JBCS



16:06, qui out 23

Acesso Aberto/TP



Artigo


Trihalometanos em água potável e riscos de câncer: simulação usando potencial de interação e transformações de Bäcklund
Trihalomethanes in fresh water and cancer hazard: simulation using interaction potential and Bäcklund transformations

Benjamim H. de Lima SilvaI,*; Marcos A. Bezerra de MeloII

IDepartamento de Engenharia Química, Universidade Federal de Pernambuco, 50760-901 Recife - PE, Brasil
IIUnidade Acadêmica de Serra Talhada, Universidade Federal Rural de Pernambuco, C.P. 063, Serra Talhada - PE, Brasil

Recebido em 03/07/2014
Aceito em 03/11/2014
Publicado na web em 11/02/2015

Endereço para correspondência

*e-mail: henrique.benjamim@gmail.com

RESUMO

We briefly investigated the well-known correlation of trihalomethanes, present in fresh water, with cancer hazard in humans. A transient alternative method of chemical simulation using Bäcklund Transformations and Quantum Mechanics is presented. Finally, the method was applied to simulate the interaction between Trichloridemethane and Alanine - as well as its amino and carboxyl groups.

Palavras-chave: trihalomethanes; interaction potential; Bäcklund transformations.

INTRODUÇÃO

A água ingerida pelo homem é um dos meios que mais podem veicular organismos patológicos. Ao longo da história várias infecções, tais como cólera, febre tifóide, hepatite infecciosa, leptospirose, entre outras, dispersaram-se através da água consumida, causando a morte de inúmeras pessoas.1,2

Vários métodos são utilizados para suprimir essas infecções e tornar a água própria para o consumo humano, dentre eles podemos citar os que empregam: calor, luz solar, cloro, ácido peracético, ozônio, combinação ozônio/cloro e radiação ultravioleta. Devido à facilidade de aplicação, ao baixo custo e a alta eficiência, a adição de cloro é o método mais utilizado atualmente no mundo, chegando a ser usado em 90% das estações de tratamento de água.3,4

Estudos, na década de 70, no entanto, mostraram que o cloro reage com substâncias orgânicas naturais presentes na água, como os ácidos húmicos, ácidos fúlvicos, clorofila etc., formando triclorometano (CHCl3), também conhecido como clorofórmio, substância pertencente à classe dos trihalometanos (THM's).5-7 Nessa época, já havia pesquisas mostrando que esses compostos causam diversos males à saúde humana incluindo problemas no sistema reprodutivo, abortos espontâneos e maior propensão ao câncer.8-10 Em 1974, pesquisadores americanos, realizando estudos pela U.S. Environmental Protection Agency em 113 estações de tratamento de água, correlacionaram a presença do clorofórmio na água e a incidência de câncer.11 Na década de 90, essa substância, que das substâncias THM's é a mais estudada, mostrou-se carcinogênica para ratos causando tumores de fígado, estômago, rins, tireóide, intestino e reto nas cobaias.12 Como o metabolismo desses roedores é semelhante ao humano, existe considerável suspeita de que essa substância também possa causar câncer nos seres humanos.

Sabe-se que dentre os THM's, o triclorometano é o que se forma em maior proporção na água para consumo.7 Esse composto é genericamente derivado de metano, no qual três dos quatros átomos de hidrogênio estão substituídos por átomos de cloro. Caso bromo ou iodo também estejam presentes na água, outros nove THM's podem ser formados: Bromodiclorometano (CHBrCl2); Dibromoclorometano (CHBr2Cl); Tribromometano (CHBr3); Dicloroiodometano (CHCl2I); Bromocloroiodometano (CHBrClI); Clorodi-iodometano (CHClI2); Dibromoiodometano (CHBr2I); Bromodi-iodometano (CHBrI2); e Triodometano (CHI3). Desses, além do triclorometano, os que são formados em maiores proporções são: o bromodiclorometano e o dibromoclorometano.5-7,12

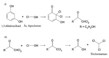
Devido à complexidade dos precursores orgânicos, ao complicado mecanismo na qual as substâncias orgânicas presentes na água reagem com o cloro, e ainda às diversas possibilidades de reação, a formação dos THM's, durante a desinfecção da água com cloro, não está bem elucidada; mas há na literatura estudos que sugerem ataque do cloro a um carbono de anel aromático de uma terminação fenólica no ácido húmico seguida pela clivagem da ligação do anel.12,13 O esquema 1 mostra um mecanismo simplificado da formação de triclorometano a partir do ácido hipocloroso (HOCl) formado pelo cloro molecular e a água durante o processo de desinfecção e o resorcinol C6H4(OH)2, que é uma terminação fenólica do ácido húmico.14

 


Esquema 1. Mecanismo resumido da formação de triclorometano

 

Embora a Organização Mundial da Saúde considere o clorofórmio apenas como possível causador de câncer, estudos desenvolvidos no início do século XXI, na Espanha, relacionam índices de aumento de câncer de cólon e de bexiga com os THM's presentes na água.15 Outros estudos, desenvolvidos em Hong Kong, correlacionaram o fator potencial de câncer, devido a trihalometanos, com a quantidade de água ingerida em 19 localidades na região de Hong Kong.16 No Canadá, estudos relacionaram câncer de estômago com dosagem de cloro nas águas e de THM's com câncer de intestino grosso em homens, bem como associaram concentração de clorofórmio na água tratada com câncer de cólon, reto e tórax, em homens e mulheres.17

A formação de trihalometanos durante a desinfecção de águas potáveis e seus riscos à saúde humana têm despertado a preocupação na área de saúde pública. Há, portanto, um esforço progressivo para reduzir os limites permitidos para as concentrações de THM's em águas para fins de abastecimento público.17,18 A legislação brasileira, por meio da Portaria nº 2.914, de 12 de dezembro de 2011, em vigência atualmente, estabelece a obrigação de manter, no mínimo, 0,2 mg L-1 de cloro residual livre ou 2 mg L-1 de cloro residual combinado ou de 0,2 mg L-1 de dióxido de cloro em toda a extensão do sistema de distribuição (reservatório e rede) e recomenda a concentração máxima de 0,2 mg L-1 para cloro residual livre nos pontos do sistema de abastecimento.19

Sabendo que o surgimento de câncer está correlacionado a alterações em grupos aminos e carboxilas de aminoácidos que formam as proteínas, principais constituintes dos tecidos vivos,20 este trabalho, a partir de um método baseado na evolução dos potenciais de interação atômica, apresenta a simulação molecular da possível reação entre o triclorometano e o aminoácido alanina. Buscamos indícios de alterações provocadas pelo triclorometano no grupo amino e grupo carboxila desse aminoácido que possam indicar modificações em proteínas que sinalizem a formação de câncer. A escolha da alanina se deu pela simplicidade da sua estrutura e sua larga utilização na construção de proteínas.21

Simulação molecular

Chama-se de simulação de reações químicas a previsão de mecanismos, compostos intermediários e produtos de reação, por meio de métodos clássicos ou embasados na Química Quântica. O desenvolvimento da Mecânica Quântica no século passado permitiu que informações teóricas dos átomos e moléculas fossem usadas - junto com ferramentas matemáticas - para prever possibilidades de ocorrência de uma reação química e para obter rotas mais economicamente viáveis para determinados processos químicos, tais como: síntese de novos fármacos, dopagem de materiais, catalisadores e reagentes para química fina, etc.22,23

Existem basicamente duas formas de prever uma reação: podemos fazer previsões essencialmente qualitativas, empregando regras empíricas e semiempíricas oriundas da química clássica ou fazer uso de modelos quânticos.24-26

Este trabalho faz uso de um novo método analítico, desenvolvido por Salgueiro,23,24 que se baseia em transformações de Bäcklund para resolver a equação de Schrödinger. A ideia básica é que é possível mapear algumas classes de equações diferenciais parciais em outras equações que compartilham o mesmo espaço de soluções, mas com processo de resolução consideravelmente simplificado em relação à equação original.23-25,27 Essa abordagem tem sido bastante usada para resolver a equação de Schrödinger, atualmente, em trabalhos de Física e Computação.27-32

Transformações de Bäcklund

As transformações de Bäcklund produzem mapeamentos entre soluções de duas equações diferenciais. Por meio da aplicação de restrições ou operadores diferenciais sobre a solução exata conhecida de uma determinada equação diferencial denominada equação auxiliar, converte-a em uma solução de outra equação diferencial mais complexa e de maior interesse prático, chamada de equação alvo.34,35

 

EXPERIMENTO

Modelos locais e não locais

Modelos locais são modelos de interações locais que se baseiam na equação de Schrödinger e no potencial de interação. Os modelos não locais são obtidos a partir dos modelos locais e são baseados apenas no potencial de interação e podem ser usados para estimar compostos intermediários e produtos finais da reação.23

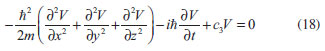
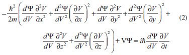
A formulação está estruturada no uso do potencial de interação como variável supondo que a função de onda depende mais fortemente dele que de suas derivadas. As reações químicas serão então previstas com base na disponibilidade de troca e compartilhamento de elétrons, o que será inferido, por sua vez, ao observar as interações das isolinhas do potencial das moléculas em reação. Assim, partindo da equação de onda de Schrödinger, Equação (1), não relativista e dependente do tempo:

Fazendo-se ψ = Ψ(V) e usando a regra da cadeia para converter as variáveis espaciais na variável V, tem-se a Equação (2).

Colocando os termos das derivadas da função de onda, com o argumento potencial de interação, em ambos os lados da equação e separando os termos multiplicados pela derivada segunda do potencial de interação de um lado e os termos multiplicados pela derivada primeira do potencial do outro e considerando Ψ = 0, obtém-se a Equação (3), que é válida nas vizinhanças dos zeros da função de onda.

Como a Equação (3) também seria obtida caso o potencial fosse nulo (V = 0), resulta que, nessa região, o potencial de interação é constante - similar à solução da partícula na caixa. Fixando-se um valor numérico para o potencial de interação, o quociente entre as derivadas presentes no membro esquerdo de (3) resulta numa constante, k, e obtemos a seguinte Equação (4):

Essa equação é não linear e, portanto, não é passível da resolução por separação de variáveis. Para resolvê-la, recorre-se a transformações de Bäcklund, que permitirão usar soluções exatas da equação do calor (Equação (5)) para obter soluções da Equação (4). O desenvolvimento matemático a seguir será feito apenas para duas dimensões por razões de simplificação, mas pode ser naturalmente aplicado a sistemas tridimensionais.22-25,34

Partindo da equação do calor, Equação (5), em coordenadas retangulares:

E tomando o sistema de equações diferenciais:

Em que a e b são funções de x, y e t. Substituindo as respectivas Equações (6) e (7) na Equação (5) e colocando g em evidência, temos:

Pelo Teorema de Clairaut-Schwarz-Young,36 admitindo que a função g seja contínua no domínio de interesse, resulta a Equação (9):

Definindo a como a derivada de uma função arbitrária V em relação a x (Equação (10)) e b como a derivada da mesma função em relação a y (Equação (11))

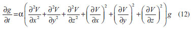
Substituindo as Equações (10) e (11) na Equação (8) e a deduzindo para três dimensões, obtém-se assim a Equação (12) que é igual ao primeiro e segundo termos da Equação (4). Agora podemos converter a solução da Equação (5) em soluções também da Equação (4).

Para tanto, define-se uma mudança de variável entre g e T. Pelas Equações (6) e (10), tem-se a Equação (13).

Cuja solução imediata por cálculo elementar é a Equação (14).

O termo C pode ser desconsiderado sem perda de generalidade, já que se trata apenas de uma conversão de variáveis. Reescrevendo a Equação (12) em termos de operadores vetoriais, tem-se a Equação (15).

Desenvolvendo-se a Equação (15) usando a regra da cadeia e comparando-se com a Equação (4), nota-se que elas serão idênticas se a Equação (4) obedecer a seguinte equação diferencial:

Cuja solução é:

na qual c1, c2 e k1 são constantes arbitrárias.

Assim, para linearizar a Equação (4), basta relacioná-la com a Equação (15) obtida a partir da aplicação das transformações de Bäcklund, determinando a função g(V), cuja solução dada pela Equação (17) corresponde ao primeiro modelo local. Esse modelo local é válido tanto nas vizinhanças dos zeros da função de onda quanto dos locais onde o potencial é baixo.

Os outros modelos locais: um nas vizinhanças dos pontos de inflexão (obtidos anulando as derivadas segundas da Equação (2)), e o outro válido nas vizinhanças dos pontos de máximo e mínimo da função, são obtidos fazendo as derivadas primeiras do potencial de interação na Equação (2) iguais a 0, e são expressos, respectivamente, pelas Equações (18) e (19).

em que c3 =

na qual s(x,y,z) é uma solução arbitrária da Equação (20).

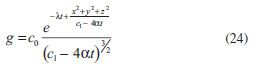
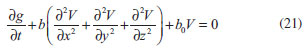
Para obter-se uma generalização busca-se um formalismo que permita a conversão de modelos locais em modelos não locais, válidos em toda a extensão do domínio. Acrescenta-se à Equação (4) o termo de ordem zero, c0V, sendo c0 uma constante arbitrária, e usa-se a mesma transformação usada na obtenção do primeiro modelo local, resultando numa equação expressa com a função auxiliar g(V) como variável independente:

Sendo b e b0 novas constantes arbitrárias. A Equação (21) está expressa tanto em termos da função auxiliar g(V) como da variável V. Para resolvê-la, deve-se buscar uma equação dependendo apenas de uma dessas funções. Isso pode ser feito expandido a Equação (17) em série de Taylor, truncada no termo linear, com a qual se obtém uma aproximação razoável.

Em que k2 é muito menor que 1 e c7 é uma constante arbitrária. Considerada a proporcionalidade entre g e V, expressa pela Equação (22), podemos reescrever a Equação (21) como:

Agora b1 e b2 são outras constantes arbitrárias que reúnem todas as outras constantes das equações dos modelos locais anteriores. A Equação (23) representa o Modelo Difusivo de Malthus34 e tem solução imediata semelhante a uma função gaussiana.

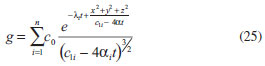
Essa equação descreve a evolução temporal do potencial de interação entre os átomos durante a reação. Os parâmetros: λ e α são definidos na calibração feita a partir da reação entre potássio e flúor. λ é aproximado por uma função linear do raio atômico e α, o coeficiente de difusão do modelo, aproximado por uma função exponencial decrescente do potencial de ionização. Nessa abordagem os núcleos são considerados fixos e o estado do sistema, contendo n átomos, é descrito pela combinação linear de cada um deles conforme a Equação (25).

O subíndice i refere-se aos átomos individuais. Quanto aos parâmetros presentes, seus valores foram estimados como:

onde ra é o raio atômico e p é o potencial de ionização. Mais detalhes sobre a metodologia de obtenção de tais parâmetros podem ser obtidos na literatura.23,24

Simulação da reação química entre a alanina e o triclorometano

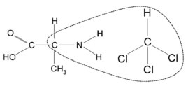
Usamos mecanismos da Química Orgânica Clássica para prever o sítio reativo de cada substância. Como a formação de câncer está relacionada com alterações nos grupos aminos e carboxilas de aminoácidos22-25,37 e a simulação, apresentada aqui, consiste na visualização da evolução temporal das isolinhas do potencial de interação relativo aos elétrons que se acredita que fazem parte do processo reativo, é razoável supor que não é necessária a aplicação do modelo a todos os átomos das moléculas, mas apenas naqueles que se encontram nas imediações dos supostos sítios reativos. Assim, foi feita a simulação entre o triclorometano (Figura 1) e os grupos amino e carboxila da alanina (Figura 2) separadamente e, por fim, a simulação com todos os átomos de ambas as moléculas na geometria mais favorável à interação dos elétrons que participarão da reação, para observar o processo geral de interação dos átomos envolvidos.

 


Figura 1. Estrutura molecular do Triclorometano

 


Figura 2. Estrutura molecular da Alanina

 

 

RESULTADOS E DISCUSSÃO

As simulações foram efetuadas usando o Maple 15®. As cores que se observam variam linearmente de -18 eV (violeta) a 0 eV (vermelho). A cor amarela, poços atrativos de -7 eV, corresponde a potenciais de interação ligeiramente abaixo daquele de ruptura da ligação e a cor verde, poços atrativos de -12 eV, indica um potencial com energia de ruptura, ou seja, sistema considerado reativo.23,24 O tempo de processamento foi padronizado para cada reação e correspondente ao total de iterações, em 100 unidades atômicas de tempo (uat). Os resultados apresentados mostram apenas os momentos que apresentam mudanças visuais no sistema. As posições dos átomos, nos sítios de reação, foram padronizadas em 2 Å, que é uma região com ampla densidade de pontos de amostragem para compor os modelos não locais.

Interação do triclorometano com o grupo amino da alanina

A Figura 3 mostra um plano de corte contendo a região do sistema que foi considerada nos cálculos. As demais Figuras 4 - 6 mostram as isolinhas do potencial de interação dos átomos constituintes do sistema ao longo do tempo, sendo que na Figura 4 há o símbolo de cada elemento químico nos átomos para identificação.

 


Figura 3. Plano de corte contendo a região do sistema que foi considerada nos cálculos da simulação do grupo amino com o triclorometano

 


Figura 4. Isolinhas do potencial de Interação do triclorometano com o grupo amino da alanina no estado inicial

 


Figura 5. Isolinhas do potencial de Interação do triclorometano com o grupo amino da alanina para t = 80 uat

 


Figura 6. Isolinhas do potencial de Interação do triclorometano com o grupo amino da alanina para t = 100 uat

 

Pela simulação, observamos que o sistema não é reativo nessa posição, pois não se observam interações entre os potenciais dos átomos de uma substância com os potenciais de átomos da outra. Basta ver que não há intersecção das isolinhas dos átomos dos grupos simulados.

Pela literatura38 sabia-se que o cloro não deslocaria a amina, principalmente por estar blindado pelos outros dois cloros do triclorometano. Uma explicação seria que a Ligação C - NH3 é estável e não compensaria, energeticamente, a ruptura C - Cl. Algo semelhante acontece com os hidrogênios da amina, no qual, a uma ligação Cl - H não compensa a ruptura da ligação N - H.

Interação do triclorometano com o grupo carboxila da alanina

A Figura 7 mostra o plano de corte no qual será aplicada a simulação. As Figuras seguintes, 8-11, mostram as dispersões dos potenciais de interação de cada átomo.

 


Figura 7. Plano de corte contendo a região do sistema que foi considerada nos cálculos da simulação do grupo carboxila com o triclorometano

 


Figura 8. Isolinhas do potencial de Interação do triclorometano com o grupo carboxila da alanina no estado inicial

 


Figura 9. Isolinhas do potencial de Interação do triclorometano com o grupo carboxila da alanina para t = 80 uat

 


Figura 10. Isolinhas do potencial de Interação do triclorometano com o grupo carboxila da alanina para t = 100 uat

 


Figura 11. Isolinhas do potencial de Interação do triclorometano com o grupo carboxila da alanina para t = 120 uat

 

No tempo t = 100 uat, a simulação apresentou indícios de interação entre o respectivo cloro e a hidroxila da carboxila, por essa razão foi expandido o tempo de simulação até 120 uat, que é um tempo ligeiramente acima do especificado. Note que, ao se tomar essa decisão, é preciso levar em conta o caráter difusivo do modelo. A Figura 11 mostra essa interação, bem como dá importantes indícios que, nessa posição, o sistema apresenta interação, podendo vir a ser reativo.

Simulação da reação química geral entre triclorometano e alanina

Por último, realizou-se a simulação da reação geral envolvendo todos os átomos de ambas as moléculas, ficando de fora do plano de visualização apenas um grupo metil da alanina que se mostrou pouco interessante. As Figuras 12-14 mostram as isolinhas do potencial de interação do sistema ao longo da evolução temporal.

 


Figura 12. Isolinhas do potencial de Interação do triclorometano e a alanina no estado inicial

 


Figura 13. Isolinhas do potencial de Interação do triclorometano e a alanina para t = 80 uat

 


Figura 14. Isolinhas do potencial de Interação do triclorometano e a alanina para t = 100 uat

 

Por questões de conveniência, os dois átomos de hidrogênio ligados aos carbonos centrais foram omitidos para não atrapalharem nas posições espaciais da reação e por entendermos que o ponto crucial de tal reação é a possibilidade de ligação entre o cloro e o carbono, pois mesmo que a eliminação do hidrogênio seja importante para tal possível ligação e que também possa ser causada por influência do cloro, não podemos aplicar o método a cada etapa do mecanismo.

Observam-se intensas interações entre um cloro do triclorometano e o carbono central da alanina, que são importantes indícios de que o sistema é muito reativo nessa posição, além de corroborar a teoria sobre α-halogenação38 na qual o halogênio se liga ao carbono α imediatamente ligado ao carbono da carboxila.

 

CONSIDERAÇÕES FINAIS

Embora as limitações dinâmicas do método não permitam a obtenção do produto final dessa reação, as possíveis interações observadas são importantes indicadores de alterações em aminoácidos. Apesar da simulação apresentada se mostrar coerente em seus resultados, o uso de outros métodos complementares, bem como o acompanhamento experimental em laboratório químico, são primordiais para uma análise mais abrangente sobre a formação dos agentes patogênicos tratados nesse artigo.

 

REFERÊNCIAS

1. Libânio, M.; Fundamentos de Qualidade e Tratamento de Agua, 2nd ed., Atomo: Campinas, 2008.

2. Di Bernado, L.; Paschoalato, C. F. P. R.; Trimailovas, M. R.; Engenharia Sanitária Ambiental, 2008, 13, 313. DOI: http://dx.doi.org/10.1590/s1413-41522008000300011

3. Di Bernado, L.; Dantas, A. D. B.; Métodos e Técnicas de Tratamento de Agua, 2nd ed., Rima: Sao Carlos, 2005.

4. Alvarenga, J. A.; Dissertaçao de Mestrado, Universidade Federal de Minas Gerais, Brasil, 2010.

5. Pianowski, E. H.; Janissek, P. R.; SANARE - Revista Técnica da Sanepar 2003, 20, 6.

6. Andeola, R.; Bergamasco, R.; Gimenes, M. L.; Dias Filho, B. P.; Constantino, A. F.; Acta Sci. Technol. 2005, 27, 133. DOI: http://dx.doi.org/10.4025/actascitechnol.v27i2.1457

7. Borges, J. T.; Guimaraes, J. R. Simpósio Italo Brasileiro de Engenharia Sanitária e Ambiental, Vitória, Brasil, 2002.

8. Ferreira Filho, S. S. e Sakaguti, M.; Engenharia Sanitária Ambiental 2008, 13, 198. DOI: http://dx.doi.org/10.1590/S1413-41522008000200010

9. Komulainen, H.; Toxicology 2004, 198, 239. DOI: http://dx.doi.org/10.1016/j.tox.2004.01.031 PMID: 15138047

10. Tominaga, M. Y.; Midio, A. F.; Rev. Saude Publica 1999, 33, 413. DOI: http://dx.doi.org/10.1590/S0034-89101999000400013 PMID: 10542476

11. Singer, P. C.; Safety of water disinfection: balancing chemical and microbial risks, Ilsi Press: Washington, D.C., 1993.

12. Meyer, S. T.; Cadernos de Saúde Pública 1994, 10, 99. DOI: http://dx.doi.org/10.1590/S0102-311X1994000100011 PMID: 15094923

13. Baird, C.; Environ. Chem. 2002, 36, 65.

14. Boyce, S. D.; Hornig, J. F.; Environ. Sci. Technol. 1983, 17, 202. DOI: http://dx.doi.org/10.1021/es00111a715 PMID: 22304635

15. Villanueva, C. M.; Kogervinas, M.; Grimalt, J. O.; Gaceta Sanitaria 2001, 15, 48. DOI: http://dx.doi.org/10.1016/S0213-9111(01)71517-8

16. Lee, S. C.; Guo, H.; Lam, S. M. J.; Lau, S. L. A.; Environ. Res. 2004, 94, 47. DOI: http://dx.doi.org/10.1016/S0013-9351(03)00035-5 PMID: 14643286

17. Gopal, K., Tripathy, S. S.; Bersillon, J.; Dubey, S. P.; J. Hazard Mater. 2007, 140, 1. DOI: http://dx.doi.org/10.1016/j.jhazmat.2006.10.063 PMID: 17129670

18. Leao, V. G.; Dissertaçao de Mestrado, Universidade de Brasília, Brasil, 2008.

19. Nogueira, A, S.; Dissertaçao de Mestrado, Universidade Federal do Ceará, Brasil, 2011.

20. Portaria nº 2.914, de 12 de dezembro de 2011. Ministério da Saúde.

21. Sambrano, J. R.; Souza, A. R.; Queralt, J. J; Longo, J. A. E.; Quim. Nova 1999, 22, 501. DOI: http://dx.doi.org/10.1590/S0100-40421999000400006

22. Salgueiro, M. G.; Dissertaçao de Mestrado, Universidade Federal do Rio Grande do Sul, Brasil, 2003

23. Salgueiro, M. G.; Tese de Doutorado, Universidade Federal do Rio Grande do Sul, Brasil, 2008.

24. Ribeiro, V. G.; Zabadal, J.; Salgueiro, M. G.; Chiaramonte, E.; Cadernos do IME - Série Informática 2010, 29, 19. DOI: http://dx.doi.org/10.12957/cadinf.2010.6542

25. Mello, C. G.; Dissertaçao de Mestrado, Universidade Federal do Rio Grande do Sul, Brasil, 2012.

26. Sant'Anna, Carlos M. R.; Revista Virtual de Química 2009, 1, 49. DOI: http://dx.doi.org/10.5935/1984-6835.20090007

27. Chiaramonte, E.; Zabadal, J. R. S.; Garcia, R. L.; Ribeiro, V. G.; Revista Liberato 2008, 9, 23.

28. Tang, X. Y.; Gao, Y.; Shukla, P. K.; Eur. Phys. J. D 2011, 64, 677. DOI: http://dx.doi.org/10.1140/epjd/e2010-09660-y

29. Biondini, G.; Bui, A.; Stud. Appl. Math. 2012, 129, 249. DOI: http://dx.doi.org/10.1111/j.1467-9590.2012.00553.x

30. Zhen, H.; Tian, B.; Li, M.; Jiang, Y.; Wang, M.; Computational Mathematics and Mathematical Physics 2014, 54, 512. DOI: http://dx.doi.org/10.1134/S0965542514030087

31. Li, M.; Xiao, J.; Yan, T.; Tian, B.; Nonlinear Anal.: Real World Appl. 2013, 14, 1669. DOI: http://dx.doi.org/10.1016/j.nonrwa.2012.11.003

32. Wang, P.; Tian, B.; Jiang, Y.; Wang, M.; Phys. Scr. (2013), doi:10.1088/0031-8949/87/04/045014. DOI: http://dx.doi.org/10.1088/0031-8949/87/04/045014

33. Zedan H. A.; Aladrous, E.; Shapll, S.; Nonlinear Dyn. 2013, 74, 1145. DOI: http://dx.doi.org/10.1007/s11071-013-1030-5

34. Almeida, S. C.; Pimentel, F. A. A.; Matemática Universitária 1996, 20/21, 23.

35. Sperotto, F. A.; Tese de Doutorado, Universidade Federal do Rio Grande do Sul, Brasil, 2007. Edelen, D. G. B.; Int. J. Eng. Sci. 1988, 26, 847.

36. Hassani, S.; Mathematical Methods for Students of Physics and Related Fields, 2nd ed., Springer: New York, 2009.

37. Silva, V. B.; Dissertaçao de Mestrado, Universidade de Sao Paulo, Brasil, 2005.

38. Solomons, G.; Fryhle, C.; Química Orgânica, v. 1, 7th ed., LTC: Rio de Janeiro, 2001.

On-line version ISSN 1678-7064 Printed version ISSN 0100-4042
Qu�mica Nova
Publica��es da Sociedade Brasileira de Qu�mica
Caixa Postal: 26037 05513-970 S�o Paulo - SP
Tel/Fax: +55.11.3032.2299/+55.11.3814.3602
Free access

GN1