10-2 mol) in distilled water (50 mL) and the mixture was stirred at 70 ºC until a clear solution was obtained (about 24 h). A second solution of cetyltrimethylammonium p-toluene sulfonate (2.5 g, 5.5×10-3 mol) in distilled water (90 mL) was stirred at 40 ºC during 1 h. The first solution was added drop wise to the second one and then the mixture was stirred at 40 ºC for 2 h. The resulting sol-gel was heated at an autoclave at 130 ºC for 20 h. The surfactant was removed by treatment with HCl 0.1 mol L-1 in ethanol for 2 h. After filtration and washing with distilled water, the synthesized solid was dried under vacuum at 100 ºC.32

Functionalization of LUS-1

The mixture of (3-mercaptopropyl)trimethoxysilane (12 mL) and LUS-1 (10 g) in dry toluene, was refluxed for 24 h and then was filtered. The obtained LUS-Pr-SH was washed with acetone and dried. Then, LUS-Pr-SH (10 g) was oxidized with H2O2 (50 mL) and one drop of H2SO4 in methanol (10 mL) for 24 h at room temperature, then the mixture was filtered and washed with H2O and then acetone to obtain pure LUS-Pr-SO3H as catalyst.

General procedure for the synthesis of 2,4-diamino pyrimidine-5-carbonitrile derivatives

The sulfonic acid functionalized LUS-1 (0.02 g) was activated in vacuum at 100 ºC and then after cooling to room temperature, aromatic aldehyde 1 (1 mmol), malononitrile 2 (1 mmol) and guanidine carbonate 3 (0.5 mmol) were added to it. The mixture was heated (70 ºC) in solvent free condition for an appropriate time, as shown in Table 2, and the reaction was monitored by TLC. After the completion of the reaction, the mixture was dissolved in ethyl acetate and filtered to remove heterogeneous catalyst. Ethyl acetate solution was washed several times with water to remove unreacted guanidine carbonate. The ethyl acetate layer was dried with anhydrous magnesium carbonate and concentrated to afford the pure product.

 

 

 

 

The catalyst was washed with diluted acid solution, water and then acetone, dried under vacuum and reused for several times without loss of significant activity. The spectral data for all compounds are given below.

Spectroscopic data

2,4-Diamino-6-(4-chlorophenyl)pyrimidine-5-carbonitrile (4a): 1H-NMR (300 MHz, DMSO-d6): δ = 7.15-7.76 (m, 8H, 4CH arom & 2NH2) ppm;21 13C-NMR (75 MHz, DMSO-d6): δ = 76.15, 117.23, 128.52, 131.04, 135.51, 136.72, 163.30, 165.28,168.65 ppm;21 MS (E. I.) (70 eV): m/z (%) 247 (18) (M+2)+, 245 (55) (M+), 203 (25), 75 (25), 43 (100), 28 (58); IR (KBr): υmax = 3506, 3428, 3374, 3145, 2205, 1685, 1617, 1582, 1549, 1490, 1448, 1416, 1276, 1225, 1179, 1145, 1093, 1044, 1014, 873, 836, 791, 711, 646, 598, 531, 481 cm-1.

2,4-Diamino-6-(phenyl)pyrimidine-5-carbonitrile (4b): 1H-NMR (300 MHz, DMSO-d6): δ = 7.12 (brs, 4H, 2NH2), 7.53-7.76 (m, 5H, 5CH arom) ppm;21 13C-NMR (75 MHz, DMSO-d6): δ = 79.21, 116.25, 128.03, 128.56, 130.72, 136.18, 162.87, 164.92, 169.05 ppm;21 IR (KBr): υmax = 3509, 3424, 3377, 3153, 2204, 1735, 1674, 1611, 1544, 1490, 1453, 1431, 1276, 1225, 1182, 1143, 1078, 1043, 886, 803, 776, 736, 700, 587, 539, 502 cm-1.

2,4-Diamino-6-p-tolylpyrimidine-5-carbonitrile (4c): 1H-NMR (300 MHz, DMSO-d6): δ = 2.41 (s, 3H, CH3), 7.09-7.85 (m, 8H, 4CH arom & 2NH2) ppm;21 13C-NMR (75 MHz, DMSO-d6): δ = 21.93, 80.73, 118.57, 128.59, 130.62, 134.80, 140.53, 163.45, 165.56, 169.67 ppm;21 MS (E. I.) (70 eV): m/z (%) 226 (7) (M+1)+, 225 (40) (M+), 183 (20), 155 (20), 116 (18), 89 (22), 65 (25), 43 (100), 28 (46); IR (KBr): υmax = 3428, 3377, 3349, 3165, 2203, 1715, 1634, 1541, 1444, 1409, 1371, 1274, 1186, 1114, 1039, 889, 831, 794, 613, 568, 485 cm-1.

2,4-Diamino-6-(4-methoxyphenyl)pyrimidine-5-carbonitrile (4d): 1H-NMR (300 MHz, DMSO-d6): δ = 3.70 (s, 3H, OCH3), 6.94-7.78 (m, 8H, 4CH arom & 2NH2) ppm;21 13C-NMR (75 MHz, DMSO-d6): δ = 55.31, 75.21, 113.51, 118.32, 129.33, 129.85, 160.94, 162.94, 165.21, 168.56 ppm;21 MS (E. I.) (70 eV): m/z (%) 242 (5) (M+1)+, 241 (38) (M+), 199 (12), 66 (12), 43 (100), 28 (32); IR (KBr): υmax = 3424, 3380, 3147, 2837, 2203, 1675, 1609, 1584, 1547, 1515, 1493, 1444, 1412, 1303, 1257, 1170, 1116, 1024, 890, 841, 796, 745, 673, 574, 530, 495 cm-1.

2,4-Diamino-6-(3-methoxyphenyl)pyrimidine-5-carbonitrile (4e): 1H-NMR (250 MHz, DMSO-d6): δ = 3.77 (s, 3H, OCH3), 7.04-7.41 (m, 6H, 4CH arom & 1NH2), 7.50-8.28 (brs, 2H, NH2) ppm; 13C-NMR (62.9 MHz, DMSO-d6): δ = 55.64, 76.45, 113.94, 116.38, 118.34, 120.86, 129.78, 138.89, 159.33, 163.40, 165.47, 169.63 ppm; MS (E. I.) (70 eV): m/z (%) 242 (11) (M+1)+, 241 (22) (M+), 226 (14), 198 (15), 127 (12), 69 (30), 57(42), 43 (100); IR (KBr): υmax = 3424, 3360, 3141, 2918, 2648, 2199, 1678, 1630, 1560, 1509, 1447, 1426, 1401, 1291, 1243, 1142, 1054, 929, 872, 795, 780 cm-1. Anal. calcd. for C12H11N5O: C, 59.74; H, 4.60; N, 29.03 %. Found: C, 59.69; H, 4.57; N, 29.11 %.

2,4-Diamino-6-(4-fluorophenyl)pyrimidine-5-carbonitrile (4f): 1H -NMR (300 MHz, DMSO-d6): δ = 7.05-7.85 (m, 7H, 3CH arom & 2NH2) ppm;21 13C-NMR (75 MHz, DMSO-d6): δ = 75.84, 115.07, 115.36, 117.92, 130.57, 133.61, 162.96, 165.02, 168.31 ppm;21 IR (KBr): υmax = 3509, 3426, 3380, 3148, 2812. 2686, 2205, 1685, 1617, 1547, 1515, 1450, 1414, 1300, 1278, 1238, 1158, 1102, 1044, 1016, 892, 841, 807, 792, 741, 708, 647, 626, 568, 533, 515, 478 cm-1.

2,4-Diamino-6-(naphthalen-1-yl)pyrimidine-5-carbonitrile (4g): 1H-NMR (250 MHz, DMSO-d6): δ = 7.04 (brs, 2H, 1NH2), 7.18 (brs, 2H, 1NH2), 7.50-7.60 (m, 4H, 4CH arom), 7.76 (d, 1H, J=7.5 Hz, 1CH arom), 7.96-8.02 (m, 2H, 2CH arom) ppm; 13C-NMR (62.9 MHz, DMSO-d6): δ = 79.89, 117.56, 125.550, 126.62, 127.07, 128.68, 129.76, 130.36, 133.47, 135.69, 140.06, 163.32, 164.86, 171.26 ppm; MS (E. I.) (70 eV): m/z (%) 262 (12) (M+1)+, 261 (33) (M+), 217 (35), 191 (22), 126 (14), 43 (100); IR (KBr): υmax = 3568, 3428, 3327, 3140, 2205, 1639, 1533, 1454, 1419, 1374, 1277, 1235, 1087, 1034, 892, 795, 776, 711, 544 cm-1. Anal. calcd. for C12H11N5O: C, 68.95; H, 4.24; N, 26.80 %. Found: C, 68.65; H, 4.21; N, 26.92 %.

2,4-Diamino-6-(furan-2-yl)pyrimidine-5-carbonitrile (4h): 1H-NMR (300 MHz, DMSO-d6): δ = 6.71-7.93 (m, 7H, 3CH arom & 2NH2) ppm;21 13C-NMR (75 MHz, DMSO-d6): δ = 72.51, 112.28, 114.16, 117.43, 145.57, 150.15, 157.22, 162.96, 165.02 ppm;21 IR (KBr): υmax = 3363, 3143, 2205, 1626, 1533, 1501, 1477, 1451, 1288, 1146, 1087, 1013, 942, 884, 838, 788, 747, 594, 528 cm-1.

2,4-Diamino-6-(3,4-dimethoxyphenyl)pyrimidine-5-carbonitrile (4i): 1H NMR (300 MHz, CDCl3): δ = 2.2 (brs, 2H, NH2), 3.8 (s, 3H, OCH3), 3.9 (s, 3H, OCH3), 6.75-7.00 (dd, 2H, 2CH arom), 7.43-7.49 (m, 2H, CH arom), 9.9 (s, 2H, NH2) ppm;20 13C-NMR (75 MHz, CDCl3): δ = 19.30, 25.40, 56.01, 67.00, 109.30, 110.50, 121.30, 126.90, 135.00, 144.80, 149.20, 154.60, 170.60 ppm;20 IR (KBr): υmax = 3509, 3424, 3379, 3148, 2966, 2937, 2838, 2202, 1675, 1610, 1548, 1515, 1444, 1410, 1303, 1255, 1174, 1115, 1024, 889, 840, 794, 743, 674, 652, 619, 573, 532, 494 cm-1.

 

RESULTS AND DISCUSSION

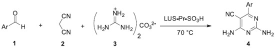
The synthesis of 2,4-diamino pyrimidine-5-carbonitrile 4 were achieved via the three component condensation reaction of aromatic aldehydes 1, malononitrile 2 and guanidine carbonate 3 using LUS-Pr-SO3H as a heterogeneous acid catalyst (Scheme 1). As previously reported in Introduction section, all reported literature used basic catalysts for synthesis of these compound, so we first studied a reaction of 4-chlorobenzaldehyde in the presence of LUS-Pr-NH2 at 70 ºC (Table 1, entry 1). We also studied catalyst free system in the same condition to screen the presence of basic catalyst. As shown in Table 1, entry 2, the presence of basic LUS did not strongly affect the reaction yield and time. Because of this reason, we then studied the reaction in the presence of LUS-Pr-SO3H in the same condition. As shown in Table 1, entry 3, the acidic catalyst exhibits good activity for synthesis of 2,4-diamino pyrimidine-5-carbonitriles. In order to determine the optimized conditions, we examined the influence of different conditions as shown results in Table 1, entries 4-7. Among the tested conditions the best result was obtained after 3 min at 70 ºC in the presence of LUS-Pr-SO3H in solvent-free condition.

 


Scheme 1. Synthesis of 2,4-diamino pyrimidine-5-carbonitriles 4 in the presence of LUS-Pr-SO3H

 

After optimizing the reaction conditions, we next developed the best condition for the synthesis of other derivatives using several aromatic aldehydes, as shown results in Table 2. By these conditions, the reactions were carried out easily to produce 2,4-diamino pyrimidine-5-carbonitriles in good yields. This methodology has the ability to tolerate a variety of functional groups such as methyl, methoxy and halides under the reaction conditions. For all substrates, the reaction could be completed in 1-7 min with high yields. After the completion of the reaction, the mixture was dissolved in ethyl acetate and filtered to remove heterogeneous catalyst. Ethyl acetate solution was washed several times with water to remove unreacted guanidine carbonate. The ethyl acetate layer was dried with anhydrous magnesium carbonate and concentrated to afford the pure product. The products were characterized by melting points, 1H NMR, 13C NMR, MS and IR spectroscopic analyses. Melting points are compared with reported values in literature as shown in Table 2.

The acid catalyst can be reactivated by simple washing subsequently with diluted acid solution, water and acetone, and then reused without noticeable loss of reactivity. The reusability of the catalyst was investigated under optimized conditions for the synthesis of the model compound 4a. As shown in Figure 1, the recycling process was completed four times with no significant decrease in the activity of the catalyst. The yields for the four runs were found to be 81, 78, 75, and 74%, respectively.

 


Figure 1. Reusability of LUS-Pr-SO3H in the synthesis of compound 4a

 

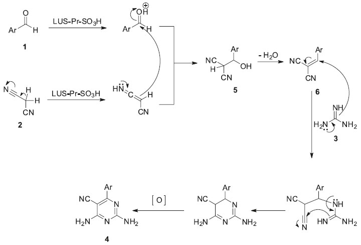
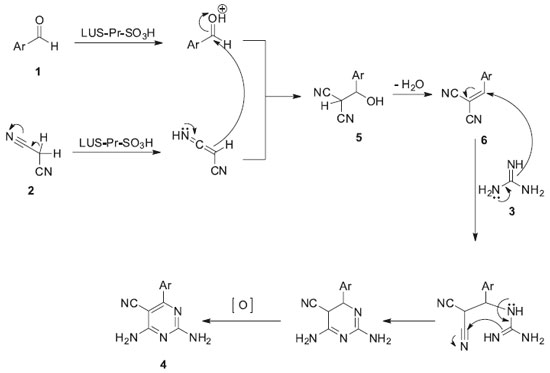
In these processes, LUS-Pr-SO3H plays an important role in the acceleration of reaction. A suggested mechanism for this transformation is proposed in Scheme 2. LUS-Pr-SO3H acts as a source of H+, which can protonate the carbonyl group of aldehyde and also tautomerize malononitrile. In this reaction, intermediate 5 is formed through the Knoevenagel reaction between malononitrile and aldehyde, and subsequently olefin 6 is produced by dehydration. Subsequent condensation of the guanidine 3 and olefin 6 followed by cyclization and oxidation affords the corresponding products 4 (a-i). The high yields of reactions are attributed to the effect of nano pore of solid acid catalyst, which could act as nano-reactor.

 


Scheme 2. Proposed mechanism for the synthesis of 2,4-diamino pyrimidine-5-carbonitriles 4

 

The synthesis of 2,4-diamino pyrimidine-5-carbonitriles have been studied with several conditions in literature as shown in Table 3. In comparison with other existing methods, the present methodology offers several advantages such as short reaction times, green and reusable catalyst, simple procedure, good yields, simple work-up and solvent-free conditions.

 

 

Synthesis and functionalization of LUS-1

The mesoporous compound LUS-1 was prepared and functionalized according to a previously reported method.31 As shown in Figure 2, a solution of cetyltrimethylammonium p-toluene sulfonate was added to a mixture of colloidal silica Ludox and sodium hydroxide solution. The LUS-1 was isolated after heating, filtering and removing the surfactant from solid product.

 


Figure 2. Synthesis of LUS-1

 

Prepared LUS-1 was functionalized with (3-mercaptopropyl)trimethoxy silane and then, the thiol groups were oxidized to sulfonic acid by hydrogen peroxide (Figure 3).

 


Figure 3. Preparation of LUS-Pr-SO3H

 

The catalyst was analyzed by different methods such as TGA, XRD, BET and SEM methods which have confirmed that propyl sulfonic acid groups were immobilized into the pores.31 Figure 4 illustrates XRD pattern (Figure 4, left) and N2 adsorption-desorption isotherms (Figure 4, right) of LUS-1 and LUS-Pr-SO3H. The XRD pattern of LUS-1 and LUS-Pr-SO3H exhibits that grafting of organic group did not affect the structural nature of LUS-1 and volumetric analyses shows "Type IV" N2 adsorption-desorption isotherms with "H1-type" hysteresis which are characteristic of periodic mesoporous materials.

 


Figure 4. X-ray diffraction pattern (left) and nitrogen adsorption-desorption isotherms (right) for LUS-1 and LUS-Pr-SO3H

 

SEM images of both LUS and LUS-Pr-SO3H shows the same morphology, it means the morphology of solid didn't change during the surface modifications (Figure 5).

 


Figure 5. SEM images of LUS-1 and LUS-Pr-SO3H

 

CONCLUSION

In conclusion, we have established LUS-Pr-SO3H as an efficient and recyclable heterogeneous acid catalyst for the synthesis of 2,4-diamino pyrimidine-5-carbonitrile derivatives. The current method does not involve any hazardous organic solvents and the short reaction times and simplicity of the procedure provide significant improvements in comparison to other existing methods.

 

ACKNOWLEDGMENTS

We gratefully acknowledge the financial support from the Research Council of Alzahra University and the University of Tehran.

 

REFERENCES

1. Van Rhijn, W. M.; De Vos, D. E.; Sels, B. F.; Bossaert, W. D.; Jacobs, P. A.; Chem. Commun. 1998, 317. DOI: http://dx.doi.org/10.1039/a707462j

2. Das, B.; Venkateswarlu, K.; Holla, H.; Krishnaiah, M.; J. Mol. Catal. A: Chem. 2006, 253, 107. DOI: http://dx.doi.org/10.1016/j.molcata.2006.03.011

3. Onaka, M.; Hashimoto, N.; Kitabata, Y.; Yamasaki, R.; Appl. Catal. A-Gen. 2003, 241, 307. DOI: http://dx.doi.org/10.1016/S0926-860X(02)00495-7

4. Kureshy, R. I.; Ahmad, I.; Pathak, K.; Khan, N. H.; Abdi; S. H. R.; Jasra, R. V.; Catal. Commun. 2009, 10, 572. DOI: http://dx.doi.org/10.1016/j.catcom.2008.10.035

5. Karimi, B.; Zareyee, D.; Org. Lett. 2008, 10, 3989. DOI: http://dx.doi.org/10.1021/ol8013107 PMID: 18702496

6. Mohammadi Ziarani, G.; Lashgari, N.; Badiei; A.; J. Mol. Catal. A: Chem. 2015, 397, 166. DOI: http://dx.doi.org/10.1016/j.molcata.2014.10.009

7. Bonneviot, L.; Morin, M.; Badiei; US patent 0133868 2003.

8. Reinert, P.; Garcia, B.; Morin, C.; Badiei, A.; Perriat, P.; Tillement, O.; Bonneviot, L.; Cationic tern plating with organic counterion for superstable mesoporous silica; Elsevier, 2003; Vol. 146.

9. Gundersen, C. B.; Jenden, D. J.; Br. J. Pharmacol. 1981, 72, 461. DOI: http://dx.doi.org/10.1111/j.1476-5381.1981.tb10997.x PMID: 6789919

10. Kamenskaya, M. A.; Elmqvist, D.; Thesleff, S.; Arch. Neurol. 1975, 32, 510. DOI: http://dx.doi.org/10.1001/archneur.1975.00490500030002 PMID: 168841

11. Wyss, P. C.; Gerber, P.; Hartman, P. G.; Hubschwerlen, C.; Locher, H.; Marty, H.-P.; Stahl, M.; J. Med. Chem. 2003, 46, 2304. DOI: http://dx.doi.org/10.1021/jm020495y PMID: 12773035

12. Petersen, E.; Schmidt, D. R.; Expert Rev. Anti-infect. Ther. 2003, 1, 175. DOI: http://dx.doi.org/10.1586/14787210.1.1.175 PMID: 15482110

13. Boschelli, D. H.; Wu, Z.; Klutchko, S. R.; Showalter, H. D. H.; Hamby, J. M.; Lu, G. H.; Major, T. C.; Dahring, T. K.; Batley, B.; Panek, R. L.; Keiser, J.; Hartl, B. G.; Kraker, A. J.; Klohs, W. D.; Roberts, B. J.; Patmore, S.; Elliott, W. L.; Steinkampf, R.; Bradford, L. A.; Hallak, H.; Doherty, A. M.; J. Med. Chem. 1998, 41, 4365. DOI: http://dx.doi.org/10.1021/jm980398y PMID: 9784112

14. Deshmukh, M. B.; Salunkhe, S. M.; Patil, D. R.; Anbhule, P. V.; Eur. J. Med. Chem. 2009, 44, 2651. DOI: http://dx.doi.org/10.1016/j.ejmech.2008.10.018 PMID: 19036478

15. Gangjee, A.; Vidwans, A.; Elzein, E.; McGuire, J. J.; Queener, S. F.; Kisliuk, R. L.; J. Med. Chem. 2001, 44, 1993. DOI: http://dx.doi.org/10.1021/jm0100382 PMID: 11384244

16. Rong, L.; Han, H.; Gao, L.; Dai, Y.; Cao, M.; Tu, S.; Synth. Commun. 2010, 40, 504. DOI: http://dx.doi.org/10.1080/00397910902987784

17. Sheibani, H.; Saljoogi, A. S.; Bazgir, A.; Arkivoc 2008, 2, 115.

18. Sheibani, H.; Seifi, M.; Bazgir, A.; Synth. Commun. 2009, 39, 1055. DOI: http://dx.doi.org/10.1080/00397910802474982

19. Tominaga, Y.; Matsuoka, Y.; Oniyama, Y.; Uchimura, Y.; Komiya, H.; Hirayama, M.; Kohra, S.; Hosomi, A.; J. Heterocycl. Chem. 1990, 27, 647. DOI: http://dx.doi.org/10.1002/jhet.5570270332

20. Deshmukh, M.; Anbhule, P.; Jadhav, S.; Jagtap, S.; Patil, D.; Salunkhe, S.; Sankpal, S.; Indian J. Chem. Sec. B 2008, 47, 792.

21. Raghuvanshi, D. S.; Singh, K. N.; J. Heterocycl. Chem. 2011, 48, 582. DOI: http://dx.doi.org/10.1002/jhet.540

22. Mohammadi Ziarani, G.; Badiei, A.; Khaniania, Y.; Haddadpour, M.; Iran. J. Chem. Chem. Eng. 2010, 29, 1.

23. Mohammadi Ziarani, G.; Badiei, A.; Haddadpour, M.; Int. J. Chem. 2011, 3, 87. DOI: http://dx.doi.org/10.5539/ijc.v3n1p87

24. Gholamzadeh, P.; Mohammadi Ziarani, G.; Badiei, A.; Bahrami, Z.; Eur. J. Chem. 2012, 3, 279. DOI: http://dx.doi.org/10.5155/eurjchem.3.3.279-282.630

25. Mohammadi Ziarani, G.; Lashgari, N.; Badiei, A.; R. Sci. Iran. 2013, 20, 580.

26. Mohammadi Ziarani, G.; Faramarzi, S.; Asadi, S.; Badiei, A.; Bazl, R.; Amanlou, M.; DARU J. Pharm. Sci. 2013, 21, 3. DOI: http://dx.doi.org/10.1186/2008-2231-21-3

27. Mohammadi Ziarani, G.; Mousavi, S.; Rahimifard, M.; Badiei, A.; J. Mex. Chem. Soc. 2014, 58, 168.

28. Mohammadi Ziarani, G.; Hosseini Nasab, N.; Rahimifard, M.; Abolhasani Soorki, A.; J. Saudi Chem. Soc. 2015, 19, 676. DOI: http://dx.doi.org/10.1016/j.jscs.2014.06.007

29. Mohammadi Ziarani, G.; Rahimifard, M.; Nouri, F.; Badiei, A.; J. Serb. Chem. Soc. 2015, 80, 1265. DOI: http://dx.doi.org/10.2298/JSC140930045M

30. Mohammadi Ziarani, G.; Nouri, F.; Rahimifard, M.; Badiei, A.; Abolhassani Soorki, A.; Rev. Roum. Chim. 2015, 60, 331.

31. Rahimifard, M.; Mohammadi Ziarani, G.; Badiei, A.; Asadi, S.; Abolhasani Soorki, A.; Res. Chem. Intermed. 2016, 42, 3847 DOI: http://dx.doi.org/10.1007/s11164-015-2248-2

32. Hashemi, P.; Badiei, A.; Shamizadeh, M.; Mohammadi Ziarani, G.; Ghiasvand, A. R.; J. Chin. Chem. Soc. 2012, 59, 727. DOI: http://dx.doi.org/10.1002/jccs.201100429

On-line version ISSN 1678-7064 Printed version ISSN 0100-4042
Qu�mica Nova
Publica��es da Sociedade Brasileira de Qu�mica
Caixa Postal: 26037 05513-970 S�o Paulo - SP
Tel/Fax: +55.11.3032.2299/+55.11.3814.3602
Free access

GN1