JBCS



16:32, dom nov 2

Acesso Aberto/TP



Nota Técnica

Determination of residual methanol and ethanol in biodiesel by 1H-NMR

Samuel J. Santos*; Cassiane E. M. Dutra; Luiz A. M. Fontoura*

Centro de Pesquisa em Produto e Desenvolvimento, Universidade Luterana do Brasil, 92425-900 Canoas - RS, Brasil

Recebido em 10/01/2023
Aceito em 28/02/2023
Publicado na web 26/04/2023

Endereço para correspondência

*e-mail: luiz.mazzini.quimico@gmail.com; samuel.j.santos@hotmail.com

RESUMO

Alcohol residues in biodiesel can be present even after the purification steps. It diminishes the flash point, lubricity and cetane number. The standard technique to quantify residual alcohol in biodiesel is the FID-GC with headspace sampling. NMR, although underused for quantitative analyses, requires no special sample preparation, and consumes low volume of solvent. In this work, methodologies for the residual methanol and ethanol contents in soy biodiesel by 1H-NMR in a 9.4 T (400 MHz) spectrometer by standard addition were developed and validated. Quantification limits were found equal to 0.07 and 0.08% respectively, so more than twice lower than the maximum level acceptable, which is 0.2%. Accuracy and precision were considered suitable for the alcohol content around the specification limit.

Palavras-chave: biodiesel; methanol; ethanol; qNMR.

INTRODUCTION

Biodiesel is a biofuel employed mainly as a partial or total substitute to diesel in compression ignition engines. This is comprised by a mix of fatty esters obtained from oils and fats by alcoholysis.1-3 The most used feedstock in Brazil are soy oil and tallow,4 but several others fatty sources as canola, corn, cotton, sunflower, palm, or lard can be also used.2,3,5,6

Compared to diesel, biodiesel presents higher cetane number, lubricity, and flash point. Concerning to the environmental aspects, it is biodegradable, renewable and contributes less to the greenhouse effect, and to the acid rain. In addition, it can promote the agriculture growth and the rural development.7-9

The alcoholysis of fats and oils can be carried out with methanol or ethanol, or any other short chain alcohol. The former is the most used one due to its lower cost, and higher reactivity. Besides, its inferior boiling point makes its recovery easier. The latter, on the other hand, is renewable. In addition, some advantages are assigned to the ethyl biodiesel over the methyl one, as the higher oxidative stability, heat of combustion, and flash point, and the lower cold filter plugging point.7,10-14

Alcohol residues in biodiesel can be present even after the purification steps, and its presence diminishes the flash point, lubricity and cetane number. For these reasons, ASTM D6751 stablishes an alcohol content not higher than 0.2%.15 The standard technique used for the determination of the residual alcohol is gas chromatography with flame ionization detector (GC-FID) and headspace sampling.16

Comparing to GC and high-performance liquid chromatography (HPLC), nuclear magnetic resonance (NMR) is still underused for quantitative analyses, although the number of reports in the literature has been growing, including the biodiesel characterization. Particularly in this last subject, hydrogen nuclear magnetic resonance (1H-NMR) has been used for the determination of several parameters as kinetic viscosity,17,18 specific mass,17,18 iodine19,20 and acid values,18,21 oxidative stability,18,22,23 ester content,1,23-28 and composition.29-31 Although the spectrometer is expensive, the technique is quick, requires no special sample preparation, and consumes low volume of the solvent.29

Doudin29 has determined the concentration of methanol in a biodiesel sample comparing the integrals of 3.45 ppm and 2.27 ppm peaks. The peak areas, which are attributed to the CH3 of the methanol molecule and to the α-carbonyl CH2 of the fatty ester, were normalized by dividing the areas by the number of hydrogens in the group, that is, 3 and 2 respectively. So, the peak integrals ratio is equal to the molar ratio of the two moieties, which can be easily converted to the weight ratio. Indeed, the author determined not only the methanol content, but also the fatty esters, glycerol, mono, di and triglycerides contents. This methodology is extremely easy and quick, although, as a quantification approach, it provides inferior accuracy and precision.

Shimamoto and Tubino32 have reported two alternative methods for the residual methanol determination in biodiesel by 1H-NMR using standard addition as quantification strategy, and, alternatively, t-butylmethyl ether as internal standard. In the first case, the singlet from the methanol methyl group observed in the spectrum at 3.48 ppm is monitored.

The characterization methodologies for the ethyl biodiesel are less frequently described in the literature than those for methyl counterpart. For ethanol residue determination, similar methods can be used, but validation studies are necessary. Besides chromatography,24,25 cyclic voltammetry33 was also reported, but, at the best of our knowledge, NMR was not described for this same purpose. In this work, we present a methodology by 1H-NMR by standard addition to the determination of ethanol residue in ethyl biodiesel.

Simultaneously, we tried to implement Shimamoto and Tubino's32 methodology for methanol quantification in methyl biodiesel. In their work, a 500 MHz spectrometer was used, while in ours, a 400 MHz one. In this case, the alcohol carbinolic singlet is observed at 3.48 ppm unresolved from the satellite shielded peak of the doublet that results from the 13C-H coupling around the fatty ester methoxy group chemical shift. So, in order to quantify the alcohol, we had to develop a new methodology.

In summary, in this work we present new methodologies for the quantification of methanol and ethanol in methyl and ethyl biodiesels respectively by 1H-NMR. Accuracy, precision, and detection and quantification limits were evaluated.

 

EXPERIMENTAL

Biodiesel syntheses

Methyl and ethyl biodiesels were obtained from a commercial soy oil by the transesterification double steps process (TDSP) procedures described by Guzatto and coworkers.25,26 The reaction conditions, that is, mass of the catalyst (M), volume of the alcohol (V), and time (t) are described in the Table 1. KOH (Dinâmica, São Paulo, Brazil) was used as the catalyst in the first step, and after that, H2SO4 (Vetec, Duque de Caxias, Brazil). In each step, M (g) of the catalyst were dissolved in V (mL) of the appropriate alcohol, MeOH (Êxodo, Sumaré, Brazil), or EtOH (Êxodo, Sumaré, Brazil). 200 g of the soy oil (Soya, Gaspar, Brazil) were transferred into a 1 L glass reactor equipped with a mechanical stirrer and a reflux condenser in a thermostatically controlled water bath at 65 oC, followed by the alkaline alcoholic solution. The reactional mixture was kept stirring (1000 rpm) for t1 min. After that, the acidic alcoholic solution was poured over the reaction mixture and stirred for an aditional t2 min at the same temperature. Thereafter, the mixture was transferred to a separatory funnel where the two phases, biodiesel, and glycerol, were separated. The denser phase, glycerol, was disposed of, and the biodiesel was washed with water (3 × 100 mL, 70 oC). Finally, the volatiles were eliminated under reduced pressure distillation.

 

 

Standard solutions preparation

To five aliquots of 10.0 g of biodiesel, the suitable amount of methanol and ethanol (spectroscopic grade, Sigma-Aldrich, St. Louis, MO, USA) were added in order to produce spiked samples with 0.05, 0.10, 0.15, 0.20 and 0.25% alcohol content (w/w). Solutions were homogenized by magnetic stirring for 5 min. Analytical solutions were prepared by dissolving 100 µL of pure sample and the spiked biodiesels in 500 µL of CDCl3 (99.5%, 0.1% TMS, Cambridge I. L., Andover, MA, USA). In each case, three independent experiments were carried out.

NMR spectrum acquisition

The free induction decays were obtained in a Varian Oxford 9.4 T (400.050 MHz for hydrogen, Varian, Palo Alto, CA, USA) with 32 scans (spectral width 6402.049 Hz, 5 s delay, 45o pulse angle) in triplicate and were edited in the MestReNova software.34

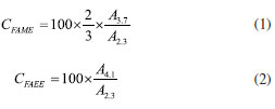
The fatty esters content (CFE) determination

The fatty esters content (CFE) of pure biodiesel was determined from Equations 1 and 2, as described by Guzatto and coworkers,25,26

where: CFAME is the methyl esters content in methyl biodiesel; CFAEE is the ethyl esters content in ethyl biodiesel; A2.3 is the triplet at 2.3 ppm integration; A3.7 is the singlet at 3.7 ppm integration; A4.1 is the quartet at 4.1 ppm integration.

Alcohol quantification

For methanol quantification, from the spectrum of each standard solution, the area of the peak at 3.84 ppm was subtracted from the 3.48 ppm one. To the ethanol quantification, the area of the peak at 3.74 ppm was measured. In each case, the integral values were plotted versus the spiked alcohol concentration.

Validation

The recoveries (R) in each concentration level were estimated from Equation 3:

where: CEXP is the experimental alcohol concentration; CS is the alcohol spiked concentration.

The detection (DL) and quantification (QL) limits were determined from Equations 4 and 5, respectively,35

where: SE is the standard error obtained from the analytical curve; a is the inclination obtained from the analytical curve.

The repeatability was estimated as the relative standard deviation (RSD) in each level of alcohol concentration (3 FID × 3 edition, n = 9).

 

RESULTS AND DISCUSSION

TDSP is a well stablished methodology yielding biodiesel with high fatty esters content and levels of mono, di and triglycerides typically lower than the maximum permitted concentrations.25,26,36 Methyl and ethyl biodiesels were obtained and the ester contents were estimated as 100 ± 2 and 98.7 ± 0.7%, respectively.

In the transesterification reaction, the alcohol is used in excess. After the reaction is finished, the remaining alcohol is removed under reduced pressure, but some residue persists, although in low concentration. It is important to note that the residual alcohol arises from the inefficiency of the distillation and the subsequent purification steps as washing and drying, but does not depend on the transesterification process. In this study, the quantification of methanol was carried out by the standard addition approach. In this sense, it is not necessary to have previous knowledge of the alcohol concentration in the biodiesel sample used in the method development.

Figure 1 shows the methyl biodiesel and its MeOH spiked one samples (0.05 to 0.25%) spectra detail.

 


Figure 1. 1H-NMR spectra detail (Varian Oxford 400 MHz, CDCl3) of MeOH unspiked and spiked methyl biodiesel (0.05 to 0.25%)

 

The singlet nearly 3.66 ppm is attributed to the fatty esters' methoxy group. The 13C-H coupling produces a doublet centered at the same chemical shift, which can be seen at 3.84 and 3.48 ppm. The carbinolic methyl group singlet from the methanol is observed unresolved overlaying the laters' peak. As the doublet is expected to have its area split in the 1:1 proportion, the carbinolic methyl's singlet area can be found subtracting the 3.84 ppm integral from the 3.48 ppm one.

Figure 2 shows the ethyl biodiesel and its EtOH spiked one samples (0.05 to 0.25%) spectra detail. The multiplet from 3.72 to 3.66 ppm is attributed to the CH2OH from monoglycerides.24 The EtOH methylene quartet is observed centered at 3.71 ppm,28 but not well resolved. In order to quantify residual EtOH, the ideal choice would be to integrate the whole quartet. Since it is not possible, the signal at 3.74 ppm had its area measured. Unfortunately, it causes the sensitivity to fall by eight times as the quartet area proportion is 1:3:3:1.

 


Figure 2. 1H-NMR spectra detail (Varian Oxford 400 MHz, CDCl3) of EtOH unspiked and spiked ethyl biodiesel (0.05 to 0.25%)

 

The standard addition analytical curves for the methyl biodiesel spiked with methanol and the ethyl biodiesel spiked with ethanol were obtained in the range from 0.05 to 0.25%. The parameters from the curves are presented in the Table 2, namely, inclination (a), interception (b), correlation coefficient (r), and detection (LD) and quantification limits (LQ) as the average of the three experiments. Both curves are presented in the supplementary material (Figures 13S and 14S).

 

 

The correlation coefficient (r) in both cases is higher than 0.99 indicating the curve's linearity. ASTM 6751 stablishes 0.2% as the highest alcohol concentration allowed. The quantification limit (QL) was estimated equal to 0.069 and 0.079%, for the methanol and ethanol content respectively, therefore 2.8, in the first case, and 2.5 times, in the second, lower than the maximum alcohol content permitted. As expected, sensitivity, expressed by the inclination, is by far lower for the ethanol determination than it is for methanol. As explained before, the quartet was not integrated as a whole, but just its most unshielded peak. In addition, in the methanol determination, a methyl group peak was monitorated, which integral is proportional to 3H. In the ethanol quantification, however, a methylene group was tracked, which is proportional to 2H instead.

From the equations, the alcohol content can be estimated by considering the response y, i.e., the integrated area, equal to zero and as a result 0.0005 and 0.006% were found for the methyl and ethyl biodiesels respectively, values that are below the detection limits (DL).

The MeOH and EtOH contents in each spiked level expressed as the average of three experiments are presented in the Table 3. When the nominal values were plotted against the experimental ones, a curve with the equation y = 1.0000 was obtained, indicating the high similarity between them both. The determination coefficient (r2) was found equal to 0.9976 for both curves.

Recoveries can be assumed as the accuracy of the method and are presented in the Table 3. The accepted values are dependent on the analyte concentration. For concentrations around 0.1%, recoveries are expected to be in the 97 to 103% interval.37 The 0.05% level is below the quantification limits and should not be considered. For methanol at 0.1%, and EtOH at 0.1 and 0.15%, recoveries were 106%, slightly above than the acceptable superior limit, but the complexity of the sample should be taken into consideration. Close to the alcohol maximum permitted level, it was found in range from 96 to 102%, assuring the accuracy for both methods.

 

 

The precision expressed as repeatability can be evaluated by the relative standard deviation (RSD). For the 0.1% level, precision is expected to be equal or lower than 5.3.37 In the interval from 0.15 to 0.25%, around the permitted level, it was found 4.4 or lower.

 

CONCLUSIONS

Residual methanol and ethanol contents were determined by 1H-NMR in a 9.4 T (400 MHz) spectrometer. Quantification limits were found equal to 0.07 and 0.08%, respectively, so more than twice lower than the maximum level acceptable, which is 0.2%. The accuracy and the precision of the method were considered suitable for the alcohol content around the specification limit. Sample preparation, and the NMR spectra acquisitions are simple, quick, with low volume solvent consumption.

 

SUPPLEMENTARY MATERIAL

Supplementary material (1H-NMR spectra and analytical curves) is available at http://quimicanova.sbq.org.br, as a free access PDF file.

 

ACKNOWLEDGMENTS

Authors thank FAPERGS for financial support.

 

REFERENCES

1. Schuchardt, U.; Sercheli, R.; Vargas, R. M.; J. Braz. Chem. Soc. 1998, 9, 199. [Crossref]

2. Pinto, A. C.; Guarieiro, L. N.; Rezende, M. J. C.; Ribeiro, N. M.; Torres, E. A.; Lopes, W. A.; Pereira, P. A. P.; de Andrade, J. B.; J. Braz. Chem. Soc. 2005, 16, 1313. [Crossref]

3. Rezende, M. J. C.; de Lima, A. L.; Silva, B. V.; Mota, C. J. A.; Torres, E. A.; da Rocha, G. O.; Cardozo, I. M. M.; Costa, K. P.; Guarieiro, L. L. N.; Pereira, P. A. P.; Martinez, S.; de Andrade, J. B.; J. Braz. Chem. Soc. 2021, 32, 1301. [Crossref]

4. https://app.powerbi.com/view?r=eyJrIjoiOTlkODYyODctMGJjNS00MGIyLWJmMWItNGJlNDg0ZTg5NjBlIiwidCI6IjQ0O
TlmNGZmLTI0YTYtNGI0Mi1iN2VmLTEyNGFmY2FkYzkxMyJ9&page Name=ReportSection8aa0cee5b2b8a941e5e0%22
, accessed in March 2023.

5. Pikula, K.; Zakharenko, Al.; Stratidakis, A.; Razgonova, M.; Nosyrev, A.; Mezhuev, Y.; Tsatsakis, A.; Golokhvast, K.; Green Chem. Lett. Rev. 2020, 13, 11. [Crossref]

6. Yasar, F.; Fuel 2020, 264, 116817. [Crossref]

7. Knothe, G.; Razon, L. F.; Prog. Energy Combust. Sci. 2017, 58, 36. [Crossref]

8. Hoekman, S. K.; Broch, A.; Robbins, C.; Cenicerods, E.; Natarajan, M.; Renewable Sustainable Energy Rev. 2012, 16, 143. [Crossref]

9. Sajjadi, B.; Aziz, A.; Raman, A.; Arandiyan, H.; Renewable Sustainable Energy Rev. 2016, 63, 62. [Crossref]

10. Jayaraman, J.; Alagu, K.; Appavu, P.; Joy, N.; Mariadhas, A.; Energy Fuels 2020, 34, 9763. [Crossref]

11. Yusoff, M. F. M.; Xu, X.; Guo, Z.; The Journal of the American Oil Chemists' Society 2014, 91, 525. [Crossref]

12. Gotovuša, M.; Pucko, I.; Racar, M.; Faraguna, F.; Energies (Basel) 2022, 15, 4996. [Crossref]

13. Malins, K.; Kampars, V.; Kampare, R.; Prilucka, J.; Brinks, J.; Murnieks, R.; Apseniece, L.; Fuel 2014, 137, 28. [Crossref]

14. Verma, P.; Sharma, M. P.; Renewable Sustainable Energy Rev. 2016, 62, 1063. [Crossref]

15. ASTM International; D6751.20a: Standard Specification for Biodiesel Fuel Blend Stock (B100) for Middle Distillate Fuels, 2020. [Crossref]

16. European Committee for Standardization; EN 14110 - Fat and Oil Derivatives - Fatty Acid Methyl Esters (FAME) - Determination of Methanol Content, 2000. [Link] accessed in March 2023

17. Constantino, A. F.; Cubides-Román, D. C.; dos Santos, R. B.; Queiroz Junior, L. H. K.; Colnago, L. A.; Cunha Neto, A.; Barbosa, L. L.; Romão, W.; de Castro, E. V. R.; Filgueiras, P. R.; Lacerda Junior, V.; Fuel 2019, 237, 745. [Crossref]

18. Shimamoto, G. G.; Tubino, M.; Talanta 2018, 179, 816. [Crossref]

19. Sarpal, A. S.; Silva, S. R.; Silva, P. R. M.; Monteiro, T. V.; Itacolomy, J.; Cunha, V. S.; Daroda, R. J.; Energy Fuels 2015, 29, 7956. [Crossref]

20. Kumar, R.; Bansal, V.; Patel, M. B.; Sarpal, A. S.; Energy Fuels 2012, 26, 7005. [Crossref]

21. Satyarthi, J. K.; Srinivas, D.; Ratnasamy, P.; Energy Fuels 2009, 23, 2273. [Crossref]

22. Mantovani, A. C. G.; Chendynski, T.; Galvan, D.; Borsato, D.; Di Mauro, E.; J. Braz. Chem. Soc. 2020, 31, 1661. [Crossref]

23. Mello, V. M.; Oliveira, F. C. C.; Fraga, W. G.; do Nascimento, C. J.; Suareza, P. A. Z.; Magn. Reson. Chem. 2008, 46, 1051. [Crossref]

24. de Jesus, M. P. M.; de Melo, L. N.; da Silva, J. P. V.; Crispim, A. C.; Figueiredo, I. M.; Bortoluzzi, J. H.; Meneghetti, S. M. P.; Energy Fuels 2015, 29, 7343. [Crossref]

25. Guzatto, R.; Defferrari, D.; Reiznautt, Q. B.; Cadore, I. R.; Samios, D.; Fuel 2012, 92, 197. [Crossref]

26. Guzatto, R.; de Martini, T. L.; Samios, D.; Fuel Process. Technol. 2011, 92, 2083. [Crossref]

27. da Silva, W. L. G.; de Souza, P. T.; Shimamoto, G. G.; Tubino, M.; J. Braz. Chem. Soc. 2015, 26, 1745. [Crossref]

28. Faraguna, F.; Racar, M.; Glasovac, Z.; Jukić, A.; Energy Fuels 2017, 31, 3943. [Crossref]

29. Doudin, K. I.; Fuel 2021, 284, 119114. [Crossref]

30. Knothe, G.; Kenar, J. A.; Eur. J. Lipid Sci. Technol. 2004, 106, 88. [Crossref]

31. Schaumlöffel, L. S.; Fontoura, L. A. M.; Santos, S. J.; Pontes, L. F.; Gutterres, M.; Fuel 2021, 292, 120198. [Crossref]

32. Shimamoto, G. G.; Tubino, M.; Fuel 2016, 175, 99. [Crossref]

33. Shishov, A.; Penkova, A.; Zabrodin, A.; Nikolaev, K.; Dmitrenko, M.; Ermakov, S.; Bulatov, A.; Talanta 2016, 148, 666. [Crossref]

34. MestReNova, v12.0.1-20560; Mestrelab Research S. L.; Santiago de Compostela, Spain, 2018.

35. Ribani, M.; Bottoli, C. B. G.; Collins, C. H.; Jardim, I. C. S. F.; Quim. Nova 2004, 27, 771. [Crossref]

36. Braun, J. V.; Santos, S. J.; Espíndola, G. C.; de Mattos, G. F.; Ongaratto, D. P.; de Oliveira, D. M.; da Silva, M. W.; Vendrusculo, V.; dos Santos, V. O. B.; Renner, R. E.; Naciuk, F. F.; Marques, M. V.; Fontoura, L. A. M.; Quim. Nova 2020, 43, 1246. [Crossref]

37. Huber, L.; Validation and Qualification in Analytical Laboratories, 2nd ed.; CRC Press: Boca Raton, 2007.

On-line version ISSN 1678-7064 Printed version ISSN 0100-4042
Qu�mica Nova
Publica��es da Sociedade Brasileira de Qu�mica
Caixa Postal: 26037 05513-970 S�o Paulo - SP
Tel/Fax: +55.11.3032.2299/+55.11.3814.3602
Free access

GN1