JBCS



18:34, dom nov 16

Acesso Aberto/TP



Artigo


Composição elementar do aerossol atmosférico na região central da Bacia Amazônica
Elemental composition of the atmospheric aerosol in the central Amazon basin

Andréa Arana*,I,#; Paulo ArtaxoII

IInstituto Nacional de Pesquisas da Amazônia, 69060-001 Manaus - AM, Brasil
IIInstituto de Física, Universidade de São Paulo, 05508-090 São Paulo - SP, Brasil

Recebido em 05/06/2013
Aceito em 06/10/2013
Publicado na web em 14/11/2013

Endereço para correspondência

*e-mail: andrea.arana@inpa.gov.br

RESUMO

The processes and sources that regulate the elemental composition of aerosol particles were investigated in both fine and coarse modes during the dry and wet seasons. One hundred and nine samples were collected from the biological reserve Cuieiras - Manaus from February to October 2008, and analyzed together with 668 samples that were previously collected at Balbina from 1998 to 2002. Particle induced X-ray emission technique was used to determine the elemental composition, while the concentration of black carbon was obtained from the measurement of optical reflectance. Absolute principal factor analysis and positive matrix factorization were performed for source apportionment, which was complemented with back trajectory analysis. A regional identity for the natural biogenic aerosol was found for the Central Amazon Basin and can be used in dynamical chemical region models.

Palavras-chave: atmospheric aerosol in the Amazon; absolute principal factor analysis; positive matrix factorization.

INTRODUÇÃO

A região amazônica tem passado por mudanças significativas no padrão de uso do solo nas últimas décadas, por meio do intenso processo de ocupação humana.1,2 O desmatamento e as emissões de queimadas são as principais causas das alterações na composição da atmosfera amazônica, sendo responsáveis por um significativo aumento na concentração de gases e partículas durante a estação seca em toda a região. Isto se traduz em um grande impacto antrópico no balanço energético local, trazendo consequências importantes para o ecossistema amazônico.3,4 Além das emissões de queimadas, a floresta amazônica, por sua localização tropical e seu intenso metabolismo, também é uma importante fonte natural de gases traços, aerossóis e vapor de água para a atmosfera global.1,5,6

A biosfera e a atmosfera amazônicas estão intrinsecamente relacionadas.7 As emissões de gases traços e aerossóis pela biosfera amazônica regulam as características da atmosfera, que por sua vez influenciam diversos processos biológicos responsáveis por estas emissões.8,9 Entender os processos naturais que regulam a composição da atmosfera é crítico para que se possa desenvolver uma estratégia de desenvolvimento sustentável na região.2,6

Em condições naturais que predominam durante a estação chuvosa (na ausência de queimadas), a vegetação fornece à atmosfera a maior parte das partículas que atuam como núcleos de condensação de nuvens (NCN), efetivamente controlando parte dos mecanismos de formação de nuvens e precipitação.10 Os processos de deposição seca e úmida são responsáveis pela remoção das partículas de aerossóis atmosféricos, que são fundamentais para a ciclagem de nutrientes da floresta.11

As partículas de aerossóis são criticamente importantes nos ciclos biogeoquímicos, por ser um meio de transporte eficiente para micronutrientes essenciais para o ecossistema, tais como cálcio (Ca), fósforo (P) e nitrogênio (N), entre outros compostos.8,12,13 Durante a estação chuvosa, a Amazônia recebe frequentes pulsos de poeira vindos do Saara.14,15 Este transporte de longa distância ocorre sempre quando a ITCZ (Intertropical Convergence Zone) está ao Sul da região de Manaus, geralmente entre janeiro a maio. Este transporte foi estudado em diversos trabalhos anteriores e é significativo para deposição de partículas na Amazônia originárias do Saara.15,16

Este trabalho integrado à temática do Experimento de Grande Escala da Biosfera-Atmosfera na Amazônia - LBA tem como objetivo investigar os processos e/ou fontes que regulam a composição elementar de partículas de aerossóis na atmosfera da região amazônica central. Neste estudo, aerossóis foram coletados na reserva biológica (Rebio) do Cuieiras - Manaus. Os dados de Balbina utilizados no modelo receptor foram coletados por Pauliquevis et al. (2012). Para o estudo da variabilidade das concentrações elementares foi utilizada a análise de fatores principais absoluta e fatorização de matriz positiva, que quantificam a contribuição absoluta das fontes de aerossóis. Também foi realizado o estudo do transporte de longa distância com modelos de trajetórias de massas de ar que confirmaram o transporte de poeira do Saara.

 

PARTE EXPERIMENTAL

Os sítios de medidas utilizados neste trabalho foram Rebio Cuieiras (também chamada reserva ZF2), a aproximadamente 80 km ao norte de Manaus (2º35'22"S, 60º06'55"W), e Balbina (1º55'S, 59º29'W) (localizada a cerca de 200 km ao norte de Manaus). A Rebio Cuieiras é uma área remota administrada pelo Instituto Nacional de Pesquisas da Amazônia - INPA, com uma área de 22.735 ha de floresta tropical úmida.17 A região com pouco impacto antropogênico é coberta por uma floresta tropical úmida densa de terra-firme, típica da parte central da região amazônica.18 Balbina é uma região razoavelmente preservada e localizada em uma região em que o vento predominante é de Nordeste-Leste. As massas de ar, antes de chegar a Balbina, atravessam centenas de quilômetros de floresta preservada, sem a influência de atividades antrópicas. O clima da área de estudo é caracterizado como quente e úmido, com temperatura média anual variando em torno de 26,7 ºC, oscilando entre 23,3 ºC a 31,4 ºC, com umidade relativa média anual de 84%. As épocas do ano são diferenciadas de acordo com a distribuição mensal de chuvas: a estação seca, que ocorre entre junho e outubro, sendo agosto o mês com o menor índice pluviométrico; e a estação chuvosa, que ocorre entre novembro e maio, sendo que o mês de março é o que apresenta o maior índice pluviométrico.19 Estas duas localidades representam condições naturais da Amazônia e constituem um dos poucos lugares remotos continentais do planeta onde podemos medir concentrações naturais de aerossóis.7,20 A coleta de partículas de aerossóis na ZF2 ocorreu durante os meses de fevereiro a outubro de 2008, como parte do experimento AMAZE (Amazon Characterization Experiment)21 e do projeto temático FAPESP AEROCLIMA. A Figura 1 mostra a área de coleta dos dados, onde é possível ver as cidades de Manaus e Balbina, como também a Rebio Cuieiras e o lago da usina de Balbina.

 


Figura 1. Figura com a localização das estações de amostragem dos aerossóis utilizadas neste estudo. Destacadas em negrito as áreas de coleta deste trabalho (Rebio Cuieiras) e (Balbina). Fonte: Adaptado (http://maps.google.com)

 

O instrumento utilizado para coleta de material particulado foi o chamado "amostrador de particulado fino e grosso" (AFG).22 Aerossóis foram coletados em dois filtros de policarbonato de 47 mm em sequência, em que o primeiro coletou partículas na moda grossa, com diâmetro aerodinâmico entre 2,5 e 10 µm e o segundo coletou partículas menores que 2,5 µm. O fluxo utilizado foi de 17 l min-1 e o tempo de amostragem variou de 1 dia na estação seca até 10 dias na estação chuvosa. Nos nove meses de amostragem na Rebio Cuieiras foram coletados 109 filtros, posteriormente analisados para a determinação da concentração de massa do material particulado na atmosfera por medida gravimétrica. O procedimento consiste na determinação da massa do filtro antes e depois da amostragem usando uma balança microanalítica eletrônica de precisão nominal 1µg em ambiente controlado com temperatura de 20 ºC e umidade relativa de 50%. A concentração de "black carbon" (BC) foi determinada por análise de refletância ótica. O instrumento, que usa luz branca difusa e um detector com um pico de eficiência por volta de 550 nm, foi calibrado com amostras padrão de BC. Elementos traços foram medidos pelo método PIXE (do inglês Particle Induced X-ray Emission)23 a partir de um feixe de prótons de energia 2,4 Mev gerado por um acelerador de partículas. O método quantifica a concentração de 20 elementos com número atômico acima do Na no material depositado nos filtros. A identificação das fontes de partículas de aerossóis foi obtida por meio do uso de modelos estatísticos multivariados: análise de fatores principais absoluta (AFPA) e fatorização de matriz positiva (FMP).24 Por meio destes modelos, é possível obter a estrutura de fontes de aerossóis a partir de medidas da composição elementar.

A análise de fatores principais (AFP) é um modelo receptor que deriva a estrutura de fontes de aerossóis a partir da variabilidade das concentrações elementares. Matematicamente, a AFP é um problema de autovalores e autovetores da matriz de correlação das concentrações elementares medidas. Os fatores principais são os autovetores que foram construídos a partir da diagonalização da matriz de correlação. As variáveis que possuem a variabilidade temporal similar indicam fontes comuns ou processos de formação ou transporte similares. Para a avaliação do impacto no receptor em números absolutos se faz necessário a aplicação da análise de fatores principais absoluta (AFPA). A AFPA é uma metodologia que permite determinar o perfil e a contribuição absolutos associados a uma determinada componente principal retida. É identificado o número de fontes relevantes às emissões de partículas de aerossóis de uma determinada base de dados, extraindo-se a composição elementar média e quantificando o impacto de cada fonte discriminada. A AFPA fornece como resultado fatores com a composição elementar absoluta e seu impacto quantitativo na atmosfera.24 A análise de fatores principais absoluta foi realizada utilizando o programa de pacote estatístico SPSS 17.0.

A fatorização de matriz positiva (FMP) é uma técnica estatística similar à AFPA, mas que impõe um vínculo adicional de que as contribuições das fontes devem ser positivas.25 A FMP leva em conta não só as medidas individuais, mas também os erros experimentais.26 O problema da análise de fatores é minimizar Q com respeito a G e F com a obrigatoriedade de que todos os elementos de G e F são não negativos. Q é a soma dos quadrados da razão entre o ajuste residual "e" e a estimativa de erros de cada ponto de dado "σ".

Onde,

 

 

 

 

O valor teórico de Q é dado por Q = nm - p(n + m), em que n é o número de espécies químicas medidas, m o número total de amostras e p o número de fatores ou fontes identificadas a partir do processo FMP. Uma transformação linear é realizada, processo de rotação, e denominada de Fpeak, que força as linhas e colunas das matrizes G e F a serem adicionadas e/ou subtraídas entre si até a minimização do erro. A escolha do valor da "força do Fpeak" é empírica mas deverá ser feita considerando o resultado da menor diferença (dQ) entre o valor dos parâmetros QRobusto e QVerdadeiro. O software utilizado neste trabalho foi o EPA PMF 3.0.27

O modelo HYSPLIT (do inglês Hybrid Single-Particle Lagrangian Integrated Trajectory) 28 foi utilizado como uma ferramenta para produzir retrotrajetórias de massas de ar e estimar a origem do aerossol coletado em superfície, servindo de subsídio para a identificação das fontes. O modelo pode ser executado de modo interativo no sítio eletrônico da NOAA: http://www.ready.noaa.gov/ready/open/hysplit4.html.

 

RESULTADOS E DISCUSSÃO

Na Tabela 1 são observadas concentrações elementares médias na Rebio Cuieiras bastante similares às reportadas em Balbina.29 Isso indica uma boa similaridade das concentrações elementares para o aerossol na parte central da Bacia Amazônica. A comparação entre as concentrações de massa medidas na Rebio Cuieiras e Balbina pode ser obtida na Figura 2. É possível observar que os dois sítios de amostragem apresentam concentrações similares e valores baixos inerentes às condições remotas da região.

 

 

 


Figura 2. Comparação da concentração média do material particulado (A e B) e Black carbon (C e D) entre Rebio Cuieiras e Balbina, para as modas fina e grossa durante as estações chuvosa e seca. As barras de erros representam o desvio padrão da distribuição dos valores. Dados de Balbina são de Pauliquevis et al. 2012

 

Os valores médios de material particulado referentes à Rebio Cuieiras são semelhantes aos resultados reportados em estudos anteriores na década de 90,30 durante a estação chuvosa em dois sítios localizados próximos a Manaus (2,1 ± 0,7 µg m-3 na moda fina e 6,1 ± 1,8 µg m-3 na moda grossa). Além disso, são semelhantes também aos resultados descritos para a estação chuvosa de 1999 na Reserva Biológica do Jarú (Rebio Jarú)12 em Rondônia (10º 04' 55" S,61º 55' 48" W), com valores médios de 2,9 ± 1,7 µg m-3 na moda fina e 5,7 ± 3,1 µg m-3 na moda grossa. Estes resultados são consistentes entre si e com as medidas deste trabalho na Rebio Cuieiras e Balbina, demonstrando que a região central da Amazônia possui uma composição elementar bastante estável e não tem sofrido influências antropogênicas nesses últimos anos durante a estação chuvosa. Isso é surpreendente, pois uma vasta região como a Amazônia ao longo dos últimos anos apresentar concentrações muito similares não é frequente em outras regiões do globo.

A Figura 2 também mostra a comparação da concentração média do BC entre Manaus e Balbina, para as modas fina e grossa durante as estações chuvosa e seca. A concentração média encontrada na moda fina durante a estação chuvosa foi de 250 ± 173 ng m-3 em Balbina e 95 ± 63 ng m-3 na Rebio Cuieiras. Na estação seca foi de 418 ± 280 ng m-3 em Balbina e 325 ± 205 ng m-3 na Rebio Cuieiras, tendo em vista que Balbina durante o período de estudo sofreu influência das queimadas de regiões circunvizinhas por meio do transporte de longa distância. O aumento na concentração de BC é muito menor na Rebio Cuieiras e Balbina do que na região do arco do desmatamento, onde as concentrações de BC na estação seca atingem 2.000-6.000 ng m-3.31 Na moda grossa, as concentrações de BC são em torno de 60 ± 20 ng m-3 para as estações chuvosa e seca, na Rebio Cuieiras e Balbina. A absorção da radiação solar pelas partículas na fração grossa não é oriunda das emissões de queimadas, mas representa a absorção natural de radiação de partículas grossas biogênicas, que é significativa.

Resultados de composição elementar dos aerossóis sobre a Rebio Jarú em Rondônia para coletas realizadas a 3 m de altura acima do solo durante a estação chuvosa de 1999 são utilizados para comparação entre os sítios.31 Comparando a razão entre a fração fina e grossa do material particulado com o material particulado total durante a estação chuvosa, foi observada uma distribuição similar entre os sítios, de acordo com a Figura 3. É também possível observar na mesma figura que a fração grossa é sempre responsável por 75 a 80% da massa total. Como na fração grossa temos uma predominância de aerossóis biogênicos naturais, estes realmente dominam a massa das partículas. Ainda é apresentada a razão entre a concentração de BC fino e grosso e o material particulado total durante a estação chuvosa de cada sítio. O percentual médio de BC fino para Rebio Cuieiras e Balbina (5 e 7%) foi menor do que em Rondônia (14%), como consequência do baixo impacto de emissões de queimadas nos sítios da Rebio Cuieiras e Balbina, durante a estação chuvosa. Entretanto, mesmo durante a estação chuvosa, é possível observarmos impacto significativo de emissões de queimadas em Rondônia.

 


Figura 3. (A) Percentual de Material Particulado (MP) e (B) Percentual de BC fino e grosso durante a estação chuvosa na Rebio Cuieiras, Balbina e Rondônia

 

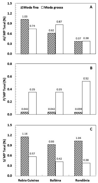
Na Figura 4, observa-se a razão entre a concentração de três elementos químicos (Al, S e P, expressa em porcentagem) com o material particulado fino ou grosso durante a estação chuvosa para Rebio Cuieiras, Balbina e Rondônia. Para o Al, há uma predominância maior para Rebio Cuieiras e Balbina do que em Rondônia tanto para a moda fina quanto a grossa. Os elementos associados ao solo, tais como Si, Fe e outros apresentam comportamento similar. A ocorrência do transporte de poeira do Saara nos sítios (Rebio Cuieiras e Balbina) corrobora seus valores percentuais médios mais elevados do que os valores encontrados no sítio de Rondônia, no qual a presença desta componente é menor devido ao perfil do transporte atmosférico. O elemento P é traçador de emissão biogênica natural e manteve-se com percentual médio constante na moda fina com um valor baixo (0,04%) de contribuição no material particulado fino nos sítios de amostragem. A contribuição de massa do P na fração grossa é 10 vezes maior com 0.4% de participação na massa grossa. A partir da análise da contribuição que a fração fina e grossa detém no material particulado, assim como o percentual dos demais elementos químicos medidos pelo PIXE, é possível afirmar que a maior parte dos elementos assume uma assinatura média de composição de aerossóis durante a estação chuvosa nos sítios da Rebio Cuieiras e Balbina.

 


Figura 4. Comparação em porcentagem da razão entre alguns elementos químicos, Al (A), P (B) e S (C), com a massa de material particulado total durante a estação chuvosa na Rebio Cuieiras, Balbina e Rondônia

 

Resultados da análise de fatores principais absoluta - AFPA

As bases de dados contendo as medidas das propriedades químicas do material particulado da Rebio Cuieiras e Balbina foram submetidas à análise de fatores principais absoluta. A moda fina na Rebio Cuieiras (Tabela 2) e Balbina (Tabela 3) é composta por três fatores principais, sendo a primeira componente relativa à emissão biogênica com elementos em comum para ambos os sítios, K, S e Zn, com o BC indicando emissão de queimada, que acontece no período de seca na Amazônia (agosto a outubro). Esses elementos são carregados simultaneamente com as plumas de queimadas na região, fazendo com que a floresta receba de regiões circunvizinhas elementos importantes para a ciclagem de nutrientes na Amazônia. A segunda componente refere-se à poeira do solo, com elementos comuns, como Al, Si, Fe e Ca, para moda fina tanto para Rebio Cuieiras como para Balbina. A terceira componente é composta apenas pelo elemento P, traçador importante para caracterização de emissão biogênica de aerossóis.

 

 

 

 

Os fatores foram ordenados de forma semelhante, seguindo com a primeira componente associada à poeira do solo com elementos pertencentes a ambos os sítios de amostragem, como por exemplo, Al, Fe, Si e Ca. A segunda componente é formada pelos elementos comuns P e K que estão associados à emissão biogênica. Para o sítio de Balbina uma terceira componente foi formada pelo modelo receptor para explicar os elementos BC e S, denominada de queima de combustível fóssil, pela presença do elemento S. Há outro fator formado por BC associado com o P, denominado Queima, por causa de pequena influência de queima de biomassa devido ao transporte atmosférico característico da região. Entretanto, comparando a segunda componente da moda grossa da Rebio Cuieiras (Tabela 2) com a segunda e terceira componentes de Balbina (Tabela 3) na mesma moda, são obtidos os mesmos elementos presentes em ambos os sítios. A quarta componente indica um possível transporte de longa distância, apresentando o elemento Cl isolado dos outros elementos.

Como resultado da aplicação da análise de fatores principais absoluta, foi encontrada a assinatura do perfil elementar na Rebio Cuieiras e Balbina (Figura 5). Na moda fina, a contribuição do BC para Rebio Cuieiras foi de (0,13 %, 8,7 % e 7,4 %) nas fontes (solo, biogênico, queima), seguindo as Figuras 5A, 5C e 5E, respectivamente. Em Balbina, a AFPA apresentou (9,2 %, 6,3 %, 4 %) nas fontes (queima, solo e biogênico). E mesmo com alguma influência de queimadas de regiões circunvizinhas, a região permanece caracterizada como uma área com poucos impactos antrópicos, ao contrário da região do arco do desmatamento na Amazônia Legal. Os elementos que contribuem para a fonte solo são Al, Si, Fe, Mn e Ti na Rebio Cuieiras e Balbina (Figura 5A). A contribuição significativa dos elementos para a fonte biogênica segue com o elemento P e K para Rebio Cuieiras e Balbina (Figura 5C). A contribuição do Zn apresenta-se subdividida na Rebio Cuieiras nas fontes biogênica e queima na moda fina (Figura 5C, 5E), em Balbina na moda grossa nas fontes solo, queima (Figura 5B, 5C), mas com valor percentual significativo na fonte queima da moda grossa, pois durante a estação seca pode ocorrer uma pequena influência de queimadas na região.

 


Figura 5. Resumo da contribuição dos elementos nos fatores principais absolutos formados pela aplicação da AFPA na base de dados da composição elementar dos sítios da Rebio Cuieiras (fevereiro a outubro de 2008) e Balbina (outubro de 1998 a março de 2002)

 

Na moda grossa, para os sítios da Rebio Cuieiras e Balbina na fonte solo, há grande semelhança na contribuição dos elementos Al (8,3 e 8,1%), Si (17,8 e 14,8%), Mn (0,07 e 0,07%) e Fe (4 e 5%), respectivamente, demonstrando a composição homogênea similar entre os sítios de amostragem. O elemento BC contribuiu com (0,96% e 0,90%) na fonte solo e biogênica na Rebio Cuieiras (Figura 5B, 5D) e para Balbina na fonte queimada (Figura 5D) com (1,6%), lembrando-se dos focos de queimadas em maior número para o sitio de Balbina durante o período de coleta de dados. Na fonte biogênica para Rebio Cuieiras e na fonte queimada em Balbina, a contribuição semelhante foi dos elementos P (0,5 e 0,6%), K (1,27 e 1,33%) e o elemento Zn contribuiu com (0,014 e 0,015%). Na Rebio Cuieiras, o elemento S contribuiu nas fontes biogênica (1,03%) e marinha (3,94%), assim como, em Balbina nas fontes queimada (1,86%) e marinha (0,96%). Talvez a presença do S na fonte marinha se deve ao fato de que o dimetil sulfeto biogênico liberado pelo oceano se transforma em sulfato ao longo do transporte atmosférico até Rebio Cuieiras, evidenciando assim a sua presença na fonte marinha. Da mesma forma, os elementos associados com outras fontes apresentaram-se significativos em suas contribuições para a fonte marinha na Rebio Cuieiras e Balbina. Uma possível explicação da presença desses elementos em uma fonte relacionada com transporte marinho é o fato de que ocorre o transporte de massas de ar que carregam consigo esses elementos a distâncias transcontinentais15 e se misturam com o ar carregado de elementos emitidos pela vegetação e elementos traçadores de emissão de poeira do deserto do Saara, por exemplo. Esse transporte foi analisado por meio das retrotrajetórias de massas de ar utilizando o modelo Hysplit.

Resultados da fatorização de matriz positiva - FMP

A análise por FMP complementa as análises de AFPA, pois o modelo processa apenas valores positivos de concentração atmosférica, assim podemos tirar mais informações da base de dados. As vantagens intrínsecas ao FMP não excluem, no entanto, a necessidade da análise por AFPA.

A série temporal da Rebio Cuieiras 2008 foi analisada e 4% das amostras foram retiradas por apresentarem valores extremos (picos com concentrações muito elevadas), os quais o FMP não modela muito bem.28 Para os dados faltantes, o valor da mediana das concentrações medidas para cada elemento substituiu as concentrações faltantes e a incerteza da medida associada foi de 3 vezes o valor da mediana. É aplicado o ajuste dos mínimos quadrados e a relação entre Qteórico e Qatual (Qteórico > 0.70 Qatual) deve ser seguida no FMP,32 expressando que a base de dados foi modelada com o número adequado de fatores. Utilizando-se a base de dados da moda fina, o valor de o Qatual foi 0.73*Qteórico, considerado satisfatório. Na moda grossa o Qatual foi 0.93*Qteórico. Incerteza extra de 20% foi adicionada no processo antes de processar o modelo FMP.

As rotações induzidas pelo Fpeak são rotações aproximadas, as quais mudam o valor do ajuste Q. Consequentemente, a menor diferença (dQ) entre QRobusto e QVerdadeiro deve ser considerada. QRobusto representa o ajuste realizado para todos os dados e QVerdadeiro, o ajuste sem valores atípicos. O Fpeak de 0.1 foi utilizado para as modas fina e grossa. Os fatores encontrados pelo FMP para a moda grossa (Tabela 5) foram os mesmos encontrados na aplicação da AFPA: (1) Transporte, elemento Cl; (2) Biogênico+BC, com CPM, BC, P, S, K e Zn; (3) Solo, com os elementos Al, Si, Ca, ti, Mn e Fe. Na moda fina (Tabela 4), os fatores discriminados foram: componente biogênica, caracterizada pelos elementos P, S e Cl. A segunda componente constitui-se em partículas originadas de solo, com os elementos Al, Si, Ca, Ti, Mn e Fe. A última componente caracteriza-se por aerossóis biogênicos com contribuições de BC, com os elementos mais marcantes BC, P, S, Cl e K.

 

 

 

 

Resultados do modelo de trajetórias de Ar - HYSPLIT

A partir de observações das séries temporais da concentração elementar para as amostras da Rebio Cuieiras, determinadas pela análise PIXE, no período de fevereiro a outubro de 2008, são identificados alguns valores extremos nas medidas, durante a estação chuvosa. Para os elementos associados à poeira do solo, Al, Si, Ti, Mn, Fe e Ca, foi observado aumento significativo nos valores das concentrações nos dias 22, 26 e 29 de fevereiro, 05 e 28 de abril e 09 de maio de 2008.

Na análise das retrotrajetórias de massas de ar foi utilizado o modelo Hysplit,28 com duração de 10 dias para cada retrotrajetória, para estudarmos a origem espacial das altas concentrações de elementos de solo observados nas amostras coletadas na Rebio Cuieiras. Nesta região, a profundidade da camada limite, onde acontece a maioria das reações físicas e químicas inerentes aos aerossóis atmosféricos, varia entre 500 m e 4 km e por isso as altitudes escolhidas para o início das retrotrajetórias foram 500, 2000 e 3000 m. A Figura 6 apresenta o resultado da análise de retrotrajetórias de massas de ar com início em um dia de fevereiro (A) e outro de maio (B) de 2008 quando foram observadas altas concentrações de elementos químicos associados a poeira do solo e/ou sal marinho. A figura mostra que as trajetórias de massas de ar estimadas pelo Hysplit partem do Saara, entre 7 a 10 dias antes de serem amostradas na Rebio Cuieiras, carregando até ali elementos associados à poeira do solo tanto para a moda grossa quanto para a moda fina. Esta análise foi feita para todos os eventos com altas concentrações de elementos associados ao solo, e em todas foi observado efetivamente o transporte de poeira do Saara. Nesta mesma análise, também é evidente que estas massas de ar, ao cruzarem o oceano, trazem aerossóis com influência marinha, justificando a coincidência observada nos valores extremos de concentração para cloro e elementos associados ao solo (não apresentado).

 


Figura 6. Gráficos de retrotrajetórias de massas de ar utilizando o modelo Hysplit para os meses de fevereiro (A) e maio (B), durante a estação chuvosa, agosto (C) e setembro (D) de 2008 na estação seca na Amazônia. As altitudes de início, sobre a Rebio Cuieiras, estão em 500 m (•), 2000 m (•) 3000 m (•). O tempo de integração foi de 10 dias

 

Para comparação, foi realizada análise de retrotrajetórias de massas de ar para os meses de agosto (C) e setembro (D) de 2008, durante a estação seca na Amazônia. Nesta época do ano, as massas de ar que chegam à Rebio Cuieiras são oriundas do Oceano Atlântico sul ou mesmo de outras regiões da América do Sul. Dessa forma, é clara a ocorrência do transporte do Saara apenas para a estação chuvosa entre os meses de fevereiro a maio de 2008. Além disso, a grande porção continental entre o Atlântico sul e local de coleta dos filtros justifica a não observação do Cloro nas amostras durante a estação seca já que o sal marinho será removido por deposição úmida.

Observa-se na Tabela 4 que os elementos P, S e Cl contribuíram para a formação do fator de emissão biogênica; os elementos Al, Si, Ca, Ti, Mn e Fe contribuíram para o fator solo; o fator biogênico associado com o BC, com contribuições do material particulado fino e os elementos K, Zn, Br. Na Tabela 5, a moda grossa na Rebio Cuieiras foi caracterizada com a contribuição do elemento cloro para o fator de transporte de longa distância; o fator biogênico + BC, com contribuições do material particulado grosso, P, S, K e Zn; o fator solo formado pela contribuição dos elementos Al, Si, Ti, Mn e Fe.

 

CONCLUSÕES

De acordo com os resultados apresentados, foi possível obter uma composição elementar de aerossóis similar entre os sítios da Rebio Cuieiras e Balbina. A FMP é um método robusto para medidas de material particulado atmosférico e a vantagem é que as contribuições das fontes são sempre positivas. Os processos atmosféricos que atuam na determinação da composição química das partículas de aerossóis na parte central da Bacia Amazônica são o transporte de poeira do solo e aerossol marinho, as emissões biogênicas durante a estação chuvosa e as emissões de queimadas mais pronunciadas durante a estação seca. As análises de trajetórias de massas de ar por meio do modelo HYSPLIT mostram claramente o transporte de poeira do deserto do Saara até a Rebio Cuieiras. É importante salientar que as significativas concentrações de Al, Si, Ti, Mn e Fe observados nestes episódios de transporte ocorrem apesar da enorme distância de transporte e aos fortes processos de deposição de aerossóis típicos da Amazônia, com alta taxa de precipitação.

 

MATERIAL SUPLEMENTAR

Gráficos apresentam as séries temporais nas modas fina e grossa para os elementos mostrados neste estudo, disponíveis em http://quimicanova.sbq.org.br, com acesso livre.

 

AGRADECIMENTOS

Agradecemos ao apoio financeiro da FAPESP (projeto 2008/58100-2) e de vários projetos do CNPq. À Fundação de Amparo e à Pesquisa do Estado do Amazonas (FAPEAM) e CAPES pela concessão da bolsa de estudos. Agradecemos ao escritório central do programa LBA pelo suporte logístico. Agradecemos ao INPA pelo suporte e operação do Escritório Central do LBA.

 

REFERÊNCIAS

1. Artaxo, P.; Gatti, L. V.; Cordova, A. M. L.; Longo, K. M.; Freitas, S. R.; Lara, L. L.; Acta Amazônica 2005, 35, 185, doi: 10.1590/S0044-59672005000200008.

2. Davidson, E. A.; Araújo, A. C.; Artaxo, P.; Balch, J. K.; Brown, I. F.; Bustamante, M. M. C.; Nature 2012, 481, 321, doi:10.1038/nature10943.

3. Artaxo, P. Em The biogeochemistry of the Amazon basin; McClain, M. E.; Victória, R.; Richey, J. E., eds.; Oxford University Press, 2001, cap 3.

4. Procópio, A. S.; Artaxo, P.; Kaufman, Y. J.; Remer, L. A.; Schafer, J. S.; Holben, B. N.; Geophys. Res. Lett. 2004, 31, L03108, doi: 10.1029/2003GL018646.

5. Andreae, M. O.; Crutzen, P. J.; Science 1997, 276, 1052, doi: 10.1126/science.276.5315.1052.

6. Martin, S. T.; Andreae, M. O.; Artaxo, P.; Baumgardner, D.; Chen, Qi; Goldstein, A. H.; Rev. Geophys. 2010a, 48, RG2002, doi: 10.1029/2008RG000280.

7. Pöschl, U.; Martin, S. T.; Sinha, B.; Chen, Q.; Gunthe, S. S.; Huffman, J. A.; Science 2010, 329, 1513, doi: 10.1126/science.1191056.

8. Davidson, E. A.; Artaxo, P.; Global Change Biology 2004, 10, 519, doi: 10.1111/j.1529-8817.2003.00779.x.

9. Gilardoni, S.; Vignati, E.; Marmer, E.; Cavalli, F.; Belis, C.; Gianelle, V.; Loureiro, A.; Artaxo, P.; Atmos. Chem. Phys. 2011, 11, 2747, doi: 10.5194/acp-11-2747-2011.

10. Ekström, S.; Nozière, B.; Hultberg, M.; Alsberg, T.; Magnér, J.; Nilsson, E. D.; Artaxo, P.; Biogeosciences 2010, 7, 387.

11. Ahlm, L.; Nilsson, E. D.; Krejci, R.; Martensson , E. M.; Vogt , M.; Artaxo, P.; Atmos. Chem. Phys. 2010a, 10, 3063; Ahlm, L.; Nilsson, E. D.; Krejci, R.; Martensson , E. M.; Vogt , M.; Artaxo, P.; Atmos. Chem. Phys. 2010b, 10, 10237, doi: 10.5194/acp-10-10237-2010.

12. Andreae, M. O.; Artaxo, P.; Brandao, C.; Carswell, F. E.; Ciccioli, P.; da Costa, A. L.; J. Geophys. Res. Atmos. 2002, 107, 8066, doi: 10.1029/2001JD000524.

13. Artaxo, P.; Oliveira, P. H.; Lara, L. L.; Pauliquevis, T. M.; Rizzo, L. V.; Junior, C. P.; Revista Brasileira de Meteorologia 2006, 21, 168.

14. Prenni, A. J.; Petters, M.; Kreidenweis, S.; Heald, C.; Martin, S.; Artaxo, P.; Garland, R.; Wollny, A.; Pöschl, U.; Nat. Geosci. 2009, 2, 402, doi: 10.1038/ngeo517.

15. Ben-Ami, Y.; Koren, I.; Rudich, Y.; Artaxo, P.; Martin, S. T.; Andreae, M. O.; Atmos. Chem. Phys. 2010, 10, 7533, doi: 10.5194/acp-10-7533-2010.

16. Ansmann, A.; Baars, H. ; Tesche, M.; Muller, D.; Althausen, D.; Engelmann, R.; Pauliquevis, T. Geophys. Res. Lett. 2009, 36, L11802, doi: 10.1029/2009GL037923.

17. Araújo, A. C.; Nobre, A. D.; Krujt, B.; Elbers, J. A.; Dallarosa, R.; Stefani, P.; von Randow, A. O.; Manzi, A. D. Culf.; J. Geophys. Res. 2002, 107, 8090, doi: 10.1029/2001JD000676.

18. Higuchi, N.; Santos, J. dos ; Ribeiro, J. R.; Freitas, J. V.; Vieira, G.; Minette, L. J. Em Crescimento e incremento de uma floresta amazônica de terra-firme manejada experimentalmente; Higuchi, N.; Ferraz, J. B. S.; Antony, L.; Luizão, F.; Luizão, R.; Biot, I.; Hunter, I.; Proctor, J.; Ross, S., eds.; Bionte: Biomassa e nutrientes, INPA/DIFID: Manaus, 1997.

19. Falesi, I. C. Solos do Distrito Agropecuário da Suframa. Série: Solos, 1ª ed., Instituto de Pesquisas e Experimentação Agropecuárias da Amazônia Ocidental: Manaus, 1971.

20. Andreae, M. O.; Science 2007, 315, 50, doi: 10.1126/science.1136529.

21. Martin, S. T.; Andreae, M. O.; Althausen, D.; Artaxo, P.; Baars, H.; Borrmann, S.; Atmos. Chem. Phys. 2010b, 10, 11415, doi: 10.5194/acp-10-11415-2010.

22. Hopke, P. K.; Xie, Y.; Raunemaa, T.; Biegalski, S.; Landsberger, S.; Maenhaut, W.; Artaxo, P.; Cohen, D.; Aerosol Sci. Technol. 1997, 27, 726, doi: 10.1080/02786829708965507.

23. Artaxo, P.; Orsini, C.; Nucl. Instrum. Methods Phys. Res. 1987, B22, 259.

24. Swietlicki, E., Krejci, R.; Nucl. Instrum. Methods Phys. Res. 1996, 109, 519, doi: 10.1016/1352-2310(95)00322-3.

25. Paatero, P.; Tapper, U. Environmetrics 1994, 5, 111, doi: 10.1002/env.3170050203.

26. Cohen, D. D.; Stelcer, E.; Garton, D.; Crawford, J.; Atmospheric Pollution Research 2011, 2, 182, doi: 10.5094/APR.2011.023.

27. Draxler, R. R.; Rolph, G. D.; HYSPLIT (HYbrid Single-Particle Lagrangian Integrated Trajectory) Acesso ao modelo via NOOA ARL READY Website http://www.arl.noaa.gov/HYSPLIT.php, NOAA Air Resources Laboratory, Silver Spring, MD, 2003.

28. Norris, G.; Wade, K.; Foley, C.; EPA Positive Matrix Factorization (PMF) 3.0 Fundamentals & User Guide; U.S Environmental Protection Agency, Office of Research and Development, Washington, 2008.

29. Pauliquevis, T.; Lara, L. L.; Antunes, M. L.; Artaxo, P.; Atmos. Chem. Phys. 2012, 12, 4987, doi: 10.5194/acp-12-4987-2012.

30. Artaxo, P.; Maenhaut, W.; Storms, H.; Vangrieken, R.; J. Geophys. Res. Atmos. 1990, D10, 16971, doi: 10.1029/JD095iD10p16971.

31. Artaxo, P.; Martins, J. V.; Yamasoe, M. A.; Procópio, A. S.; Pauliquevis, T. M.; Andreae, M. O.; J. Geophys. Res. Atmos. 2002, 107, 8081, doi: 10.1029/2001JD000666.

32. Reff, A.; Eberly, S.; Bhave, P.; J. Air Waste Manage. Assoc. 2007, 57, 146, doi:10.1080/10473289.2007.10465319.

 

 

#Pós-Graduaçao em Clima e Ambiente

On-line version ISSN 1678-7064 Printed version ISSN 0100-4042
Qu�mica Nova
Publica��es da Sociedade Brasileira de Qu�mica
Caixa Postal: 26037 05513-970 S�o Paulo - SP
Tel/Fax: +55.11.3032.2299/+55.11.3814.3602
Free access

GN1