JBCS



13:53, ter nov 4

Acesso Aberto/TP



Artigo

Computational reactivity analysis for drugs salbutamol and ipratropium bromide: a comparative study

Karunagaran SubramanianI; Guillermo SalgadoII; Assia BelhassanIII,*; Lorena Gerli CandiaIV; Wilson Cardona VV

I. Phi-Psi Laboratories, 600083 Tamil Nadu, India
II. Departamento de Química, Facultad de Ciencias Fisicas y Matematicas, Universidad de Chile, 4030000 Santiago, Chile
III. Molecular Chemistry and Natural Substances Laboratory, Department of Chemistry, Faculty of Science, Moulay Ismail University, 11201 Meknes, Morocco
IV. Departamento de Química Ambiental, Universidad Católica de la Santísima Concepción, 4030-000 Concepción, Chile
V. Universidad San Sebastian, 5480-000 Puerto Montt, Chile

Received: 06/07/2025
Accepted: 09/04/2025
Published online: 09/18/2025

Endereço para correspondência

*e-mail: assiabelhassan2013@gmail.com

RESUMO

Comparative studies of the drugs salbutamol and ipratropium bromide have been conducted to evaluate their effectiveness in treating respiratory problems such as asthma and chronic obstructive lung disease (COPD). In addition, their electronic structures, frontier molecular orbitals and other parameters were analyzed. Our aim was to elucidate the fundamental differences in their reactivity profiles. Our analysis included highest occupied molecular orbital (HOMO) and lowest unoccupied molecular orbital (LUMO) energy gaps, thermodynamic studies, global chemical parameters, molecular electrostatic potential (MEP) maps and Mulliken charge distributions analysis to provide insights into their chemical behavior. The results highlight significant variations in the reactivity of salbutamol and ipratropium bromide, offering valuable information for their therapeutic application and potential modifications. This study underscores the importance of computational techniques in understanding drug reactivity, aiding in the rational design of more effective respiratory medications.

Palavras-chave: salbutamol; ipratropium bromide; DFT; molecular electrostatic potential (MEP) map; Mulliken charge; thermodynamic properties.

INTRODUCTION

Salbutamol also known as albuterol, the first selective short-acting beta-agonist (SABA) extensively used in clinical practice, was introduced in 1968.1 It is primarily prescribed for the relief of bronchospasm in conditions such as asthma and chronic obstructive pulmonary disease (COPD). Salbutamol works by relaxing the muscles in the airways, making it easier to breathe. The mechanism of action of salbutamol is to stimulate beta-2 adrenergic receptors in the smooth muscle of the airways.2 This stimulation leads to the activation of an enzyme called adenylate cyclase, which increases the levels of cyclic adenosine monophosphate (cAMP) within the cells. Elevated cAMP levels cause the relaxation of the smooth muscle, leading to bronchodilation and making it easier to breathe.3,4 The World Health Organization (WHO)5 ranks salbutamol as one of the most effective and safe medicines, essential to healthcare systems. It is associated with improvement in daytime symptoms, although a subtle deterioration in asthma control may occur over time.6,7 Salbutamol also inhibits the release of immediate hypersensitivity mediators from cells, particularly mast cells. Due to its high selectivity, salbutamol has minimal activity on β1-adrenergic receptors.8-11

Recent study11 reported the pharmacological profile of different salbutamol formulations, focusing on their efficacy and adverse effects in asthma treatment. It discusses the diverse pharmacokinetic parameters and the therapeutic effects of salbutamol as a potent smooth muscle relaxant. The common side effects include tremors, headache, palpitations, dizziness, nervousness, muscle cramps, throat irritation, nausea, and increased heart rate. These side effects are usually mild and temporary. To overcome the side effects, adverse effects can include arrhythmias (irregular heartbeat), respiratory tract infections, tachycardia (rapid heartbeat), and severe allergic reactions.12-14 Higher doses of salbutamol have been used in patients who do not respond to standard treatment. However, this results in the intensification of adverse effects.15 Overuse or misuse of salbutamol can lead to worsening symptoms and increased risk of adverse effects.

Ipratropium bromide is an anticholinergic medication that is used to treat respiratory conditions like COPD and asthma. It works by blocking the action of acetylcholine, a neurotransmitter that causes the muscles around the airways to contract.16 This helps to open up the airways and make breathing easier. Ipratropium bromide is typically administered via inhalers or nebulizers.17 The mechanism of ipratropium bromide works by blocking the action of acetylcholine on muscarinic receptors in the smooth muscle of the airways. Efficacy of Ipratropium bromide is an anticholinergic bronchodilator used to manage and prevent bronchospasm associated with COPD and asthma. It works by blocking muscarinic receptors in the airways, leading to bronchodilation and improved airflow. Acetylcholine is a neurotransmitter that, when it binds to muscarinic receptors, causes the muscles around the airways to contract. By inhibiting this action, ipratropium bromide prevents the contraction of the airway muscles, leading to bronchodilation. This helps to dig out the airways and improve airflow, making it easier to breathe.18

Salbutamol and ipratropium are both bronchodilators used to treat respiratory conditions, but they work through different mechanisms: salbutamol is a beta-2 agonist that relaxes airway muscles, while ipratropium is an anticholinergic that blocks the action of acetylcholine, also relaxing airway muscles. Both medications are often used together in combination inhalers to provide a more comprehensive approach to managing respiratory conditions like asthma and COPD. Salbutamol provides quick relief, while ipratropium bromide offers longer-lasting bronchodilation.19 Recent studies20 on ipratropium bromide highlight that the US Food and Drug Administration (FDA) provides specific guidance on the recommended studies for establishing the bioequivalence of ipratropium bromide metered-dose inhalers. It includes in vitro and in vivo bioequivalence studies to ensure the safety and efficacy of the product. The meta-analysis evaluates the efficacy and safety of combining ipratropium bromide with salbutamol in treating asthma in children and adolescents. The study21 found that the combination significantly reduced the risk of hospital admission compared to salbutamol alone. Previous study22 investigated the effects of ipratropium bromide spray in treating excessive drooling (sialorrhea) in pediatric patients. The study aimed to determine the safety and effectiveness of the treatment. Common side effects included dry mouth, cough, sore throat, headache, dizziness, and nervousness. These side effects are generally mild and may decrease with continued use.23 To overcome the side effects, adverse effects can include blurred vision, urinary retention, palpitations, tachycardia, and severe allergic reactions. It is important to use ipratropium bromide as directed by a healthcare provider to minimize the risk of adverse effects.

Quantum mechanical studies have indeed played a significant role in understanding and optimizing salbutamol and ipratropium bromide. Structural optimization is used to optimize the molecular structure of salbutamol and ipratropium bromide. This helps in accurately predicting the geometry and conformation of the molecules. Quantum mechanical calculations provide insights about electronic properties, such as the highest occupied molecular orbital (HOMO) and lower unoccupied molecular orbitals (LUMO) energies. This information is important for understanding the molecules reactivity and interaction with biological target. These studies are essential to optimize the efficacy and safety of the drug, ultimately leading to better therapeutic outcomes.

 

METHODOLOGY

Density functional theory (DFT) method details

Geometrical optimization of the title compounds salbutamol and ipratropium bromide was performed at the B3LYP-6-31G basis set level using both the Hartree-Fock (HF) and density functional theory (DFT) method with the Gaussian 09 software program (Gaussian, Inc., Wallingford, 2016). Based on the output data, DFT and HF calculations were further analyzed, and the molecular structures of the drug compounds were visualized using GaussView program.24-26 The global chemical parameters are commonly identified as eigenvalues representing various energy-related properties. These includes the highest occupied molecular orbital energy (HOMO), the lowest unoccupied molecular orbital energy (LUMO), the energy band gap (Egap), ionization energy (IE), electron affinity (EA), absolute electronegativity (χ), global hardness (h), global softness (S), global electrophilicity (ω), and the maximum fraction of electrons transferred (ΔNmax).27,28

The chemical global reactivity can be measured using the following equations and are tabulated using HOMO and LUMO values in:

Frequency calculations were performed to obtain thermodynamic properties and verify that each optimization achieved minimum energy. The molecule dipole moment, stability of the chemical structure, and polarizability were determined followed by structural properties, molecular orbital analysis, global reactivity descriptors, molecular electrostatic potential (MEP) maps and Mulliken charge distribution from the B3LYP function in Gaussian 09 program.29,30 GaussView 6.0 is a piece of software for molecular modeling that may be used to fine-tune the molecular structure. The investigation aims to compare the two drugs salbutamol and ipratropium bromide in terms of the properties of thermodynamics data obtained from the output file.

 

RESULTS AND DISCUSSION

Geometry optimization

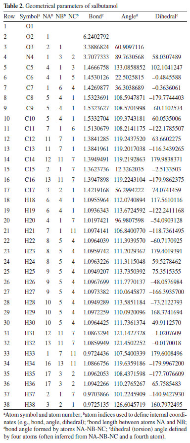
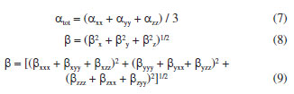
The optimized ground energies of the drugs salbutamol and ipratropium bromide are shown in Figure 1. B3LYP/6-31G base sets were used to improve geometry in a more complicated setting. However, methods such as the molecular mechanics approach, density functional theory (DFT), and the Hartree-Fock method were used to find the most effective configuration for a chemical. The structure of the drug molecules was optimized using density functional theory and hydrogen bonding (Tables 1 and 2). The energy associated with a certain initial molecule shape is the initial step in a geometry optimization technique that may be useful for this strategy.

 

 

 

 

 

 

Frontier orbitals of a molecule

The electronic properties of ipratropium bromide and salbutamol, calculated using Hartree-Fock (HF) and density functional theory (DFT) methods with the B3LYP/6-31+G(d,p) basis set, provide insights into their reactivity and stability. The highest occupied molecular orbital (HOMO) and lowest unoccupied molecular orbital (LUMO) energies, along with the energy band gap (difference between LUMO and HOMO), are critical for understanding how these drugs interact at the molecular level. A smaller band gap typically indicates higher reactivity, as electrons require less energy to transition between orbitals, while a larger gap suggests greater stability.

For ipratropium bromide, the HF method yields a HOMO energy of -0.38371 eV and a LUMO of 0.12015 eV, resulting in a band gap of -0.50386 eV (calculated as the absolute difference) (Figure 2). Using DFT, the HOMO (-0.36501 eV) and LUMO (-0.18165 eV) values shift closer in energy, but the reported band gap in the table is -0.18366 eV, which is slightly larger than the HF result (Table 3). This unusual trend could stem from how DFT accounts for electron correlations or specific molecular interactions unique to the structure of ipratropium. In contrast, salbutamol follows the expected pattern: the HF method predicts HOMO energy of -0.29703 eV and a LUMO of 0.13730 eV, resulting in a larger band gap (-0.43 eV) compared to DFT, HOMO energy of -0.22319 eV and a LUMO of -0.02932 eV and its energy band gap (-0.19387 eV), respectively (Figure 3). This aligns with the reputation of DFT for producing smaller and more accurate gaps, due to its incorporation of electron exchange and correlation effects. The narrower DFT gap observed for salbutamol implies higher reactivity, consistent with its role as a bronchodilator that rapidly interacts with biological targets.

 

 

 

 

 

 

The differences between the drugs highlight their distinct pharmacological behaviors. The relatively larger band gap of ipratropium (via both methods) suggests stability, fitting its anticholinergic action requiring sustained binding. The smaller gap of salbutamol, especially with DFT, supports its quick onset in alleviating bronchospasms. These computational insights underscore the importance of method selection (HF vs. DFT) in drug design, as electronic properties directly influence molecular interactions and therapeutic efficacy. While anomalies in data for ipratropium warrant further scrutiny, the overall trends emphasize how theoretical models guide the understanding of drug behavior at the quantum level.

Global chemical reactivity

The global chemical reactivity parameters calculated using DFT with the B3LYP/6-31+G(d,p) basis set for salbutamol and ipratropium bromide offer a deeper understanding of their molecular behavior and potential interactions in biological systems, as shown in Table 4. These parameters such as chemical hardness, softness, electronegativity, chemical potential, and electrophilicity act as "molecular fingerprints" that reveal how these drugs might respond to electron transfer processes, which are critical for their pharmacological activity.

 

 

Salbutamol, a fast-acting bronchodilator, shows lower chemical hardness (η = 0.12655 eV) and higher chemical softness (S = 7.90201) compared to ipratropium bromide. This implies that salbutamol is chemically "softer", meaning that it is more polarizable and reactive, allowing it to readily interact with biological targets like beta-adrenergic receptors in the lungs. Its lower hardness aligns with its role in rapid symptom relief, as softer molecules often participate more easily in electron-sharing reactions. In contrast, ipratropium bromide, an anticholinergic agent, has higher hardness (η = 0.27333 eV) and lower softness (S = 3.65858), indicating it is more rigid and stable. This stability may contribute to its prolonged therapeutic action, as harder molecules resist electronic changes and maintain their structure during interactions.

The electronegativity (χ) values, which measure the tendency of a molecule to attract electrons, are -0.09693 eV for salbutamol and -0.18366 eV for ipratropium bromide. Although both values are negative (common in DFT calculations), the more negative value for ipratropium suggests it has a slightly stronger pull on electrons, potentially stabilizing its interactions with receptors. However, the chemical potential (μ), which reflects the energy change when electrons are transferred, is more negative for ipratropium (-0.13054 J mol-1) than for salbutamol (-0.117035 J mol-1). This implies that ipratropium is thermodynamically more stable, resisting electron loss, while the less negative potential of salbutamol suggests a greater readiness to donate electrons during reactions. Finally, the electrophilicity index shows that the descriptor of how antagonistically a molecule acts as an electron acceptor is higher for ipratropium bromide (0.06150) than for salbutamol (0.03709). This suggests that ipratropium bromide may engage more strongly in charge-driven interactions, possibly enhancing its binding affinity to muscarinic receptors. The lower electrophilicity of salbutamol aligns with its role as a molecule that donates electrons to activate receptors, triggering rapid bronchodilation.

MEP analysis

Molecular electrostatic potential (MEP) mapping provides highly informative insights into molecular nuclear and electronic charge distribution and is used to predict chemical reactivity. The non-covalent interactions describe hydrogen bonds, and the reactivity map showing the most possible nucleophilic region and the electrophilic region was created using MEP.31 On the MEP surface, the electron-rich (negative) region is indicated in red color, the region of electron-poor (positive) in blue and zero electrostatic potential in green. From the points on the molecular surface, the total atomic charges of salbutamol and ipratropium bromide were studied, with the regions of maximum attraction having the highest electron density in the brightest red color, and the regions of maximum repulsion of the lowest electron density having a deep blue to indigo color. A net electrostatic effect is produced at a point in the space of the molecular electrostatic potential (MEP) around the molecule, given by the sum of the total distribution of electron and nuclei charge of the molecule and associates with electronegativity, dipole moment, chemical reactivity and molecular partial charges. The negative region represents the site of electrophilicity and the positive region represents the site of nucleophilicity in the majority of the MEP surfaces. Different colors indicate the concentrations of electrons at the MEP surface. The electron charge density values considered very higher were indicated by red color, followed by orange, yellow, green, and blue, in descending order.

The nucleophilic is observed in the ammonia region. Different points on the electron charge density isosurface of MEP are indicated by the color isosurface in Figure 4. The red color indicates the strong attraction that occurs in the oxygen molecule, whereas the blue color occurs throughout the overall region of ammonia atoms. It can be observed that nucleophilic attack is more predominant than electrophilic attack due to NH3 molecules in both salbutamol and ipratropium bromide compounds. Comparatively, the electrophilic region is observed in the double-bonded oxygen atoms, and the nucleophilic attack was observed in the ammonia atoms in the molecules of the chosen drug, and the atom has zero electrostatic potential.

 

 

Mulliken charges

The analysis of Mulliken atomic charge plays a key role in quantum mechanical studies of the molecular structures, providing insights into the effects of atomic charges on properties such as electronic structure, molecular polarizabilities, dipole moment, etc., of the molecular structure of the compound. The charge distribution over the atoms explains the charge transfer within the molecular structure by the formation of donor and acceptor pairs. The salbutamol molecular structure consists of thirty-nine atoms: nitrogen, oxygen, carbon, and hydrogen atoms. Mulliken net charges were calculated for the salbutamol molecular structure using the Gaussian 09 software, in the gas phase, and the DFT method with the B3LYP/6. Figure 5 represent the Mulliken atomic charges of salbutamol and ipratropium bromide. In the figure, the atomic charge with positive values are shown in green and the atomic charge with negative values are shown in red. The C2 carbon, with the least negative atomic charge (-0.02423), is represented in brown, the C3 carbon with the least negative atomic charge (-0.003481) is indicated in dark brown, and C12 carbon with least positive atomic charge (0.004443) is shown in black. The Mulliken atomic charge graph (Figures 6 and 7) indicated that H32 has the highest positive atomic charge (0.395778), while C12 has the lowest positive atomic charge (0.004443). Meanwhile, N7 exhibits the largest negative atomic charge (-0.707894), with another atomic charge value of 0.382040 also observed. For the ipratropium bromide molecule, the maximum atomic charge is 0.624715, the C22 carbon has the least negative atomic charge (-0.073853), and C24 shows the lowest positive value (0.016326) (Table 5).

 

 

 

 

 

 

 

 

Thermochemistry

The conception of the behavior of the two drugs ipratropium bromide and salbutamol in various applications, such as thermal process, chemical reactions and phase transitions, needs a comprehensive understanding of their thermodynamic parameters and properties. In thermochemistry, the energy distribution and thermal qualities are strongly affected by normal conditions of 298.150 K and 1 atm. The drugs ipratropium bromide and salbutamol showed that the total thermal energy (E) was determined to be 313.079 and 218.267 kcal mol-1, with specific heat capacity at constant volume (Cv) of 74.096 and 54.358 kcal mol-1 and its entropy (S) of 129.453 and 113.415 kcal mol-1, respectively (Table 6). The electronic contributions to the energy and heat capacity of both drugs were also evaluated. Entropy was found to be negligible, indicating the dominance of other degrees of freedom. The translational and rotational degrees of freedom contribute to both Cv and S, with values of 0.889, 2.981, 43.297 and 42.317 kcal mol-1 for translational energy, translational Cv, and translational entropy, respectively. Similarly, the rotational parameters yielded values of 0.889, 2.981, and 35.325, and 33.396 kcal mol-1 for energy, Cv, and entropy, of the drugs ipratropium bromide and salbutamol, respectively. In contrast, the vibrational contribution was notably substantial, with values of 311.302 and 216.489 kcal mol-1 for energy, 68.134 and 48.396 kcal mol-1 K-1 for Cv, and 49.453 and 37.738 kcal mol-1 K-1 for entropy, for ipratropium bromide and salbutamol, respectively. These comparative analyses showed that the findings of the thermal properties, providing valuable insights on the thermodynamic behavior of the system under standard conditions, favor ipratropium bromide over salbutamol.

 

 

Prediction of dipole moment, polarizability and hyperpolarizability

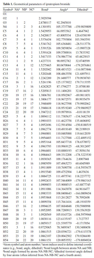
The calculated dipole moment and hyperpolarizability of drug compounds salbutamol and ipratropium bromide were calculated using the DFT/B3LYP method at the basis set of LanLD2Z.32 Due to Kleinmann symmetry, the third rank tensor of hyperpolarizability is described by a three-dimensional matrix, which can be reduced to ten components. The molecular energy works under the applied electric field. By expanding Taylor series, the components of the β coefficient described using the applied electric field, which depends on composed molecular energy, dipole moment, polarizability and hyperpolarizability of the molecules, were measured by finite field of approach and it is given as the following equations:

Polarizability is represented as αtot and hyperpolarizability as β. The dipole moment, polarizability, and hyperpolarizability of the salbutamol and ipratropium bromide were calculated and tabulated as 3.5133 and 13.4545 D. The polarizability and the hyperpolarizability of the title compounds were 123.680 and 318.104 au for salbutamol, and 191.573 and 376.314 au for ipratropium bromide, as shown in Table 7. From the obtained results, the β value is higher in ipratropium bromide compared to salbutamol, which indicates the charge delocalization along the bonding axis, and the results clearly shows that the charge transfer process involves the intermolecular orbital and that the polarizability calculation is the second matrix tensor, which shows the higher interaction capacity of the molecule.

 

 

CONCLUSIONS

In the comparative analysis of ipratropium bromide and salbutamol; ipratropium bromide demonstrates superior pharmacological potential across multiple computational evaluations. The HOMO-LUMO gap, calculated via DFT and HF methods, reveals a wider energy gap for ipratropium bromide, indicating greater kinetic stability and lower reactivity compared to salbutamol. This inherent stability aligns with its prolonged therapeutic action and reduced risk of unintended interactions in biological systems. Global chemical reactivity indices further support this observation, with ipratropium exhibiting higher chemical hardness and lower electrophilicity. These properties suggest enhanced selectivity and a lower likelihood of non-target interactions, potentially translating to fewer side effects. Thermodynamic analyzes, including Gibbs free energy and enthalpy, highlight the favorable thermodynamic stability of the ipratropium, reinforcing its efficiency in maintaining structural integrity under physiological conditions. Mulliken charge analysis underscores a balanced charge distribution in ipratropium, facilitating optimized binding to the receptor. Complementing this, its molecular electrostatic potential (MEP) map reveals well-defined electrophilic and nucleophilic regions, promoting precise interactions with target sites. In contrast, the less distinct charge distribution and MEP profile of salbutamol may contribute to its narrower therapeutic window.

Additionally, the higher dipole moment and polarizability of ipratropium suggest improved solubility and stronger intermolecular interactions, enhancing bioavailability. Its lower hyperpolarizability further indicates structural rigidity, minimizing conformational fluctuations and ensuring consistent activity. Collectively, these computational insights position ipratropium bromide as a more robust and reliable therapeutic agent compared to salbutamol, offering enhanced stability, targeted efficacy, and a safer pharmacological profile. These attributes make it a preferable choice for managing respiratory conditions, emphasizing the importance of molecular design in optimizing drug performance.

 

DATA AVAILABILITY STATEMENT

All data are available in the text.

 

REFERENCES

1. Makhlouf, K.; Weiner, H. L.; Khoury, S. J.; CNS Drugs 2002, 16, 1. [Crossref]

2. Drug Bank, Salbutamol, https://go.drugbank.com/drugs/DB01001, accessed in September 2025.

3. Vet, N. J.; de Winter, B. C. M.; Koninckx, M.; Boeschoten, S. A.; Boehmer, A. L. M.; Verhallen, J. T.; Plötz, F. B.; Vaessen-Verberne, A. A.; van der Nagel, B. C. H.; Knibbe, C. A. J.; Clin. Pharmacokinet. 2020, 59, 257. [Crossref]

4. Boulton, D. W.; Fawcett, J. P.; Br. J. Clin. Pharmacol. 1996, 41, 35. [Crossref]

5. World Health Organization (WHO); WHO Model List of Essential Medicines, 22nd List, WHO: Geneva, Switzerland, 2021.

6. Ullmann, N.; Caggiano, S.; Cutrera, R.; Ital. J. Pediatr. 2015, 41, A74. [Crossref]

7. Taylor, D. R.; Town, G. I.; Herbison, G. P.; Boothman-Burrell, D.; Flannery, E. M.; Hancox, B.; Harré, E.; Laubscher, K.; Linscott, V.; Ramsay, C. M.; Thorax 1998, 53, 744. [Crossref]

8. Emeryk, A.; Emeryk-Maksymiuk, J.; Adv. Respir. Med. 2020, 88, 443. [Crossref]

9. Kim, J. S.; Story, R. E. In Allergy and Asthma: Practical Diagnosis and Management, 2nd ed.; Mahmoudi, M., ed.; StatPearls Publishing: Tampa, 2021, p. 585.

10. Libretto, S. E.; Arch. Toxicol. 1994, 68, 213. [Crossref]

11. Price, A. H.; Clissold, S. P.; Drugs 1989, 38, 77. [Crossref]

12. Neville, E.; Corris, P. A.; Vivian, J.; Nariman, S.; Gibson, G. J.; Br. Med. J. 1982, 285, 796. [Crossref]

13. Al-Hillawi, A. H.; Hayward, R.; Johnson, N. M.; Br. Med. J. 1984, 288, 367. [Crossref]

14. Collier, J. G.; Dobbs, R. J.; Williams, I.; Br. J. Clin. Pharmacol. 1980, 9, 273. [Crossref]

15. Udezue, E.; D'Souza, L.; Mahajan, M.; The American Journal of Emergency Medicine 1995, 13, 168. [Crossref]

16. Huang, K.; Guo, Y.; Kang, J.; An, L.; Ther. Adv. Respir. Dis. 2019, 13, 1. [Crossref]

17. Tashkin, D. P.; Int. J. Chronic Obstruct. Pulm. Dis. 2016, 11, 2585. [Crossref]

18. Gosens, R.; Gross, N.; Eur. Respir. J. 2018, 52, 1701247. [Crossref]

19. Connolly, C. K.; Chan, N. S.; Br. J. Dis. Chest 1987, 81, 55. [Crossref]

20. Braun, S. R.; McKenzie, W. J.; Arch. Intern. Med. 1989, 149, 544. [Link] accessed in September 2025

21. Zheng, Y.; Zhu, J.; Liu, Y.; Lai, W.; Lin, C.; Qiu, K.; Br. Med. J. 2018, 363, k4388. [Crossref]

22. Easton, P. A.; Jadue, C.; Dhingra, S.; N. Engl. J. Med. 1986, 315, 735. [Crossref]

23. Chhabra, S. K.; Pandey, K. K.; J. Asthma 2002, 39, 375. [Crossref]

24. Jouypazadeh, H.; Farrokhpour, H.; Vessally, E.; Comput. Theor. Chem. 2023, 1230, 114358. [Crossref]

25. Hekim, S.; Azeez, Y. H.; Akpinar, S.; Journal of Physical Chemistry and Functional Materials 2019, 2, 29. [Link] accessed in September 2025

26. Mamad, D. M.; Omer, R. A.; Othman, K. A.; Corros. Rev. 2023, 41, 703. [Crossref]

27. Zhan, C. G.; Nichols, J. A.; Dixon, D. A.; J. Phys. Chem. A 2003, 107, 4184. [Crossref]

28. Shahab, H.; Husain, Y.; Passer Journal of Basic and Applied Sciences 2021, 3, 167. [Link] accessed in September 2025

29. Rasul, H. H.; Mamad, D. M.; Azeez, Y. H.; Omer, R. A.; Omer, K. A.; Comput. Theor. Chem. 2023, 1225, 114177. [Crossref]

30. Ghasemi, A. S.; Deilam, M.; Sharifi-Rad, J.; Ashrafi, F.; Hoseini-Alfatemi, S. M.; Cell. Mol. Biol. 2015, 61, 110. [Crossref]

31. Kovacic, P.; Wakelin, L. P. G.; Anti-Cancer Drug Des. 2001, 16, 175. [Link] accessed in September 2025

32. Sarmah, P.; J. Mol. Graphics Modell. 2020, 100, 107682. [Crossref]

 

Editor handled this article: Nelson H. Morgon

On-line version ISSN 1678-7064 Printed version ISSN 0100-4042
Qu�mica Nova
Publica��es da Sociedade Brasileira de Qu�mica
Caixa Postal: 26037 05513-970 S�o Paulo - SP
Tel/Fax: +55.11.3032.2299/+55.11.3814.3602
Free access

GN1