JBCS



16:10, qui out 23

Acesso Aberto/TP



Nota Técnica


Considerações técnicas quanto ao uso da voltametria de varredura escalonada em processos adsortivos
Technical considerations regarding the use of staircase sweep voltammetry

Khallil Hassan Ahmad Ali FernandesI; Joao Paulo Tenório da Silva SantosII; Vinicius Del ColleII; Janaina Souza-GarciaI; Camilo Andrea AngelucciI,*

IUniversidade Federal do ABC, Centro de Ciências Naturais e Humanas, Av. dos Estados, 5001, 09210-580 Santo André - SP, Brasil
IIUniversidade Federal de Alagoas, Campus Arapiraca, Av. Manoel Severino Barbosa, s/n, Bom Sucesso, 57309-005 Arapiraca - AL, Brasil

Recebido em 26/08/2014
Aceito em 15/10/2014
Publicado na web em 19/12/2014

Endereço para correspondência

*e-mail: camilo.angelucci@ufabc.edu.br

RESUMO

Cyclic voltammetry has become one of the most useful tools in modern electrochemistry, but the use of digital potentiostats should be treated with caution by users. Staircase Voltammetry utilizes some parameters to build up the potential ramp. However, for some electrochemical processes, the signal response can be different compared with that acquired using true linear sweep (analogic signal). In this work, the role of SCV parameters in current response during the hydrogen electrochemical adsorption/desorption reaction on a platinum surface was studied. In addition, the transient current in each step comprising the ramp was investigated. The results showed that with a step height of 2 mV, the SCV response matches that recorded by linear sweep voltammetry. From the transient current study, two kinds of capacity were identified: non-faradaic and faradaic charge.

Palavras-chave: staircase sweep voltammetry; hydrogen adsorption; digital signal; analogic signal.

INTRODUÇÃO

Com a popularização de softwares e equipamentos digitais para uso científico, é cada vez mais comum que seus usuários se abstenham de compreender os algoritmos ou parâmetros utilizados para o tratamento ou aquisição dos dados. Esse comportamento é mais que natural, pois os criadores, de uma forma geral, propõem um produto que seja economicamente acessível e que se adeque às necessidades mais corriqueiras dos seus usuários, proporcionando maior rapidez, eficiência e, consequentemente, produtividade. Por outro lado, com a crescente dependência do uso de softwares e equipamentos para solução/execução de problemas, muitos dos usuários, seja por comodidade ou mesmo desconhecimento, utilizam-se dessas ferramentas sem se questionar se tal produto se adequa à sua necessidade e se seu uso poderia gerar resultados equivocados.

Mais especificamente, a Eletroquímica obteve um crescimento expressivo nas últimas três décadas como consequência de uma combinação de instrumentação eletrônica moderna e o desenvolvimento de novas teorias. Esse crescimento ocorreu em grande parte devido à popularização do potenciostato, equipamento capaz de medir (estudar) eventos que ocorram em um eletrodo apenas: o eletrodo de trabalho.

O fato é que, nos potenciostatos mais modernos, o uso de circuitos analógicos para geração de sinais está cada vez mais ausente, sendo suprido por circuitos digitais que são controlados por softwares. O ganho operacional pelo uso desses softwares para gerar protocolos experimentais diversos é imenso, sendo, neste caso, a qualidade e variedade de protocolos dependentes apenas da empresa ou programador que escreveu o programa.

De modo geral, a maioria das técnicas eletroquímicas se baseia em análises da resposta do sistema ante a aplicação de uma perturbação sobre este. Tal perturbação pode ser saltos de potencial, ou uma função que gere um potencial variável com o tempo, como uma rampa linear, pulso, senoidal ou qualquer função arbitrária. As denominações dadas a esses sinais, ou a combinação deles, revelam a natureza do sinal (por exemplo: varredura linear, voltametria de onda quadrada, voltametria de pulso diferencial, voltametria cíclica, etc.). A variedade de combinações é infinita e sua utilização depende do problema a ser abordado.

A aplicação desses sinais pode ser gerada a partir de duas fontes distintas: analógica ou digital.1 Brevemente, a analógica se caracteriza por um sinal contínuo no tempo podendo assumir "infinitos" valores em um determinado intervalo; é a que apresenta melhores resultados quanto à composição do sinal e, portanto, a que gera menores dificuldades de tratamento posterior. O sinal digital, por sua vez, se distingue do analógico por ser formado por uma sequência de valores discretos (descontínuos) no tempo, ou melhor, o sinal resultante é uma aproximação escalonada da forma do sinal que se deseja gerar, consequentemente oferecem maior facilidade de processamento, conversão de formatos e minimização de geração de ruídos. Um exemplo bastante ilustrativo está mostrado na Figura 1. Vale destacar que ambos os sinais têm sua importância e validade, no entanto, é necessário conhecer e avaliar o processo eletroquímico que será estudado, uma vez que o efeito do formato do sinal gerado, bem como a aquisição da resposta, pode levar a resultados distintos.

 


Figura 1. Representação de um sinal analógico e a composição do mesmo na sua forma digital para uma função arbitrária contínua (----) e onda triangular periódica (—)

 

Dentre as técnicas eletroquímicas, podemos considerar a voltametria cíclica (VC) como a mais utilizada para a aquisição de informações qualitativas e/ou quantitativas sobre reações eletroquímicas. Inspirados nessa versatilidade que a técnica proporciona, há um grande número de livros que explicam a teoria da VC com a profundidade que o tema exige.2-4 No entanto, não é incomum um pesquisador que se utiliza da técnica possuir pouco conhecimento sobre os conceitos básicos, já que o perfil voltamétrico de uma resposta eletroquímica, geralmente, se mostra bastante ilustrativo quando analisado do ponto de vista puramente qualitativo. Por outro lado, nota-se, do ponto de vista da análise instrumental, que a técnica da voltametria cíclica é comumente tratada de maneira superficial nos livros de eletroquímica moderna.

Essa nota técnica é destinada a trazer algumas informações quanto à influência da composição do sinal (analógico ou digital) em experimentos de voltametria cíclica (VC). O sistema de estudo utilizado, platina policristalina em meio acido, foi escolhido pelo extenso uso desse metal nas mais diversas áreas da eletroquímica. Devemos ressaltar que processos de adsorção presentes no perfil voltamétrico da platina (ou outros experimentos que envolvam processos adsortivos) são corriqueiros em experimentos eletroquímicos e merecem especial atenção do experimentador quanto ao protocolo experimental utilizado e, consequentemente, à resposta adquirida.

A seguir, apresentamos uma breve explicação dos formatos de onda em uma voltametria cíclica e suas implicações práticas na interpretação de resultados.

A voltametria cíclica e o formato da onda

A VC consiste na aplicação de uma onda periódica triangular entre um intervalo de potencial,5 como mostra a Figura 1. Contudo, como já apontado, não é possível aplicar um sinal verdadeiramente linear a partir do uso de equipamentos digitais, mas sim, uma sequência de pulsos, de modo a constituir um formato mais próximo possível de uma rampa contínua. Para diferenciar esses dois tipos de sinais na voltametria cíclica dá-se o nome de: voltametria de varredura linear (LSV) e voltametria de varredura escalonada (SCV),6 gerados a partir de sinais analógico e digital, respectivamente. Enquanto que na LSV a velocidade de varredura (υ) e os limites de potencial são os parâmetros utilizados para definir o protocolo experimental, na SCV outros parâmetros adicionais devem ser definidos pelo usuário.

Analisando a Figura 1 mais atentamente, podemos notar que, na SCV, além dos potenciais inicial e final, para cada passo (degrau) a altura (ΔE) e a largura do degrau (τ) devem ser definidas. Uma representação pictórica da composição de cada degrau está presente na Figura 2.

 


Figura 2. Representação da composição do sinal da SCV. As definições de ΔE, α e τ estão descritas no texto

 

A partir da Figura 2 fica claro que velocidade de varredura (υ) fica definida pela equação 1:

Como resposta à aplicação do sinal escalonado (perturbação), a corrente é registrada para cada degrau e, assim, compõe os dados que formam o voltamograma cíclico. No entanto, na SCV, tecnicamente a corrente pode ser adquirida em diferentes períodos ao longo do degrau (τ) no qual se mantém um potencial constante. Usualmente a corrente é registrada durante um intervalo, aqui definido como parâmetro de amostragem (α), após um período de estabilização (τ'). O parâmetro de:

Sendo τ' o tempo entre a aplicação do pulso e o início da aquisição da corrente e τ o tempo total do degrau.

O parâmetro de amostragem (α) pode ser interpretado como a fração da largura do degrau em que a corrente será registrada. O parâmetro α pode assumir valores de 0 a 1, ou seja, para valores próximos à unidade, o conjunto de dados começa a ser registrado logo após o início do degrau, ao passo que um valor de α próximo de 0 indica que os dados são amostrados ao fim de cada degrau. Os efeitos de α, ΔE e τ na resposta eletroquímica são extremamente importantes e devem ser levados em consideração antes de usar o método para estudos fundamentais de processos eletródicos. Contudo, sem a escolha adequada dos parâmetros citados, não há porque esperar a existência de uma equivalência exata entre SCV e LSV, a não ser no limite quando ΔE tende a zero.

Alguns estudos mostraram que, para processos controlados por difusão, a diferença entre SCV e LSV se torna menor à medida que a altura do degrau (ΔE) diminui; para valores de ΔE< 0,23 mV os resultados obtidos pelas duas técnicas são idênticos.7 No entanto, para processos que envolvem reagentes e/ou produtos adsorvidos, cristalização ou polimerização na superfície eletródica, as diferenças entre LSV e SCV se mostram ainda mais discrepantes, mesmo para pequenos valores de ΔE.8 A fim de avaliarmos a extensão da influência dos parâmetros presentes na SCV e sua utilização em experimentos eletroquímicos, apresentamos a seguir exemplos experimentais do comportamento voltamétrico de algumas reações eletródicas sobre Pt policristalina em meio ácido, obtidos por LSV e SCV.

 

EXPERIMENTAL

As medidas eletroquímicas foram realizadas em uma célula eletroquímica confeccionada em vidro pirex® contendo três entradas de modo a acomodar os eletrodos que compõe o sistema de estudo. O eletrodo de referência utilizado foi o eletrodo reversível de Hidrogênio (ERH); um fio de Pt de 0,5 mm como contra eletrodo e um monocristal esférico de Pt poliorientado9 como eletrodo de trabalho.

As soluções foram preparadas com água ultra-pura (Milli-Q®, 18,2 MΩ cm) e H2SO4 Merck Suprapur. Todos os experimentos foram realizados em 0,1 mol L-1 H2SO4 como eletrólito suporte. Antes e durante cada experimento todo o sistema eletroquímico foi mantido na presença de Argônio (99,998%).

Previamente à aquisição das respostas eletroquímicas, o eletrodo de trabalho foi submetido a 30 ciclos consecutivos a uma velocidade de varredura de 100 mV s-1 num intervalo de potencial entre 60-1500 mV, a fim de observar a estabilidade eletroquímica deste. Uma vez que o perfil voltamétrico se apresentou constante, inicia-se o protocolo experimental de modo estudar a influência dos parâmetros presentes na SCV.

A construção do sinal SCV foi desenvolvida com o software Echem, o qual gerencia o potenciostato utilizado no trabalho (eDAQ modelo EA163A). Para as medidas LSV utilizou-se de gerador de sinal analógico (Pricenton Applied Research EG&G - modelo 175 Programmer) acoplado ao potenciostato, cuja resposta eletroquímica foi adquirida pelo software eDaq Recorder. Deve-se ressaltar que os parâmetros utilizados neste trabalho podem não estar disponíveis para a personalização dos experimentos em todos os potenciostatos presentes no mercado, sendo limitado, na maioria das vezes, pelo software que gerencia e gera os sinais.

Vale a pena destacar que a velocidade de varredura é um fator extremamente importante no estudo da cinética reacional dos processos eletroquímicos superficiais e, no caso em estudo, também se mostra influente na resposta final, já que a construção da forma do sinal envolve três parâmetros: τ, ΔE e υ (Figura 1). Ou seja, um mesmo sinal triangular pode ter inúmeras composições dependendo dos parâmetros escolhidos. Cabe, então, ao experimentador saber compor esses parâmetros de modo a extrair informações confiáveis a respeito tanto da reação quanto do sistema utilizado. Para o estudo em questão, optamos por manter a velocidade de varredura constante em todos os experimentos, estudando assim a influência apenas dos parâmetros τ e ΔE, além do parâmetro de amostragem (α).

No caso do uso da técnica de SCV, os parâmetros estudados ΔE e τ foram determinados de acordo com a equação 1, de forma a se manter a velocidade de varredura igual a 100 mV s-1. Foram escolhidos os valores de ΔE de 1, 2, 3 e 5 mV. A Tabela 1 mostra os valores de α:

 

 

RESULTADOS

Reação de adsorção-dessorção de hidrogênio em platina

A reação de adsorção-dessorção de hidrogênio em metais do grupo da platina foi extensivamente estudada nos últimos 60 anos e serve hoje como ferramenta na interpretação de resultados obtidos em estudos fundamentais e aplicados em química de superfície, eletrocatálise, entre outras.10 Especificamente, tanto o uso da LSV quanto da SCV, no estudo do processo de adsorção de hidrogênio em platina, são baseados no fato de que uma alteração do potencial em um determinado intervalo provoca uma alteração no recobrimento de átomos de hidrogênio sobre a superfície de platina. O processo de adsorção-dessorção ocorre por meio da reação de transferência de carga. Assim, para um dado potencial, certo grau de cobrimento sobre a superfície com os átomos de hidrogênio é estabelecido e mantido pela descarga rápida de íons hidrogênio, de acordo com a reação (Eq. 3):

No entanto, além da concentração do reagente em solução, a velocidade da reação depende também da concentração superficial dos reagentes, ou seja, a cinética eletródica está relacionada aos sítios livres superficiais e à cobertura das espécies eletroativas.11 A reação de adsorção-dessorção de hidrogênio sobre platina em meio ácido está entre as mais rápidas reações eletroquímicas conhecidas12 e o fato de usarmos métodos transientes para estudo de processos eletródicos (neste caso, LSV e SCV) deve ser encarado com cuidado redobrado.

Os voltamogramas cíclicos obtidos por SCV de Pt em 0,1 mol L-1 H2SO4 a 100 mV s-1, usando a combinação dos diferentes parâmetros apresentados na Tabela 1, estão mostrados na Figura 3. Observa-se que o parâmetro alfa se mostra um fator extremamente influente na resposta de corrente quando comparado ao perfil voltamétrico obtido a partir da aplicação de um sinal analógico (LSV). A influência mais acentuada apresenta-se na região de adsorção de hidrogênio (0,06 V < E < 0,4V), com reflexos também no intervalo de potenciais de formação de óxidos superficiais (PtOH e/ou PtOx - E > 0,8 V). Para valor de alfa unitário, a altura do degrau na composição do sinal SCV exibe boa correlação à resposta obtida pela aplicação de um sinal analógico (LSV). À medida que o período de aquisição da corrente em cada degrau diminui (menores valores de alfa), a resposta à perturbação do sinal escalonado exibe reflexos consideráveis na intensidade de corrente. Este comportamento se deve ao fato que, para baixos valores de alfa, a aquisição da corrente se dá apenas ao final do degrau e, uma vez que o comportamento transiente da corrente ao longo do degrau não se é constante, apenas uma fração do sinal é adquirido.

 


Figura 3. Voltamogramas cíclicos de Pt em 0,1 M H2SO4 obtidos a partir de procedimentos LSV e SCV. Os parâmetros utilizados em cada VC estão indicados na legenda das curvas. υ = 100 mV s-1

 

A influência de cada parâmetro na SCV pode ser melhor analisada a partir da comparação com o perfil voltamétrico obtido pela LSV. A Figura 4 mostra a razão entre as cargas obtidas pela integração das curvas voltamétricas realizadas por SCV e LSV. Na região de adsorção de hidrogênio os dados indicam que a escolha dos parâmetros da SCV podem gerar diferenças de carga de até 70%. Para potenciais superiores a 0,7 V, região de adsorção de água e formação de espécies oxigenadas, a influência desses parâmetros se mostra menos importante.

 


Figura 4. Razão entre as cargas calculadas a partir da integração dos voltamogramas cíclicos de Pt em 0,1 M H2SO4 obtidos por SCV e LSV. Valores determinados entre os intervalos de potenciais indicados no gráfico inserido: (a) 0,06 e 0,5 V e (b) 0,5 e 1,5 V

 

O fato prático que emerge desses resultados é que, para valores de ΔE de 1 e 2 mV, a resposta eletroquímica obtida pela aplicação de um sinal escalonado pouco diverge daquela obtida por um sinal analógico, independente do parâmetro alfa utilizado. Esses resultados nos mostram que, quando os dados forem utilizados para determinações de cargas, a escolha dos parâmetros no uso da SCV merece extrema atenção por parte do experimentador, principalmente para o caso de reações eletroquímicas que envolvam espécies adsorvidas e velocidades de reação extremamente rápidas.13 Dessa forma, a partir dos dados observados, recomenda-se a escolha dos menores valores combinados de ΔE e τ para compor o sinal.

Não entraremos mais a fundo no mecanismo da reação de adsorção/dessorção de hidrogênio, porém, outras reações redox de transferência de carga, como deposição de metais em eletrodos metálicos em regime de sobrepotencial (UPD),14 resultam em características eletroquímicas pseudocapacitivas.15 Os processos conhecidos como pseudocapacitivos se originam de uma sequência de processos redox extremamente rápidos e, no caso do uso da SCV como metodologia de estudo desses processos, é necessário cautela na escolha dos parâmetros para não obter dados duvidosos. Vale a pena relembrar que, a partir dos dados apresentados, a região de hidrogênio no voltamograma cíclico é a mais afetada pela composição do sinal além de ser característica de um processo pseudocapacitivo.

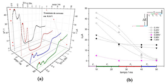
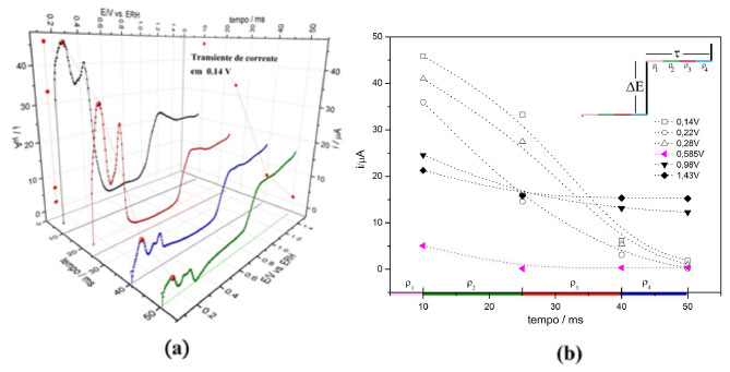
A fim de complementar as informações adquiridas a partir dos parâmetros utilizados na Tabela 1, propusemos um estudo de modo a monitorar a evolução da corrente ao longo de todo o degrau e por todo o intervalo de potencial que compõe um voltamograma cíclico. Por limitações técnicas do equipamento, a corrente é adquirida em diferentes intervalos ao longo de cada degrau, definidas aqui por ρ1, ρ2, ρ3, e ρ4 (respectivamente: do início do degrau até 10 ms, entre 10 e 25 ms, entre 25 e 40 ms ou entre 40 e 50 ms). A Figura 5 ilustra melhor o procedimento:

 


Figura 5. Representação do procedimento da aquisição das correntes ao longo do degrau durante a aplicação da técnica de SCV. ρ1 compreende o intervalo entre a aplicação do pulso (t = 0 ms) e 10 ms; ρ2 de 10 a 25 ms; ρ3 de 25 a 40 ms; e ρ4 de 40 a 50 ms

 

O resultado é um voltamograma cíclico construído pela corrente adquirida em cada degrau que compõe a varredura. A reposta final é então composta por quatro VC's, como mostrado na Figura 6(a) (apenas varredura positiva).

 


Figura 6. (a) Varredura positiva dos VC's de Pt em 0,1 M H2SO4 obtidos pela aquisição das correntes adquiridas em diferentes períodos em cada degrau que compõe o sinal da SCV. (b) Transiente de corrente obtidos pelos valores extraídos ao longo de cada degrau em diferentes potenciais do sinal de SCV. Parâmetros utilizados no experimento de SCV: υ = 100 mV s-1. ΔE = 5 mV, τ = 50 ms

 

Ao analisar o transiente de corrente o longo do degrau por todo o intervalo de potencial devemos ter em mente a natureza da corrente adquirida. A corrente voltamétrica produzida por um voltamograma cíclico, se analisado de um modo simplista, deve-se ao carregamento da interface eletrodo/solução se comportando como um capacitor. Essa contribuição é conhecida como processos de carregamento da dupla camada elétrica e caracterizada pela capacidade da dupla camada (contribuição não-faradaica). Na presença de processos de transferência de elétrons, a corrente voltamétrica possui contribuição adicional da corrente faradaica. De modo geral, tanto contribuições da dupla camada quanto do processo de transferência de elétrons ocorrem simultaneamente, contribuindo para a resposta final de corrente amostrada.

A Figura 6b mostra os valores de corrente em diferentes potenciais obtidos a partir dos voltamogramas cíclicos presentes na Figura 6a. Assim, ao avaliar o comportamento transiente da corrente podemos notar que o perfil voltamétrico difere daquele apresentado pela LSV. Três regiões de potencial podem ser facilmente distinguidas a partir do perfil do transiente: 0,06 - 0,4 V (adsorção/dessorção de hidrogênio), 0,4 - 0,7 V (acomodação de espécies) e acima de 0,7 V (adsorção de água e formação de óxidos). Note que após o salto de potencial em cada degrau, a corrente decresce rapidamente atingindo valores similares àqueles presentes em intervalos de potencial onde não há efetivamente processos faradaicos: região de potencial entre 0.4 - 0.6 V.

É particularmente interessante observar o sinal obtido a 0.585 V e compará-lo com aqueles da região de adsorção de hidrogênio. Mesmo após um "longo" período de decaimento, a corrente que flui por meio de uma interface eletrificada, devido a uma reação eletroquímica, sempre conterá componentes não-faradaicos, não importa como experimento seja feito. Porém, dependendo da reação eletroquímica em interesse, técnicas como voltametria de pulso diferencial (e métodos correlatos) possibilitam minimizar a contribuição de correntes capacitivas à resposta eletroquímica.16 No entanto, quando o foco do estudo está em reações que envolvam intermediários adsorvidos e superfícies eletroativas, como no caso de adsorção-dessorção de hidrogênio, a obtenção de resultados gerados a partir do método SCV pode gerar interpretações equivocadas. Devemos ter em mente que muitas quantidades extensivas podem ser determinadas a partir de medidas eletroquímicas. Um exemplo dos possíveis equívocos se mostra bastante claro na determinação de áreas eletroativas calculadas a partir da carga obtida por meio dos voltamogramas cíclicos.17

Por fim, é importante salientar que o usuário deve ficar atento aos parâmetros utilizados pelo equipamento. Como foi dito anteriormente, há no mercado uma grande oferta de potenciostatos dos mais variados preços e qualidades, porém, mesmo os mais caros e sofisticados não isentam o experimentador de conhecer tanto o sistema de estudo quanto a ferramenta com a qual irá extrair os dados experimentais.

 

CONCLUSÕES

De acordo com os resultados obtidos nesse trabalho, o uso da técnica de voltametria cíclica merece cautela do experimentador quanto ao formato do sinal aplicado pelo equipamento utilizado. No caso da voltametria de varredura escalonada (SCV) a resposta eletroquímica é dependente de três parâmetros: altura do degrau, período do degrau e parâmetro de amostragem. Para a obtenção de um perfil voltamétrico que se assemelha àquele obtido por LSV, os resultados sugerem a escolha de baixos valores de ΔE e τ para compor o sinal. Para processos pseudocapacitivos, como adsorção-dessorção de hidrogênio, o uso da técnica SCV sem a escolha adequada dos parâmetros pode gerar dados incertos.

 

AGRADECIMENTOS

C. A. Angelucci agradece à FAPESP 2013/13749 e CNPQ pelo financiamento. A. K. A Fernandes agradece à UFABC pela bolsa PIBIC concedida; J. Souza-Garcia agradece ao projeto PROPES-Recém Doutor (edital 01-2012). V. Del Colle agradece à FAPEAL e à UFAL respectivamente pelo financiamento do projeto concedido (Nº. 60030000769-2012) e a UFAL pela bolsa de Iniciação Científica.

 

REFERÊNCIAS

1. Um exemplo bastante conhecido para que se possa ilustrar melhor a diferença entre o conceito de analógico e digital está nos relógios. O relógio analógico é aquele com ponteiros os quais lentamente percorrem uma escala circular e o digital exibe em seu visor números decimais específicos. O relógio analógico nao possui limitante físico de quao finamente pode exibir o tempo. Por outro lado, o relógio digital nao pode expressar qualquer unidade de tempo menor do que o seu algoritmo/hardware permite. Ou seja, um relógio digital que se expressa em intervalos de um segundo é um dispositivo digital com uma resoluçao mínima de um segundo.

2. Bard, A. J.; Faulkner, L. R.; Electrochemical methods: fundamentals and applications; 2nd ed.; John Wiley: New York, 2001.

3. Brett, C. M. A.; Oliveira Brett, A. M.; Electrochemistry: principles, methods and applications; Oxford University Press: New York, 1993.

4. Bockris, J. O. M.; Reddy, A. K. N.; Gamboa-Aldeco, M.; Modern electrochemistry; 2nd ed.; Plenum Press: New York, 1998.

5. Nicholson, R. S.; Anal. Chem. 1965, 37, 1351. DOI: http://dx.doi.org/10.1021/ac60230a016

6. Traduçao do inglês: Linear Sweep Voltammetry (LSV) e Staircase Voltammetry (SCV), respectivamente.

7. Penczek, M.; Stojek, Z.; Buffle, J.; J. Electroanal. Chem. 1989, 270, 1. DOI: http://dx.doi.org/10.1016/0022-0728(89)85023-5

8. Stojek, Z.; Osteryoung, J. Anal. Chem. 1991, 63, 839. DOI: http://dx.doi.org/10.1021/ac00008a021

9. Clavilier, J.; Faure, R.; Guinet, G.; Durand, R.; J. Electroanal. Chem. 1980, 107, 205. DOI: http://dx.doi.org/10.1016/S0022-0728(79)80022-4

10. Lipkowski, J.; Ross, P. N.; Electrocatalysis; Wiley-VCH: New York, 1998.

11. Angersteinkozlowska, H.; Conway, B. E.; J. Electroanal. Chem. 1979, 95, 1. DOI: http://dx.doi.org/10.1016/S0022-0728(79)80216-8

12. Markovic, N. M.; Grgur, B. N.; Ross, P. N.; J. Phys. Chem. B 1997, 101, 5405. DOI: http://dx.doi.org/10.1021/jp970930d

13. Hai, B.; Tolmachev, Y. V.; Loparo, K. A.; Zanelli, C.; Scherson, D.; J. Electrochem. Soc. 2011, 158, F15. DOI: http://dx.doi.org/10.1149/1.3512914

14. Souza-Garcia, J.; Berna, A.; Ticianelli, E. A.; Climent, V.; Feliu, J. M.; J. Electroanal. Chem. 2011, 660, 276. DOI: http://dx.doi.org/10.1016/j.jelechem.2011.03.017

15. Conway, B. E.; Electrochemical supercapacitors: scientific fundamentals and technological applications; Kluwer Academic-Plenum: New York, 1999.

16. de Souza, D.; Machado, S. A. S.; Avaca, L. A.; Quim. Nova 2003, 26, 81. DOI: http://dx.doi.org/10.1590/S0100-40422003000100015

17. Trasatti, S.; Petrii, O. A.; J. Electroanal. Chem. 1992, 327, 353. DOI: http://dx.doi.org/10.1016/0022-0728(92)80162-W

On-line version ISSN 1678-7064 Printed version ISSN 0100-4042
Qu�mica Nova
Publica��es da Sociedade Brasileira de Qu�mica
Caixa Postal: 26037 05513-970 S�o Paulo - SP
Tel/Fax: +55.11.3032.2299/+55.11.3814.3602
Free access

GN1