JBCS



20:26, qua out 22

Acesso Aberto/TP



Artigo


Análise espacial e quimiométrica da distribuição de espécies metálicas em solos alagáveis e não alagáveis da Bacia do Médio Rio Negro, Amazônia
Spatial and chemometric analysis of the distribution of metal species in flooded and non-flooded soils from the Middle Negro River Basin, Amazon

Mirela Cristina de Oliveira CordovilI; André Gustavo Ribeiro MendonçaII; Wander Gustavo BoteroIII; Ademir dos SantosI; Julio Cesar RochaI; Kaline de MelloIV; Rogério Hartung ToppaV; Luciana Camargo de OliveiraVI,*

IInstituto de Química, Universidade Estadual Paulista, R. Francisco Degni, s/n, 14800-900 Araraquara - SP, Brasil
IIUniversidade Federal de Alagoas, Campus A. C. Simões, Av. Lourival Melo Mota, s/n, Tabuleiro do Martins, 57072-970 Maceió - AL, Brasil
IIIUniversidade Federal de Alagoas, Campus Arapiraca, Av. Manoel Severino Barbosa, s/n, 57309-005 Arapiraca - AL, Brasil
IVDepartamento de Engenharia de Biossistemas, Escola Superior de Agricultura

Recebido em 17/07/2013
Aceito em 05/02/2014
Publicado na web em 10/04/2014

Endereço para correspondência

*e-mail: lcamargo@ufscar.br

RESUMO

This study used chemometric tools and a Geographic Information System (GIS) to determine the influence of organic matter and anthropogenic activity on the distribution of metal species between two major communities of the Middle Negro River Basin-AM. Higher concentrations of metal species were determined in flooded regions. The chemometric analysis showed the affinity of organic matter for potentially toxic metals, indicating its selectivity. GIS spatial analysis has shown that proximity to urban areas is a variable that is likely to influence the pattern of concentration of organic matter, and consequently the distribution of metal species between flooded and non-flooded areas.

Palavras-chave: soils; metals; chemometric; Amazon.

INTRODUÇÃO

O desenvolvimento econômico associado à busca pela melhoria da qualidade de vida aumentou consideravelmente a liberação de poluentes ao ambiente, comprometendo sistemas aquáticos e terrestres. Dentre os diversos poluentes destacam-se os metais, pertencentes a uma classe especial de substâncias que possuem ampla aplicabilidade e toxicidade, não podendo ser degradados de forma química ou biológica, ciclando pelo ambiente. Um dos principais complexantes orgânicos naturais é a matéria orgânica, possuindo diferentes grupos funcionais em sua estrutura que lhe conferem elevada ação quelante, influenciando na disponibilidade dessas espécies nos diferentes compartimentos ambientais.1,2

Neste contexto, estudos em regiões com grande heterogeneidade ambiental, com diferentes teores de matéria orgânica, em diferentes matrizes, são promissores para o entendimento do comportamento de espécies metálicas no ambiente. Um exemplo é a região Amazônica, onde se encontram rios de águas brancas e pretas e solos de diferentes características físico-químicas.3

O tributário mais importante do rio Amazonas é o rio Negro, intitulado assim devido aos elevados teores de matéria orgânica presente em suas águas, sendo o principal constituinte da Bacia do Rio Negro - AM. Essa bacia ocupa 10% da Bacia Amazônica, sendo caracterizada por uma grande diversidade de rios, classificados como rios de águas pretas, brancas e claras. Além disso, apresentam grande diversidade de solos com regiões alagáveis e não alagáveis.3-5 Investigações recentes mostraram que solos com elevado teor de matéria orgânica coletados em regiões alagáveis retém maiores concentrações de mercúrio do que solos de regiões não alagáveis, mostrando que regiões alagáveis e não alagáveis podem contribuir de maneiras distintas nos ciclos biogeoquímicos de espécies metálicas.6 Estudos na Bacia do Rio Negro - AM mostram que a sazonalidade das condições hidrológicas produzem variações nos teores de carbono orgânico dissolvido afetando diretamente a dinâmica do mercúrio gasoso dissolvido e, consequentemente, o ciclo do mercúrio. Diversas variáveis naturais, tais como pH, potencial redox e intensidade de radiação solar podem promover condições adicionais para a fotoxidação do mercúrio.7 Assim, diversas variáveis ambientais podem influir nos ciclos biogeoquímicos de espécies metálicas.

Nos solos, a adsorção e dessorção de espécies metálicas têm sido associadas com propriedades do solo, incluindo pH, matéria orgânica, capacidade de troca catiônica, potencial redox, teores de argila, silte, areia, óxidos de ferro, alumínio e manganês.8-12 Estudos mostram correlação positiva entre a adsorção máxima de cádmio e teores de argila, silte, óxidos de ferro e alumínio total e correlação negativa para areia, em um mesmo horizonte. Para íons cobre, são descritas correlações positivas com a saturação por alumínio e com os teores de argila e óxidos de alumínio total.8 Assim, dependendo das características físico-químicas dos solos haverá maior ou menor adsorção de determinada espécie metálica. Outros experimentos de adsorção de metais evidenciaram ausência de correlação entre a capacidade máxima de adsorção de chumbo e teores de goethita (óxidos de ferro, comumente utilizados em experimentos de adsorção)9 Entretanto, outros autores evidenciaram correlação positiva dessa partícula mineral com retenção de espécies metálicas.11 Para facilitar o entendimento da resposta dos ciclos biogeoquímicos às variações ambientais, tanto naturais como antrópicas, ferramentas de geoprocessamento podem ser utilizadas para facilitar a visualização e manipulação de dados com base em imagens e mapas, integrando dados coletados em campo, dados secundários e dados modelados nos sistemas computacionais. O geoprocessamento permite analisar as relações entre os diversos componentes presentes na paisagem, representados em uma base de dados georreferenciados, transformando dados em informações importantes ao diagnóstico ambiental.13

Assim, neste trabalho verificou-se a influência de diferentes tipos de solos coletados em regiões de águas pretas e brancas, em regiões alagáveis e não alagáveis, na distribuição de espécies metálicas essenciais e potencialmente tóxicas. Ferramentas quimiométricas (Análise Hierarquica de Agrupamento-AHA) e de geoprocessamento foram utilizadas para verificar a influência da matéria orgânica e da atividade antrópica na distribuição de espécies metálicas (Fe, Zn, Cr, Cu, Mn, Cd, Al e Pb) entre duas comunidades importantes da Bacia do Médio Rio Negro - AM. O uso do geoprocessamento permitiu a análise espacial da distribuição das espécies metálicas, associando-a aos padrões naturais da paisagem e à ocupação antrópica da região.

 

EXPERIMENTAL

Reagentes

Utilizaram-se reagentes com grau e pureza analítica (Merck, Sigma e Vetec) e as soluções foram preparadas com água desionizada (sistema Milli-Q, Millipore).

Coleta e preparo das amostras

As amostras foram coletadas em sete diferentes pontos entre a comunidade de Carvoeiro - AM e a cidade de Barcelos - AM, em diferentes tipos de solos de regiões alagáveis e não alagáveis (Tabela 1 e Figura 1). Para cada ponto, as amostras simples A1-D4 foram coletadas utilizando trincheiras abertas com cavadeira. Após mistura e homogeneização das amostras simples foram retirados cerca de 500 g de cada mistura, constituindo as respectivas amostras compostas A-D.

 

 

 


Figura 1. Pontos de coleta de amostras de solos entre a comunidade de Carvoeiro-AM e a cidade de Barcelos-AM, em diferentes tipos de solos de regiões alagáveis e não alagáveis

 

As amostras de solos foram transferidas para bandejas de madeira e secas ao ar até atingirem massa constante e peneiradas em peneira de náilon de 2 mm.

Determinação do teor de matéria orgânica nas amostras de solos

Em cadinho, previamente tarado, 0,50 g de amostra seca foi calcinado em mufla a 750 ºC por 4 horas. O teor de matéria orgânica foi determinado pela diferença de massa após calcinação, considerando-se o resíduo final de calcinação como matéria inorgânica.14 As determinações foram feitas em triplicatas.

Extração de substâncias húmicas de solos

As substâncias húmicas foram extraídas utilizando extração alcalina, que de acordo com a Sociedade Internacional de Substâncias Húmicas (IHSS) é o procedimento amplamente utilizado por pesquisadores da área.15

Análise elementar

Os teores de carbono e nitrogênio foram determinados em triplicata em equipamento Thermo Finigam Flash EA1112.

Determinação dos teores de argila

Os teores de argila foram determinados pelo método da pipetagem, conforme proposto por Suguio.16

Preparo de amostras de solos para determinações de Pb, Al, Cd, Cr, Mn, Cu, Zn e Fe

Transferiram-se aproximadamente 2,0 g de amostra seca para tubo de digestão, adicionaram-se 15,0 mL de ácido nítrico concentrado e, sob aquecimento, 5,0 mL de solução de peróxido de hidrogênio 30 % (v/v). Aqueceu-se a mistura a 120 ºC até oxidação completa da matéria orgânica. Após filtração, a solução foi transferida para balão volumétrico de 100,00 mL. As digestões das amostras para análise foram feitas em triplicata.17

Determinações das espécies metálicas Pb, Cd, Cr, Mn, Cu, Zn e Fe por espectrometria de absorção atômica por chama (FAAS)

As determinações das espécies metálicas Pb, Cd, Cr, Mn, Cu, Zn e Fe foram feitas em espectrômetro de absorção atômica Perkin Elmer, modelo Analyst 300, com condições operacionais otimizadas, como indicadas pelo fabricante.

Soluções padrão dos metais foram preparadas por diluição a partir de solução padrão estoque de concentração 1000 mg L-1, em meio de ácido nítrico (1%), para elaboração das curvas analíticas.

Determinação de alumínio por espectrometria de emissão atômica com plasma de argônio induzido (ICP-OES)

As determinações dos teores de alumínio foram feitas em espectrômetro de emissão atômica com plasma de argônio induzido (ICP OES), marca: Thermo Jarrel Ash modelo: IRIS - DUO nas melhores condições operacionais indicadas pelo fabricante.

Soluções padrão utilizadas para a curva analítica foram preparadas por diluição a partir do padrão para emissão atômica Titrisol®, Merck.

Análise estatística multivariada e espacial

Para a análise estatística dos resultados foi utilizado o programa STATISTICA, versão 5.0, Tulsa: USA18 As análises estatísticas foram feitas normalizando os dados, utilizando distância euclidiana. Para subsidiar a análise da distribuição dos agrupamentos estatísticos, os pontos de coleta e os aglomerados urbanos foram mapeados com o auxílio do SIG MAPInfo 9.0. Foram calculadas as distâncias dos pontos de coleta em relação aos aglomerados urbanos com a finalidade de subsidiar as discussões sobre as concentrações das espécies metálicas em ambientes alagáveis e não alagáveis.

 

RESULTADOS E DISCUSSÃO

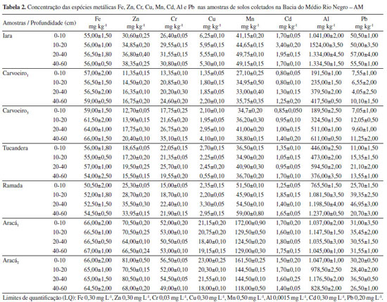
As concentrações das espécies metálicas (Fe, Zn, Cr, Cu, Mn, Cd, Al e Pb) determinadas nas amostras de solos coletados na Bacia do Médio Rio Negro - AM (Tabela 2) mostraram que, de maneira geral, as maiores concentrações das espécies metálicas foram obtidas em solos de regiões alagáveis. Provavelmente, isso se deve ao fato que essas regiões ficam submersas durante longos períodos de tempo e, consequentemente, ficam menos disponíveis para que ocorram reações na interface solo/atmosfera, possuindo tempo suficiente para rearranjos intra e/ou intermoleculares das espécies metálicas com complexantes orgânicos naturais presentes nos solos, tais como as substâncias húmicas.

 

 

Na Tabela 3 estão apresentados os resultados dos teores de matéria orgânica (%), substâncias húmicas (%), argila (%) e razão C/N em função da profundidade das amostras de solos coletadas na Bacia do Médio Rio Negro - AM.

 

 

Os solos com maiores teores de matéria orgânica apresentaram as maiores concentrações de espécies metálicas, sendo que os teores de matéria orgânica diminuíram em função da profundidade, perfil esperado para a maioria dos solos. Dessa forma, as concentrações de espécies metálicas também diminuíram em função da profundidade.

A razão C/N é um indicativo do grau de humificação da matéria orgânica presente em solos e sedimentos.19 Os valores das razões C/N variaram entre 8 e 29, indicando diferença significativa no grau de humificação dos tipos de solos coletados. A porcentagem de argila variando entre 18 e 55% também indica que os solos possuem características estruturais bem distintas como indicado na Tabela 3.

Para melhor entendimento dos resultados obtidos foram feitas análises estatísticas multivariadas das amostras (AHA) e seus parâmetros estudados, bem como uma análise espacial com base em técnicas de geoprocessamento. A análise estatística multivariada dos dados (AHA) feita para as amostras coletadas mostrou que ocorreu a formação de 3 grupos distintos A, B e C (Figura 2).

 


Figura 2. Dendrograma das amostras de solos coletados na Bacia do Médio Rio Negro-AM

 

As amostras do Grupo A (A1 e A2) foram coletadas em locais próximos e são banhadas por rios de águas brancas, apresentando solos com características semelhantes e se agrupando em função do ponto de coleta. As amostras do Grupo A estão localizadas a aproximadamente 24 km do aglomerado urbano de Carvoeiro, e devido à sua localização em relação à ocupação humana e a corrente natural do corpo d'água (Figura 3) pode-se descartar qualquer tipo de influência direta desse tipo de ambiente sobre as variáveis analisadas.

 


Figura 3. Distribuição espacial dos pontos de coleta em regiões alagáveis e não alagáveis em relação aos ambientes urbanizados de ocorrência na área de estudo

 

O Grupo B é formado por amostras coletadas em regiões não alagáveis (Tucandera - Tu e Carvoeiro 1 - C1) e pelas amostras coletadas no ponto Carvoeiro 3 (C3), o qual está localizado em região alagável, no entanto é uma região próxima a Carvoeiro 1 (Figura 1). Além de serem regiões semelhantes, possivelmente o agrupamento se deu devido aos menores teores de matéria orgânica desses pontos de coleta, ou mesmo pela proximidade das ocupações humanas locais (Figura 4) da área alagável amostrada, visto que esse ponto de coleta se encontra a 0,3 km de Carvoeiros (C3), assim como os pontos não alagáveis desse agrupamento que se encontram a 0,7 km de Carvoeiros (C1) e a 14,6 km a jusante de Barcelos (Tu).

 


Figura 4. Dendrograma das variáveis estudadas nas amostras de solos coletados na Bacia do Médio Rio Negro-AL

 

As amostras do Grupo C (Ramada - RA; Iara - I) foram coletadas em regiões alagáveis por águas pretas, mostrando que essas amostras mesmo coletadas em regiões bem distantes geograficamente, com aproximadamente 80 km entre os pontos (Figura 1), apresentam comportamento semelhante. Isso, possivelmente, deve-se ao fato de ficarem submersas por longos períodos e por possuírem elevados teores de matéria orgânica, podendo formar complexos estáveis com as espécies metálicas estudadas, além de se encontrarem afastadas das margens associadas às ocupações humanas, sendo que o ponto Ramada (Ra) se encontra a mais de 20 km a jusante de Barcelos, e o ponto Iara (I) se encontra a aproximadamente 11 km a montante de Carvoeiros, o que possivelmente faz com que as ocupações humanas locais pouco influenciam nas variáveis analisadas (Figura 3). Os elevados valores de matéria orgânica também podem ser responsáveis pelas maiores concentrações de Cd e Pb observadas em Iara e Ramada, visto que esses pontos de coleta estão localizados afastados das atividades antrópicas, mas, como descrito, em áreas alagadas por longo período. Para três rios Maranhenses na Amazônia Legal,20 observou-se forte interação entre a matéria orgânica dissolvida e íons de metais potencialmente tóxicos (Cu(II); Cd(II) e Pb(II)). Os resultados observados indicam que provavelmente esses solos apresentam características intrínsecas, o que sugere que as concentrações de Cd e Pb são de origem natural.

De todas as espécies metálicas analisadas, apenas Cd apresentou concentrações acima dos Valores de Prevenção, que é a concentração de valor limite de determinada substância no solo, e de Investigação, que é a concentração de determinada substância no solo ou na água subterrânea acima da qual existem riscos potenciais, diretos ou indiretos, à saúde humana, considerando um cenário de exposição padronizado, indicados no Anexo II da Resolução CONAMA 420/09.21 Entretanto, para o Estado do Amazonas não foram determinados os Valores de Referência de Qualidade não sendo possível afirmar se há algum tipo de contaminação na área de estudo.

No dendograma dos parâmetros estudados observa-se o grupo A formado pela matéria orgânica e os metais Pb, Al e Cd e o Grupo B formado pelo agrupamento dos metais Cr, Mn, Zn, Cu e Fe. Observa-se também que os teores de argila se relacionam com os grupos A e B (Figura 4).

Uma possível explicação da formação do grupo A é a seletividade da matéria orgânica, isto é, a preferência da matéria orgânica por determinadas espécies metálicas. Estudos da literatura mostram que a matéria orgânica possui maior afinidade pelos metais potencialmente tóxicos e menor afinidade pelos metais essenciais.19 Essa seletividade está relacionada com os tipos de grupos funcionais presentes na matéria orgânica, principalmente nas substâncias húmicas (fração da MO).22 Uma teoria plausível para essa relação da MO é a teoria de Pearson. De acordo com Pearson (1963),23 as espécies químicas podem ser classificadas como ácidos e bases "duros" e "moles" e os conceitos de "dureza" e "maciez" ajudam a interpretar parte dos mecanismos envolvidos nas reações de complexação. A tendência de os ácidos "moles" ligarem-se às bases "moles" e a dos ácidos "duros" ligarem-se às bases "duras" explica a forma que os elementos são encontrados na crosta terrestre. Nesta classificação existem duas classes principais: os elementos litofílicos e os elementos calcofílicos. Os elementos litofílicos são cátions duros, entre eles o magnésio, alumínio, lítio, cálcio, ferro e manganês, possuindo grande afinidade por bases duras, como O2-. Por outro lado, os elementos calcofílicos (ácidos moles) são frequentemente encontrados em combinação com grupos aminos e cianos (bases moles) e incluem cobre, chumbo, zinco, cádmio, dentre outros. Os teores de argila estão se relacionando com os dois grupos e, consequentemente, com todas as espécies metálicas, devido principalmente a sua elevada área superficial, sendo a argila considerada um importante fator na adsorção de espécies metálicas em solos.

 

CONCLUSÃO

Pelos resultados obtidos pode-se inferir que diferentes tipos de solos, mas com teores de matéria orgânica semelhantes, apresentam comportamento similares na distribuição de espécies metálicas, evidenciando a importância da matéria orgânica na distribuição das espécies metálicas em solos.

De maneira geral foram determinadas maiores concentrações das espécies metálicas estudadas em regiões alagáveis, corroborando com os resultados descritos na literatura. Além disso, pode-se observar pela análise estatística multivariada a afinidade da matéria orgânica pelos metais potencialmente tóxicos, indicando sua seletividade. Isso ocorre devido à presença de determinados grupos funcionais presentes em sua estrutura, favorecendo a afinidade.

A análise espacial permitiu inferir que a proximidade com aglomerados urbanos é uma variável que influencia no teor de matéria orgânica e, consequentemente, na distribuição de espécies metálicas entre regiões alagáveis e não alagáveis.

 

REFERÊNCIAS

1. Rocha, J. C.; Rosa, A.H.; Cardoso, A. A.; Introdução a Química Ambiental, 2a ed., Bookman: Porto Alegre, 2009.

2. Sodré, F. F.; Schnitzler, D. C.; Scheffer, E. W. O.; Grassi, M. T.; Aquat. Geochem. 2012, 18, 389.

3. Oliveira, L. C.; Botero, W. G.; Santos, A.; C ordovil, M. C. O.; Rocha, J. C.; Silva, H. C.; Quim. Nova. 2011, 34, 1303.

4. Borsoi, A. M. F; Torres, S. D. A.; A política de recursos hídricos no Brasil, Revista do BNDES, BNDES: Rio de Janeiro, 1997. http://www.bndes.gov.br/SiteBNDES/bndes/bndes_pt/Institucional/Publicacoes/Consulta_Expressa/Setor/Meio_Ambiente/199712_13.html, acessada em Abril 2013.

5. Silva, G. S.; Bisinoti, M. C.; Fadini, P. S.; Magarelli, G.; Jardim, W. F.; Fostier, A. H.; J. Braz. Chem. Soc. 2009, 20, 1127.

6. Oliveira, L. C.; Serudo, R. L.; Botero, W. G.; Mendonça, A. G. R.; Santos, A.; Rocha, J. C.; Carvalho Neto, F. S.; Quim. Nova. 2007, 30, 274.

7. Jardim, W. F.; Bisinoti, M. C.; Fadini, P. S.; Silva, G. S.; Aquat. Geochem. 2010, 16, 267.

8. Alleoni, L. R. F.; Iglesias, C. S. M.; Mello, S. C.; Camargo, O. A.; Casagrande, J. C.; Lavorenti, N. A.; Acta Sci. 2005, 27, 729.

9. Pierangeli, M. A. P.; Guilherme, L. R. G.; Curi, N.; Silva, M. L. N.; Oliveira, L. R.; Lima, J. M; R. Bras. Ci. Solo. 2001, 25, 279.

10. Zeng, F.; Ali, S.; Zhang, H.; Ouyang, Y.; Qiu, B.; Wu, F.; Zhang, G.; Environ. Pollut. 2011, 159, 84.

11. Acosta, J. A.; Cano, A. F.; Arocena, J. M.; Debela, F.; Martínez-Martínez, S.; Geoderma 2009, 149, 101.

12. Ramos D. G. B., Mendonos, J. G.; Polivanov, H.; Geochimica Brasiliensis 2007, 21, 282.

13. Silva, J. X.; Zaidan, R. T.; Geoprocessamento & análise ambiental, 1a ed., Bertrand Brasil: Rio de Janeiro, 2004.

14. Van Raij, B.; Andrade, J. C.; Cantarella, H.; Quaggio, J. A.; Análise química para avaliação da fertilidade de solos tropicais, 1st ed., Instituto Agronômico: Campinas, 2001.

15. http://www.ihss.gatech.edu/soilhafa.html, acessada em 05/06/2013.

16. Suguio, K.; Introdução à sedimentologia, 1st ed., Blücher: São Paulo, 1973.

17. Alloway, B. J.; Heavy metals in soils, Chapman & Hall: New York, 1995

18. STATISTICA 5.0 for windows, Tulsa, Statsoft, 1995.

19. Botero, W. G.; Oliveira, L. C.; Rocha, J. C.; Rosa, A. H.; Santos, A.; J. Hazard. Mater. 2010, 177, 307.

20. Bezerra, P. S. S.; Takiyama, L. R.; Bezerra, C. W. B.; Acta Amazonica 2009, 39, 639.

21. CONAMA, Resolução no 420, de 28 de dezembro de 2009 Publicado no DOU nº 249, 2009, 81.

22. Goveia, D.; Rocha, J. C.; Oliveira, L. C.; Morais, L. C.; Campos, V.; Fraceto, L. F.; Rosa, A. H.; Quim. Nova. 2011, 34, 753.

23. Pearson, R. G.; J. Am. Chem. Soc. 1963, 85, 3533.

On-line version ISSN 1678-7064 Printed version ISSN 0100-4042
Qu�mica Nova
Publica��es da Sociedade Brasileira de Qu�mica
Caixa Postal: 26037 05513-970 S�o Paulo - SP
Tel/Fax: +55.11.3032.2299/+55.11.3814.3602
Free access

GN1