JBCS



16:06, qui out 23

Acesso Aberto/TP



Artigo


Desenvolvimento de materiais híbridos micro-mesoporosos do tipo ZSM-12/MCM-41
Development of hybrid micro-mesoporous materials of zsm-12/MCM-41 type

Joselaine C. SantanaI; Sanny W. M. MachadoI; Marcelo J. B. SouzaII; Anne M. Garrido PedrosaI,*

IDepartamento de Química, Universidade Federal de Sergipe, Cidade Universitária Professor José Aloísio de Campos, Avenida Marechal Rondon, S/N, Jardim Rosa Elze, 49100-000 São Cristóvão - SE, Brasil
IIDepartamento de Engenharia Química, Universidade Federal de Sergipe, Cidade Universitária Professor José Aloísio de Campos, Avenida Marechal Rondon, S/N, Jardim Rosa Elze, 49100-000 São Cristóvão - SE, Brasil

Recebido em 04/07/2014
Aceito em 14/11/2014
Publicado na web em 11/02/2015

Endereço para correspondência

*e-mail: annemgp@ufs.br

RESUMO

Micro-mesoporous hybrid materials of ZSM-12/MCM-41 type with different micro- and mesoporosity contributions were prepared by a procedure that uses the desilication of the zeolite in an alkaline medium, followed by recrystallization onto the mesostructure, where the zeolite is used as the silica source in the formation of mesoporous phase. The materials were characterized by X-ray diffraction, nitrogen adsorption-desorption at 77 K, scanning electron microscopy and thermal analysis. The results showed that the methodology utilized is efficient for obtaining hybrid materials of ZSM-12/MCM-41 type with optimized micro-and mesoporosity.

Palavras-chave: ZSM-12/MCM-41; micro-mesoporous hybrids; crystallization on mesostructure.

INTRODUÇÃO

Dentre diversos materiais porosos as zeólitas apresentam posição de destaque devido a importantes aplicações em muitos setores da indústria química e petroquímica. As zeólitas são classificadas como aluminosilicatos cristalinos de estrutura complexa, constituídos por uma rede tridimensional de tetraedros do tipo TO4, em que T representa os átomos de silício ou alumínio, unidos entre si por meio de átomos de oxigênio. Estas contêm canais e cavidades de dimensões moleculares, cujo diâmetro depende do tipo da zeólita, sendo classificadas como materiais microporosos por possuírem diâmetro de poro inferior a 2,0 nm.1-3

As importantes aplicações das zeólitas em muitos setores da indústria química e petroquímica advêm de características como a capacidade de troca iônica, acidez, estabilidade térmica e hidrotérmica, seletividade de forma e área superficial relevante.4-6 Dentre a grande diversidade de estruturas zeolíticas tem-se a zeólita ZSM-12, cuja estrutura apresenta canais retos unidimensionais que não se intercruzam, com diâmetro de poro de 0,57 × 0,61 nm, sendo classificada como uma zeólita de alta sílica por conter baixa quantidade de alumínio na estrutura.7

O sistema microporoso das zeólitas impõe limitações para aplicação destas em processos que envolvem moléculas volumosas.6 Diversas pesquisas têm sido conduzidas no sentido de superar estas limitações e visando a criação de materiais com maior diâmetro de poros. A família de materiais mesoporosos M41S, composta pelo MCM-41, pelo MCM-48 e pelo MCM-50 tem reduzido significativamente esta barreira. O membro com maior destaque desta família é o MCM-41, que apresenta um arranjo de mesoporos hexagonal, uniforme e unidimensional, podendo ser moldado de 2 a 10 nm.8,9 Este também possui elevada área superficial específica, exibe a capacidade de geração de acidez, porém bem menor que nas zeólitas, e suas paredes são amorfas, o que trás limitações a estabilidade térmica e hidrotérmica.9-11

Diante disso, com o intuito de se obter materiais com características melhoradas para diversas aplicações, tem sido estudado o desenvolvimento de materiais híbridos micro-mesoporosos. A intenção é unir em um único material a elevada acidez e estabilidade térmica e hidrotérmica das zeólitas, com a melhor possibilidade de difusão de moléculas grandes dentro dos poros dos materiais mesoporosos.12-15 Neste hibrido micro-mesoporoso há a possibilidade de combinação de dois materiais com propriedades complementares, originando um único material com propriedades diferentes das que o originou.16 Assim, as propriedades dos materiais híbridos micro-mesoporosos reflete um sinergismo entre as características individuais, e não apenas uma soma das contribuições.16,17

Um dos pioneiros no desenvolvimento de materiais híbridos micro-mesoporosos foi Kloetstra et al..18 Desde então, o desenvolvimento deste tipo de material vem se expandindo, e as principais metodologias exploradas na literatura são: preparação inicial de precursores zeolíticos em um tratamento hidrotérmico curto seguida da adição do direcionador da fase mesoporosa e de outro tratamento hidrotérmico; transformação das paredes pré-montadas de materiais mesoporosos, não completamente ordenados, em estruturas zeolítica, por meio de um segundo tratamento hidrotérmico na presença do direcionador da zeólita; e dissolução parcial de zeólitas em meio alcalino seguida de recristalização em mesoestrutura.

Dentre as metodologias citadas, a dissolução parcial de zeólitas em meio alcalino seguida de recristalização em mesoestrutura vem ganhando espaço na literatura.19-24 Neste procedimento, zeólitas cristalizadas são utilizadas como fonte de sílica na formação da fase mesoporosa. Isto devido ao fato de que o tratamento alcalino remove unidades de silício da estrutura zeolítica, que ficam dispersos em solução, e quando entram em contato com o direcionador da estrutura mesoporosa ocorrem interações que leva a formação de uma fase mesoestruturada. Esta metodologia tem se mostrado viável para a preparação das mais variadas combinações entre estruturas microporosas e mesoporosas devido à fase zeolítica já estar cristalizada, e o teor de cristalinidade desta no material micro-mesoporoso poder ser facilmente controlado para a aplicação de interesse, variando-se a alcalinidade do meio.

Goto et al.19 foram os primeiros a prepararem materiais micro-mesoporosos por esta metodologia. Estes autores acreditam que neste tipo de síntese a parte mesoporosa é construída em torno dos cristais de zeólita que não foram dissolvidos e, desse modo, a parte mesoporosa e os cristais de zeólita estão muito mais próximos e conectados do que em uma mistura simples, levando de fato à formação de híbridos. Para os mesmos, também é possível a presença de sítios ácidos fortes na parte mesoporosa, uma vez que esta é formada pelos fragmentos da zeólita, suposição que foi confirmada por Inagaki et al.,25 sendo um indicativo de que este material não é uma mistura física. Além disso, em materiais híbridos obtidos por esta metodologia, a parte microporosa também apresenta acessibilidade melhorada, pois o tratamento alcalino cria defeitos na região dos mesoporos.26

Neste trabalho, a dessilicalização de zeólitas seguida por recristalização em mesoestrutura foi a metodologia adotada para a obtenção de um material híbrido micro-mesoporoso do tipo ZSM-12/MCM-41, no qual a parte microporosa é constituída pela zeólita ZSM-12 e a parte mesoporosa pelo MCM-41. A alcalinidade do meio foi variada e os parâmetros temperatura e pH foram estudados. Também se preparou uma mistura mecânica dos materiais ZSM-12 e MCM-41 para comparação e visando um melhor entendimento dos resultados obtidos. Estudos envolvendo materiais micro e mesoporoso do tipo ZSM-5, ZSM-12, MCM-22 e ZSM-12/MCM-41 como catalisadores têm sido reportados na literatura e dados relevantes sobre os efeitos da obtenção de materiais híbridos têm sido discutidos.16

 

PARTE EXPERIMENTAL

Preparação do híbrido ZSM-12/MCM-41

Para a síntese do material híbrido ZSM-12/MCM-41 foi utilizado um procedimento adaptado do proposto por Tang et al..24 Neste procedimento 2,0 g da zeólita ZSM-12 calcinada (450 ºC/2 horas.) com razão Si/Al = 100, obtida utilizando-se o procedimento descrito por Pedrosa et al.,27 foi tratada com 10 mL de uma solução de NaOH a diferentes concentrações (1,5; 2,0 e 2,5 mol L-1) sob agitação constante a 40 ºC durante 60 minutos. Em seguida adicionou-se 25 mL de uma solução aquosa de brometo de cetiltrimetilamônio (CTMABr) a 10 % em massa e agitou-se durante 60 minutos. A solução resultante foi colocada em vasos de teflon revestidos por autoclave de aço inox e levada a cristalização em estufa a 140 ºC por 24 horas. Após este tempo, a cristalização foi continuada à temperatura ambiente por mais 24 horas, sendo que logo após o resfriamento do reator o pH do sistema foi abaixado para 9 gotejando-se uma solução de ácido acético 30 % (v/v). Terminada a segunda etapa de cristalização, os materiais foram filtrados a vácuo, lavados com água deionizada e secos em estufa por 2 horas a 100 ºC, sendo posteriormente calcinados em mufla a uma temperatura de 450 ºC por 2 horas, em atmosfera de ar sintético, sendo o aquecimento feito a 10 ºC min-1.

Preparação da mistura ZSM-12 + MCM-41

O material ZSM-12 + MCM-41 foi preparado por meio da mistura mecânica manual dos materiais individuais previamente preparados (ZSM-12 e MCM-41). Estes foram obtidos, respectivamente, pelos procedimentos descritos por Pedrosa et al.27 e Souza et al.28 seguidos de calcinação a 450 ºC por 2 horas em atmosfera de ar, com taxa de 10 ºC min-1. A proporção mássica utilizada de zeólita ZSM-12 e do material mesoporoso MCM-41 foi de 1:1, sendo estes misturados com auxílio de almofariz e pistilo, com homogeneização uniforme.

Otimização dos parâmetros de síntese do híbrido ZSM-12/MCM-41

Visando avaliar o efeito da temperatura de síntese e do pH do meio na formação da fase mesoporosa do tipo MCM-41, o material híbrido ZSM-12/ MCM-41 foi preparado utilizando-se o procedimento de síntese descrito anteriormente, fixado-se a concentração de NaOH de 1,5 mol L-1 e utilizando-se a temperatura de síntese de 100 ºC para comparação com o híbrido sintetizado a 140 ºC. Para verificação da influência do pH do meio, o material híbrido foi sintetizado utilizando-se o procedimento de síntese descrito anteriormente porém sem ajuste do pH, para efeito de comparação com o híbrido obtido com ajuste do pH.

Caracterização dos materiais

Os materiais obtidos foram caracterizados por difratometria de raios-X (DRX) pelo método do pó em um difratômetro Rigaku modelo MiniFlex II com fonte de radiação CuKα, operando a 30 kV e 15 mA, utilizando filtro de Ni na faixa angular (2θ) de 1,5-55º. Os materiais foram caracterizados por adsorção-desorção de nitrogênio a 77 K, em um equipamento Quantachrome ASIQM0000-4. Para as análises, as amostras foram previamente desgaseificadas a 300 ºC durante 1 hora sob vácuo. As isotermas foram obtidas na faixa de P/P0 de 0,01-0,95 utilizando-se 0,03 g de amostra. A área total das amostras foi obtida pelo método BET para faixa de pressão relativa (P/P0) de 0,03-0,3. Os materiais também foram caracterizados por microscopia eletrônica de varredura em um equipamento Hitachi TM3000. As curvas termogravimétricas foram obtidas em uma termobalança da Shimadzu TGA-50H, na faixa de temperatura de 30 a 900 ºC, utilizando uma taxa de aquecimento a 10 ºC min-1, em atmosfera de N2 com vazão de 40 mL min-1, em cadinho de platina.

 

RESULTADOS E DISCUSSÕES

Os difratogramas de raios-X para os materiais híbridos ZSM-12/MCM-41 calcinados são mostrados na Figura 1. De acordo com os resultados pode-se observar que os materiais foram obtidos com sucesso pelo procedimento de síntese proposto, uma vez que ocorreu a formação da fase mesoporosa do tipo MCM-41 (Figura 1 [A]) em conjunto com a estrutura da zeólita ZSM-12 (Figura 1 [B]) nas três condições de alcalinidade utilizadas. A fase zeolítica ZSM-12 foi identificada pelos principais picos característicos desta em 2θ = 7,52º; 18,74º; 20,94º; 22,96º e 25,80º, os quais estão de acordo com Pedrosa et al.27 e Kinski et al..29 O MCM-41 foi identificado pelos principais picos característicos deste em 2θ = 2,32º; 3,96º e 4,60º, estando de acordo com o obtido por Beck et al.8

 


Figura 1. Difratogramas de raios-X dos materiais híbridos ZSM-12/MCM-41: [A] 2θ = 1,5 a 6,5º; [B] 2θ = 6,5 a 55º. [NaOH] = 1,5; 2,0 e 2,5 mol L-1

 

De acordo com os difratogramas de raios-X mostrados na Figura 1 é possível observar a importância do processo de dessilicalização na obtenção da estrutura mesoporosa do tipo MCM-41, pois a medida que este se tornou mais severo, ou seja, com o aumento da alcalinidade do meio, a fase mesoporosa se tornou mais ordenada, o que é observado pelo aumento na intensidade dos principais picos de difração característicos do MCM-41. Isto provavelmente ocorre devido à maior presença de espécies de silicato em solução provenientes da zeólita ZSM-12. Por outro lado, a intensidade dos principais picos de difração da fase zeolítica (ZSM-12) foi reduzida com o aumento da alcalinidade do meio. Resultados similares têm sido observados na literatura.19-24 Esses resultados indicam que o controle do tratamento alcalino é fundamental na obtenção de um material híbrido que combine de forma satisfatória uma fase mesoporosa com bom ordenamento e uma fase microporosa sem grandes perdas de cristalinidade, conservando muito de suas propriedades ácidas.

A Figura 2 mostra o difratograma de raios-X para o material ZSM-12 + MCM-41 obtido via mistura mecânica, no qual se mostram presentes em conjunto os picos característicos de ambos materiais (ZSM-12 e MCM-41). Na região de 1,5 a 6,5º observa-se os principais picos característicos da fase mesoporosa do tipo MCM-41 em concordância com Beck et al.,8 estando esta região em destaque no inserte para uma melhor visualização. Na região de 6,5 a 55º se observa os picos característicos da zeólita ZSM-12, estando de acordo com trabalhos da literatura29,30 com relação ao padrão de difração de raios-X para esta zeólita.

 


Figura 2. Difratograma de raios-X do material ZSM-12 + MCM-41 obtido via mistura mecânica

 

Como descrito na metodologia, o material híbrido ZSM-12/MCM-41 foi sintetizado nas temperaturas de 100 ºC e 140 ºC, fixando a alcalinidade do meio (concentração de hidróxido de sódio de 1,5 mol L-1). A escolha destas temperaturas foi baseada nas temperaturas comumente utilizadas para cristalização da zeólita ZSM-12 e obtenção do MCM-41. A temperatura de 100 ºC é a temperatura comumente utilizada na obtenção do MCM-41 puro e a de 140 ºC é a temperatura comumente utilizada na obtenção da ZSM-12 pura. Os difratogramas de raios-X para o híbrido ZSM-12/MCM-41 sintetizado a 100 e 140 ºC são mostrados na Figura 3 [A] e [B], respectivamente. Nestes difratogramas é possível observar os picos característicos dos materiais ZSM-12 e MCM-41. Também é possível observar que, apesar da fase mesoporosa ser obtida em ambos os casos, esta se apresenta bem mais ordenada quando a síntese é conduzida a 140 ºC, como observado pelo aumento significativo na intensidade do principal pico característico do MCM-41, em destaque no inserte. Como esperado, o padrão de difração de raios-X da fase zeolítica não apresentou diferenças significativas nas temperaturas estudadas, uma vez que, durante a síntese do híbrido, a mesma já se encontra cristalizada.

 


Figura 3. Difratogramas de raios-X dos materiais híbridos ZSM-12/MCM-41: [A] sintetizado a 100 ºC; [B] sintetizado a 140 ºC

 

Os resultados mostrados na Figura 3 são um indicativo de que estes materiais híbridos são diferentes de uma simples mistura mecânica, uma vez que de acordo com Goto et al.19 a fase mesoporosa se forma em torno dos cristais da zeólita não dessilicalizada, e esta, como suposto pelo mesmo e confirmado por Inagaki et al.,25 apresenta propriedades ácidas melhoradas em relação ao MCM-41 obtido de forma convencional, pois certamente apresenta fragmentos da zeólita em suas paredes. Assim, o fato de no material híbrido ZSM-12/MCM-41 a fase mesoporosa ter apresentado melhor ordenamento a 140 ºC pode estar relacionado com a presença de fragmentos da zeólita ZSM-12 que se cristaliza preferencialmente nesta temperatura.

A influência do pH do meio na obtenção dos materiais híbridos ZSM-12/MCM-41 também foi estudada. Os difratogramas de raios-X para os materiais híbridos ZSM-12/MCM-41 obtidos na temperatura de 140 ºC, fixando a alcalinidade do meio (concentração de hidróxido de sódio de 1,5 mol L-1) e sem ajuste e com ajuste do pH do gel de síntese são mostrados na Figura 4 [A] e [B], respectivamente. De acordo com os resultados, sem o ajuste do pH do gel de síntese a fase mesoporosa apresenta baixo ordenamento, enquanto que os picos devidos à fase zeolítica estão ligeiramente mais intensos.

 


Figura 4. Difratogramas de raios-X dos materiais híbridos ZSM-12/MCM-41: [A] sintetizado sem ajuste do pH; [B] sintetizado com ajuste do pH

 

Os resultados da Figura 4 indicam que o ajuste do pH do gel de síntese, ou seja, o abaixamento do pH para em torno de 9, considerando que a síntese é realizada em meio fortemente alcalino (pH em torno de 13) devido ao processo de dessilicalização, é fundamental para a obtenção de um material mesoporoso com melhor ordenamento. Outros trabalhos relatados na literatura19,25 indicam que uma condição de alcalinidade inferior leva a uma maior condensação dos silicatos, tornando a estrutura mesoporosa mais ordenada. Além disso, um tratamento alcalino prolongado ou mais severo pode conduzir a um colapso dos fragmentos de silicato obtidos a partir da dessilicalização da zeólita, uma vez que estes são bastante solúveis em meio alcalino.

Na Tabela 1 estão apresentados os resultados referentes ao parâmetro mesoporoso (a0) calculado a partir da distância interplanar (d100) referente ao ponto de reflexão (hkl) = (100) do MCM-41 e a espessura da parede da rede sílica do MCM-41 (Wt). O parâmetro a0 foi calculado a partir da expressão a0 = 2d(100)/ 30,5 e o parâmetro Wt foi calculado a partir da equação Wt = [a0 -Dp].

Os resultados constantes na Tabela 1 revelam que o deslocamento do pico de reflexão (100) do MCM-41 nos materiais híbridos ZSM-12/MCM-41 (1,5), ZSM-12/MCM-41 (2,0) e ZSM-12/MCM-41 (2,5) para ângulos de difração menores provoca uma expansão da estrutura hexagonal do MCM-41, o que é observado pelo aumento de parâmetro mesoporoso. Por outro lado, a espessura da parede (Wt) do MCM-41 nestes materiais híbridos (ZSM-12/MCM-41 (1,5), ZSM-12/MCM-41 (2,0) e ZSM-12/MCM-41 (2,5)) mostrou uma tendência oposta a variação do parâmetro mesoporoso. Os resultados sugerem que o aumento na alcalinidade do meio durante a síntese dos materiais híbridos provoca um maior ordenamento do sistema mesoporoso e uma redução na espessura da parede. Os valores referentes ao a0 e Wt obtidos para os materiais híbridos estão na faixa dos tipicamente encontrados para o MCM-41. Os resultados referentes aos parâmetros a0 e Wt para o material ZSM-12 + MCM-41 obtidos via mistura mecânica também estão de acordo com os encontrados tipicamente para materiais do tipo MCM-41.

Na Tabela 1 também estão apresentados os resultados referentes aos valores de tamanho do cristalito (D) e de cristalinidade (C) relativos à fase da zeólita ZSM-12 nos diferentes materiais sintetizados. Estes parâmetros foram calculados levando-se em consideração três principais picos de difração para a zeólita ZSM-12 em ângulos de difração de 7,6º, 21,0º e 23,0º e utilizando-se a equação de Scherrer para o cálculo do tamanho do cristalito. A zeólita ZSM-12 com razão Si/Al de 100 tipicamente apresenta tamanho de cristalito em torno 32 nm. Os resultados apresentados na Tabela 1 e na Figura 1 sugerem que com o aumento na alcalinidade do meio durante a síntese dos materiais híbridos resultou numa diminuição na cristalinidade da fase zeolítica acompanhado de uma diminuição no tamanho do cristalito. Os valores de tamanho do cristalito e de cristalinidade para o material ZSM-12 + MCM-41 obtidos via mistura mecânica estão na faixa dos comumente encontrados para a zeólita ZSM-12 com razão Si/Al = 100 pura.

As Figuras 5 [A], [B] e [C] apresentam as isotermas de adsorção-desorção de nitrogênio a 77 K obtidas para os materiais híbridos ZSM-12/MCM-41 nas diferentes condições de alcalinidade do meio estudadas ([NaOH] = 1,5; 2,0 e 2,5 mol L-1, respectivamente), e a Figura 5 [D] apresenta a isoterma do material ZSM-12 + MCM-41 obtido via mistura mecânica.

 


Figura 5. Isotermas de adsorção-desorção de nitrogênio a 77 K para os materiais híbridos ZSM-12/MCM-41: [A]= [NaOH] = 1,5 mol L-1; [B] = [NaOH] = 2,0 mol L-1 e [C] = [NaOH] = 2,5 mol L-1 e para o material ZSM-12 + MCM-41 [D] obtido via mistura mecânica

 

A Tabela 1 mostra os resultados de área total determinada pelo método BET; de área microporosa determinada pelo método t-plot; de área externa determinada pela expressão Aext =ABET - Amic; de volume de poro determinado pelo método BJH e de diâmetro de poro para os materiais preparados.

 

 

As isotermas de adsorção-desorção de nitrogênio a 77 K dos materiais híbridos ZSM-12/MCM-41 evidenciaram que nestes materiais híbridos há mesoporos e microporos, sugerindo que após a preparação do material houve a obtenção de um material híbrido em que ambas as fases coexistem juntas. Estes resultados estão de acordo com os apresentados anteriormente nos difratogramas de raios-X desses materiais.

Observa-se nas Figuras 5 [A], [B] e [C] que a adsorção de nitrogênio a baixas pressões relativas, P/P0 < 0,25 está relacionada à presença dos microporos31 e que a inflexão em torno de P/P0 = 0,3 é uma característica da presença de mesoporos ordenados.14,32 A presença do ciclo de histerese na faixa de P/P0 0,4 - 0,9 pode ser considerada uma contribuição de ambas as estruturas, contudo, nota-se uma contribuição bem mais pronunciada da fase zeolítica, pois à medida que a alcalinidade do meio aumenta, de forma consistente com os difratogramas de raios-X, ocorre uma redução dos microporos devido à maior dissolução da estrutura da zeólita e a um consequente aumento dos mesoporos, que são acompanhados, respectivamente, de uma redução expressiva da área da histerese e de um aumento no volume adsorvido. A adsorção de nitrogênio em valores de P/P0 superiores a 0,9 pode estar relacionada a presença de macroporos decorrentes tanto da fase microporosa, devido ao tratamento alcalino, como da fase mesoporosa pela presença de mesoporos mais largos.14,26,32,33

A Figura 5 [D] mostra as isotermas de adsorção-desorção de nitrogênio para o material ZSM-12 + MCM-41, na qual se observa diferenças marcantes em relação às isotermas dos materiais híbridos, pois apesar deste material apresentar isotermas com características tanto da fase microporosa como da mesoporosa, esta exibe um menor volume adsorvido e consequentemente uma menor área total, consideravelmente menor que a dos materiais híbridos, como pode ser visto na Tabela 1. Esse fato evidencia que estes materiais são diferentes de uma simples mistura mecânica das fases individuais e exibem um efeito sinérgico entre micro e mesoporosidade.

Os resultados apresentados na Tabela 1 e na Figura 6 sugerem que com o aumento na alcalinidade do meio durante a síntese dos materiais híbridos resultou num aumento significativo nos valores de área total, área externa, área microporosa e de volume de poros. Estes resultados estão correlacionados com o aumento da ordenação da fase mesoporososa do tipo MCM-41 nos materiais híbridos e também com a diminuição do tamanho do cristalito da fase zeolítica (Figura 6).

 


Figura 6. Correlação entre área total, parâmetro mesoporoso e tamanho do cristalito para os materiais híbridos ZSM-12/MCM-41

 

As micrografias eletrônicas de varredura dos materiais híbridos ZSM-12/MCM-41 são mostradas na Figura 7 [A], [B] e [C], que se referem respectivamente aos materiais preparados com diferentes alcalinidades do meio ([NaOH] = 1,5; 2,0 e 2,5 mol L-1). Pode-se observar nestas que a fase mesoporosa está sendo construída em torno dos cristais da zeólita que não foram dessilicalizados, sendo que à medida que o processo de dessilicalização torna-se mais severo, ou seja, com o aumento na alcalinidade do meio, a fase microporosa é cada vez mais recoberta pela fase mesoporosa.

 


Figura 7. Micrografias eletrônicas de varredura para os materiais híbridos: [A] ZSM-12/MCM-41 (1,5); [B] ZSM-12/MCM-41 (2,0); [C] ZSM-12/ MCM-41 (2,5); e para [D] ZSM-12 + MCM-41

 

Na Figura 7 [D] é mostrada a micrografia eletrônica de varredura para o material ZSM-12 + MCM-41, na qual é possível perceber que diferentemente dos híbridos, a fase mesoporosa não está recobrindo a microporosa e estas estão menos conectadas que nos híbridos. Estes resultados estão de acordo com outros relatados na literatura19 e sustentam as proposições feitas para a metodologia que utiliza a dessilicalização de zeólitas seguida por recristalização em mesoestrutura. Nesta, a fase mesoporosa é construída em torno dos cristais da zeólita não dissolvidos e, assim, a fase mesoporosa e a microporosa devem estar localizadas bem mais próximas do que quando são preparados via mistura mecânica.

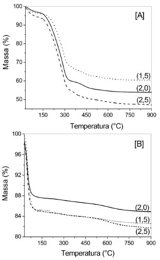
As Figuras 8 [A] e [B] apresentam, respectivamente, as curvas termogravimétricas obtidas para os materiais híbridos como sintetizados e calcinados nas diferentes condições de alcalinidade do meio sintetizadas ([NaOH] = 1,5; 2,0 e 2,5 mol L-1). Observa-se na Figura 8 [A] que os materiais híbridos como sintetizados apresentam curvas termogravimétricas semelhantes a curva termogravimétrica apresentada pelo MCM-41 puro,34 isto porque diante do procedimento de síntese utilizado na obtenção destes, a fase orgânica responsável pela principal perda de massa exibida pelos mesmos é o direcionador da fase mesoporosa. Nestas curvas podem ser vistos três eventos de perda de massa: na faixa de 30 - 100 ºC, atribuído à dessorção de água fisiossorvida nos poros do material; Na faixa de 100 a 350 ºC, atribuído à remoção dos íons direcionadores (CTMA+), e na faixa de 350 a 550 ºC devido à remoção residual do CTMA+ e liberação de água proveniente do processo de condensação secundária dos grupos silanóis.34

 


Figura 8. Curvas termogravimétricas dos materiais híbridos ZSM-12/MCM-41: [A] como sintetizados; [B] calcinados, onde [NaOH] = 1,5; 2,0 e 2,5 mol L-1

 

Pode-se observar também na Figura 8 [A] que a perda de massa total aumenta à medida que se aumenta a alcalinidade do meio utilizada. Para o material ZSM-12/MCM-41 (1,5) a perda de massa total é em torno de 40%, enquanto que para o material ZSM-12/MCM-41 (2,0) a perda de massa total é de 45% e para o material ZSM-12/MCM-41 (2,5) é de 50%. Estes resultados são consistentes com a metodologia utilizada e com os resultados já expostos, uma vez que quando o processo de dessilicalização torna-se mais severo, provavelmente mais mesoporos são formados e, consequentemente, mais moléculas do direcionador orgânico estão presentes.

Na Figura 8 [B] percebe-se que os materiais híbridos calcinados exibem estabilidade térmica após o evento de perda de massa na faixa de 30 a 100 ºC, que é referente a desorção de água fisisorvida dentro dos poros, indicando a eficiência do processo de calcinação na remoção do direcionador estrutural. A pequena variação de massa observada na faixa de 100 ºC a 700 ºC é atribuída à condensação secundária dos grupos silanóis remanescentes.

 

CONCLUSÃO

Os resultados obtidos mostram que materiais híbridos micro-mesoporosos do tipo ZSM-12/MCM-41 podem ser preparados com sucesso pelo procedimento que se utiliza da dessilicalização de zeólitas seguida por recristalização em mesoestrutura.

Os difratogramas de raios-X dos materiais híbridos evidenciaram a obtenção das fases micro e mesoporosa em conjunto. Além disso, as otimizações feitas mostraram que a temperatura de 140 ºC é a mais adequada para a preparação do material híbrido, pois a fase mesoporosa é formada a partir dos fragmentos da zeólita. Os resultados também indicam que o abaixamento do pH do meio é de fundamental importância na obtenção de uma fase mesoporosa com bom ordenamento, devido à maior condensação dos grupos silanóis.

Pelas isotermas de adsorção-desorção de nitrogênio a 77 K dos materiais híbridos se observa a redução dos microporos à medida que o processo de dessilicalização torna-se mais severo, de forma consistente com os difratogramas de raios-X, e um consequente aumento dos mesoporos, que ocasiona um aumento gradual na área total, sendo observado um efeito sinérgico entre micro e mesoporosidade e uma diferença marcante entre estes materiais híbridos e o material obtido via mistura mecânica. As micrografias confirmaram que a fase mesoporosa se forma em torno dos cristais da zeólita não dissolvidos, como previsto pela metodologia, e as curvas termogravimétricas evidenciaram que as perdas de massa existentes nos materiais híbridos são decorrentes do direcionador da fase mesoporosa.

 

AGRADECIMENTOS

Os autores agradecem ao CNPq, à CAPES e à rede temática de Desenvolvimento em Catálise da Petrobras pelo apoio financeiro concedido.

 

REFERÊNCIAS

1. Corrêa, M. L. S.; Wallau, M.; Schuchardt, U.; Quim. Nova 1996, 19, 43.

2. Davis, M. E.; Lobo, R. F.; Chem. Mater. 1992, 4, 756. DOI: http://dx.doi.org/10.1021/cm00022a005

3. Rangel, M. C.; Valentini, A.; Oliveira, A. S.; David, J. M.; Britto, J. M.; Domingues, S. M.; Reyes, P.; Quim. Nova 2003, 26, 305. DOI: http://dx.doi.org/10.1590/S0100-40422003000300003

4. Braga, A. A. C.; Morgon, N. H.; Quim. Nova 2007, 30, 178. DOI: http://dx.doi.org/10.1590/S0100-40422007000100030

5. Corma, A.; Chem. Rev. 1997, 97, 2373. DOI: http://dx.doi.org/10.1021/cr960406n PMID: 11848903

6. Grecco, S. T. F.; Rangel, M. C.; Urquieta-González, E. A.; Quim. Nova 2013, 36, 131. DOI: http://dx.doi.org/10.1590/S0100-40422013000100023

7. Ernst, S.; Jacobs, P. A.; Martens, J. A.; Weitkamp, J.; Zeolites 1987, 7, 458. DOI: http://dx.doi.org/10.1016/0144-2449(87)90015-7

8. Beck, J. S.; Vartuli, J. C.; Roth, W. J.; Leonowicz, M. E.; Kresge, C. T.; Schmitt, K. D.; Chu, C. T-W.; Olson, D. H.; Sheppard, E. W.; Mccullen, S. B.; Higgins, J. B.; Schlenker, J. L.; J. Am. Chem. Soc. 1992, 114, 10834. DOI: http://dx.doi.org/10.1021/ja00053a020

9. Kresge, C.T.; Vartuli, J. C.; Roth, W. J.; Leonowicz, M. E.; Stud. Surf. Sci. Catal. 2004, 148, 53.

10. Corma, A.; Fornés, V.; Navarro, M. T.; Pérez-Pariente, J.; J. Catal. 1994, 148, 569. DOI: http://dx.doi.org/10.1006/jcat.1994.1243

11. Mascarenhas, A. J. S.; Oliveira, E. C.; Pastore, H. O.; Química Nova na Escola 2001, 25.

12. Groen, J. C.; Peffer, L. A. A.; Pérez-Ramírez, J.; Micropor. Mesopor. Mater. 2003, 60, 1. DOI: http://dx.doi.org/10.1016/S1387-1811(03)00339-1

13. Huiyong, C.; Hongxia, X.; Xianying, C.; Yu, Q.; Micropor. Mesopor. Mater. 2009, 118, 396. DOI: http://dx.doi.org/10.1016/j.micromeso.2008.09.020

14. Ordomsky, V. V.; Murzin, V. Y., Monakhova, Y. V.; Zubavichus, Y. V.; Knyazeva, E. E.; Nesterenko, N. S.; Ivanova, I. I.; Micropor. Mesopor. Mater. 2007, 105, 101. DOI: http://dx.doi.org/10.1016/j.micromeso.2007.05.056

15. Wang, Y.; Cui, D.; Li, Q.; Micropor. Mesopor. Mater. 2011, 142, 503. DOI: http://dx.doi.org/10.1016/j.micromeso.2010.11.029

16. Mokrzycki, L.; Sulikowski, B.; Olejniczak, Z.; Catal. Lett. 2009, 127, 296. DOI: http://dx.doi.org/10.1007/s10562-008-9678-z

17. José, N. M.; Prado, L. A. S. A.; Quim. Nova 2005, 28, 281. DOI: http://dx.doi.org/10.1590/S0100-40422005000200020

18. Kloetstra, K. R.; Zandbergen, H. W.; Jansen, J. C.; Bekkum, H. V.; Micropor. Mater. 1996, 6, 287 DOI: http://dx.doi.org/10.1016/0927-6513(96)00036-3

19. Goto, Y.; Fukushima, Y.; Ratu, P.; Imada, Y.; Kubota, Y.; Sugi, Y.; Ogura, M.; Matsukata, M.; J. Porous Mater. 2002, 9, 43. DOI: http://dx.doi.org/10.1023/A:1014303906232

20. Ivanova, I. I.; Kuznetsov, A. S.; Yuschenko, V. V.; Knyazeva, E. E.; Pure Appl. Chem. 2004, 76, 1647.

21. Ivanova, I.I.; Kuznetsov, A. S; Ponomareva, O. A.; Yuschenko, V.V.; Knyazeva, E. E.; Stud. Surf. Sci. Catal. 2005, 158, 121.

22. Khitev, Y. P.; Kolyagin, Y. G.; Ivanova, I. I.; Ponomareva, O. A.; Thibault-Starzyk, F.; Gilson, J.-P.; Fernandez, C.; Fajula, F.; Micropor. Mesopor. Mater. 2011, 146, 201. DOI: http://dx.doi.org/10.1016/j.micromeso.2011.05.003

23. Khitev, Y. P.; Ivanova, I.I.; Kolyagin, Y. G.; Ponomareva, O. A.; Appl. Catal. A 2012, 441-442, 124. DOI: http://dx.doi.org/10.1016/j.apcata.2012.07.010

24. Tang, Q.; Xu, H.; Zheng, Y.; Wang, J.; Hansheng Li, Zhang, J.; Appl. Catal. A 2012, 413-414, 36. DOI: http://dx.doi.org/10.1016/j.apcata.2011.10.039

25. Inagaki, S.; Ogura, M.; Inami, T.; Sasaki, Y.; Kikuchi, E.; Matsukata, M.; Micropor. Mesopor. Mater. 2004, 74, 163. DOI: http://dx.doi.org/10.1016/j.micromeso.2004.06.004

26. Ogura, M.; Shinomiya, S.; Tateno, J.; Nara, Y.; Nomura, M.; Kikuchi, E.; Matsukata, M.; Appl. Catal. A 2001, 219, 33. DOI: http://dx.doi.org/10.1016/S0926-860X(01)00645-7

27. Pedrosa, A. M. G.; Souza, M. J. B.; Silva, A. O. S.; Melo, D. M. A.; Araújo, A. S.; Catal. Commun. 2006, 7, 791. DOI: http://dx.doi.org/10.1016/j.catcom.2006.02.012

28. Souza, M. J. B.; Araujo, A. S.; Marinkovic, B. A.; Jardim, P. M.; Morgado Junior, E.; Garrido Pedrosa, A. M.; Mater. Lett. 2006, 60, 2682. DOI: http://dx.doi.org/10.1016/j.matlet.2006.01.066

29. Kinski, I.; Daniels, P.; Deroche, C.; Marler, B.; Gies, H.; Micropor. Mesopor. Mater. 2002, 56, 11. DOI: http://dx.doi.org/10.1016/S1387-1811(02)00435-3

30. Araujo, S. A.; Ionashiro, M. Fernandes Jr., V. J.; Araujo, A. S.; J. Therm. Anal. Calorim. 2001, 64, 801. DOI: http://dx.doi.org/10.1023/A:1011564916290

31. Guisnet, M.; Ribeiro, F. R.; Zeólitos um Nanomundo ao Serviço da Catálise, Fundaçao Calouste Gulbenkian: Lisboa, 2004

32. Cesteros, Y.; Haller, G. L.; Micropor. Mesopor. Mater. 2001, 43, 171. DOI: http://dx.doi.org/10.1016/S1387-1811(00)00325-5

33. Kooyman, P. J.; Abstracts of 4th International FEZA Conference, Paris, France, 2008.

34. Araujo, A. S.; Jaroniec, M.; Thermochim. Acta 2000, 175, 363.

On-line version ISSN 1678-7064 Printed version ISSN 0100-4042
Qu�mica Nova
Publica��es da Sociedade Brasileira de Qu�mica
Caixa Postal: 26037 05513-970 S�o Paulo - SP
Tel/Fax: +55.11.3032.2299/+55.11.3814.3602
Free access

GN1