JBCS



16:16, qui out 23

Acesso Aberto/TP



Artigo


Dispositivos DGT modificados com materiais alternativos para uso na especiação de elementos traço
Modified DGT devices using alternative materials for the speciation of trace elements in natural waters

Cristiano L. ChostakI,II; Mônica S. de CamposI; Simone B. da SilvaI; Gilberto AbateI; Marco T. GrassiI,*

IDepartamento de Química, Universidade Federal do Paraná, CP 19081, 81531-980 Curitiba - PR, Brasil
IIDepartamento de Cultura Geral, Instituto Federal de Santa Catarina, R. Pavão 1377, 89220-618 Joinville - SC, Brasil

Recebido em 12/08/2014
Aceito em 02/12/2014
Publicado na web em 03/03/2015

Endereço para correspondência

*e-mail: mtgrassi@quimica.ufpr.br

RESUMO

The use of MT-K10 Montmorillonite immobilized onto agarose was investigated in this work as an alternative binding phase in Diffusive Gradient in Thin Film (DGT) devices for the determination of metallic labile species. In addition, agarose itself was also used as the diffusive phase. The percentage of sorption of Zn2+, Cu2+, Cr3+, Mn2+, Cd2+, Pb2+, and Ni2+ onto the binding phase was higher than 80% and the desorption process for all elements was also greater than 75%. Elution factors were determined experimentally, ranging from 0.74 for Zn2+ and 0.90 for Cr3+ and Pb2+. The accumulation of all species was linear with time, in agreement with the Fick's 1st law of diffusion. The deployment of the alternative devices in natural waters was compared to commercial devices. Labile concentrations determined by the alternative devices were slightly superior compared to results obtained with the deployment of original DGT devices due to the less restrictive pores of agarose.

Palavras-chave: labile species; metal speciation; natural waters.

INTRODUÇÃO

Em ambientes aquáticos as espécies metálicas podem estar presentes sob diferentes formas físico-químicas. Todavia, apenas algumas destas espécies podem ser consideradas biodisponíveis ou efetivamente tóxicas para a biota aquática.1 Fenômenos tais como distribuição, transporte e biodisponibilidade de metais em águas naturais são controlados, principalmente, por processos físicos e químicos que ocorrem na coluna d'água, de maneira que a influência de cada processo na especiação dos metais depende não apenas das características da própria espécie metálica, mas igualmente da composição do meio aquático receptor.2 Portanto, a análise de especiação de metais, em ambientes aquáticos, representa aspecto chave na compreensão do comportamento, destino, e principalmente, do real impacto das espécies metálicas à biota.3

De maneira geral, a formação de complexos com ligantes orgânicos reduz expressivamente a disponibilidade biológica de espécies metálicas, dado que estes complexos não são capazes de transpor membranas celulares. Contudo, complexos metálicos inorgânicos podem ser reversíveis, dissociando-se para formar espécies metálicas livres hidratadas, aquelas consideradas biodisponíveis. A partição entre as fases aquosa e sólida também é reconhecida por exercer grande influência na especiação e, marcadamente, no destino e efeitos de espécies metálicas em ambientes aquáticos.4,5

No passado, diferentes estratégias foram utilizadas na condução de estudos envolvendo a especiação de metais em ambientes aquáticos. Na maioria dos casos, costumava-se realizar a determinação da concentração total (denominada total recuperável) após um processo de digestão relativamente drástico, a determinação da concentração total na fração dissolvida, após uma etapa de filtração em membrana com 0,45 µm de porosidade e, finalmente, a determinação da fração comumente chamada lábil, ou biodisponível, frequentemente utilizando-se métodos voltamétricos. Sodré et al.6 propuseram um método de digestão para amostras não filtradas e filtradas baseado no emprego da radiação UV, em processo assistido por micro-ondas, na determinação de cobre. A fração lábil foi determinada por voltametria de redissolução anódica com pulso diferencial (VRAPD) e competição de ligantes, empregando etilenodiamina como ligante de competição. A voltametria de redissolução anódica com pulso diferencial também foi utilizada por Tonietto e Grassi7 na análise de especiação de cobre e zinco em águas naturais, após emprego da digestão UV assistida por micro-ondas. A análise de especiação de cobre, cádmio, chumbo e zinco também foi realizada com sucesso empregando-se tanto a voltametria de redissolução anódica quanto a catódica.8,9

Uma ferramenta analítica que tem se tornado relevante na determinação in situ de espécies lábeis é a difusão em filmes finos por gradiente de concentração - DGT - do inglês diffusive gradients in thin films.10,11 Este dispositivo tem sido amplamente utilizado em determinações de espécies inorgânicas lábeis, especialmente metais, pois permite a pré-acumulação multielementar em diferentes matrizes ambientais, como por exemplo águas, sedimentos e solos.

O dispositivo funciona com base na primeira Lei de Difusão de Fick, sendo estabelecido um gradiente de concentração entre a fase de ligação (resina Chelex-100) e a amostra, o que gera um fluxo das espécies lábeis do analito que se difunde através da camada difusiva (hidrogel de poliacrilamida) e são acumuladas na fase ligante.10,11 A concentração da espécie acumulada durante um dado período de tempo pode ser determinada realizando-se a eluição do analito da fase de ligação e posterior quantificação com uma técnica analítica adequada.10

A quantidade de matéria das espécies acumuladas no dispositivo pode ser calculada a partir da equação 1:

na qual Me é a quantidade de matéria ou massa das espécies retidas fase de ligação, Ce é a concentração do analito eluído, Vt é o volume total usado na eluição e fe é o fator de eluição da espécie na matriz, que no caso da resina Chelex-100 é aproximadamente 0,8, e significa que, em média, cerca de 80% das espécies acumuladas são recuperadas.10,12

Sabendo-se que a quantidade de matéria da espécie acumulada na resina Chelex se deve ao fluxo (F) das espécies lábeis que se difundiram no hidrogel durante um determinado tempo (t) e que, segundo a primeira lei de difusão de Fick, esse fluxo pode ser determinado pela equação 2, pode-se calcular a concentração das espécies na amostra, rearranjando-se as equações 2 e 3, que seguem.

na qual F é o fluxo das espécies, em mol cm-2 s-1; D é o coeficiente de difusão das espécies em solução aquosa, em cm2 s-1; C é a concentração da espécies na amostra, em mol cm-3 e Δg é a espessura da camada de difusão, em cm. O fluxo pode ser definido em relação à quantidade de matéria (M) das espécies que atravessam a área (A) do gel difusivo durante um período de tempo (t), logo;

Combinando-se as equações 2 e 3 calcula-se a concentração do analito na solução de trabalho.10-13

na qual Clábil é a concentração das espécies na amostra original, em mol cm-3.10,11

Buscando ampliar aplicabilidade dos dispositivos DGT, nos últimos anos vários trabalhos têm proposto alternativas de baixo custo e fácil obtenção para substituir as fases difusiva de ligação comerciais. Na literatura são relatados o uso do papel cromatográfico (Chr, Chr 3MM e 17 Chr) na determinação de cádmio,14,15 o emprego da agarose para determinações de íons de mercúrio(II), cádmio(II), cobre(II), manganês(II), magnésio(II), entre outros, em substituição à fase de difusão.13,16,17 Visando a substituição da fase de ligação convencional existem inúmeras publicações que descrevem a utilização da membrana Whatman P81 à base de fosfato de celulose na determinação de cobre(II) e cádmio(II),18 o emprego da levedura Saccharomyces cerevisiae imobilizada em agarose na determinação de cádmio em amostras de água natural,15 o uso da sílica SBA-15 funcionalizada com o 3-mercaptopropil (SH-SBA) na determinação de Hg(II),17 entre outras.

Nessa busca por novas fases de ligação para os dispositivos DGT, os trocadores iônicos naturais aparecem como uma alternativa interessante, principalmente os argilominerais do tipo 2:1,19,20 que são formados por duas camadas tetraédricas externas de silício e uma octaédrica interna de aluminio.21 Esses materiais são encontrados em abundância na natureza e apresentam grande capacidade de troca catiônica, principalmente em função da elevada área superficial e das substituições isomórficas que originam cargas negativas entre as lamelas do material contribuindo para os processos adsortivos e de troca catiônica.22

Em função dessas propriedades, alguns trabalhos descrevem a utilização dos argilominerais vermiculita e montmorilonita na especiação de cromo,23,24 estudos de sorção e dessorção de uma ampla gama de elementos com os argilominerais vermiculita e motmorilonita, com o uso posterior desse último como a fase de sorção dos dispositivos DGT, sendo que foram obtidos resultados satisfatórios com o DGT modificado, com recuperações de elementos traço, na forma do íon livre, variando de 91 ± 6% a 103 ± 6%.25

Neste contexto, o principal objetivo do presente trabalho foi o desenvolvimento de dispositivos DGT com materiais alternativos, entre os quais a montmorilonita (K10) imobilizada em agarose como fase de ligação e o gel de agarose (AGE) como fase difusiva, assim como o emprego dos dispositivos DGT modificados em determinações das espécies metálicas Cu2+, Zn2+, Cd2+, Cr3+, Mn2+, Ni2+ e Pb2+ em amostra de água natural.

 

PARTE EXPERIMENTAL

Equipamentos e acessórios

A água utilizada nos experimentos foi previamente purificada (18,2 MΩ cm) em um sistema de purificação de água Milli-Q Academic (Millipore). Na determinação das espécies metálicas Cu2+, Zn2+, Cd2+, Cr3+, Mn2+, Ni2+ e Pb2+ foi empregada a espectrometria de emissão óptica com fonte de plasma acoplado indutivamente (ICP OES - inductively coupled plasma optical emission spectrometry). Foi utilizado um espectrômetro da Thermo Scientific modelo ICAP 6500, operando com visão axial. A digestão das amostras de água natural foi realizada com um reator UV LAB EL 10 (Umex) ativado por micro-ondas.6

Reagentes e soluções

Os reagentes utilizados foram de grau analítico. As soluções das espécies metálicas foram preparadas a partir de diluições de soluções padrão de 100 ou 1000 mg L-1, da marca Tritisol, Merck, para Cu2+ e Zn2+ e da marca AccuStandart para Cd2+, Cr3+ Mn2+, Ni2+ e Pb2+. Para a quantificação das espécies metálicas foram preparadas curvas analíticas com concentrações de 0; 0,001; 0,005; 0,010; 0,050; 0,100; 0,500 e 1,000 mg L-1, com o padrão interno ítrio 0,100 mg L-1. As soluções para os ensaios de sorção e recuperação foram preparadas pela diluição de soluções estoque de cada metal. A montmorilonita-K10 (MT-K10) com área superficial 220 - 270 m2 g-1 foi adquirida da Sigma-Aldrich, assim como a agarose, esta última com as seguintes especificações, temperatura de polimerização 36±1,5 ºC (1,5% gel); força do gel (1,0%, m/v) = 1200 g cm-2; baixa eletroendo-osmose (EEO); sulfato < 0,15% e umidade <10%.

Tratamento do argilomineral montmorilonita

A purificação do argilomineral foi realizada com as seguintes etapas;25 (i) 20,0 g de MT-K10; (ii) 60 min em 200 mL de HNO3 1,0 mol L-1, sob agitação magnética e temperatura de 90 ºC, seguida de centrifugação; (iii) a fase sólida foi lavada por duas vezes com água ultrapura seguida de centrifugação; (iv) os procedimentos (ii) e (iii) foram repetidos duas vezes. (v) A fase sólida passou ainda por uma etapa de aquecimento a 90 ºC em água ultrapura sob agitação por 60 min, seguida de centrifugação e (vi) foi mantida em contato e sob agitação com 200 mL de NaNO3 (1,0 mol L-1) por 60 min à temperatura ambiente, com posterior centrifugação; (vii) a fase sólida foi lavada três vezes com água ultrapura; (viii) após centrifugação a fase sólida foi colocada para secar em estufa a 80 ºC; (ix) o sólido obtido foi peneirado em peneiras plásticas com malha de Teflon de 330 e 390 mesh para obtenção de partículas com granulometria entre 38 e 50 µm. O sobrenadante das etapas de lavagem foi armazenado para determinação das espécies metálicas via ICP OES.

Imobilização do argilomineral em agarose

Na busca pela melhor condição de sorção e consistência dos discos as misturas foram preparadas nas seguintes proporções (m/v); (i) montmorilonita (8%) e agarose (1,5%); (ii) montmorilonita (12%) e agarose (1,5%); (iii) montmorilonita (16%) e agarose (1,5%). O gel foi preparado aquecendo-se as misturas em água ultrapura a aproximadamente 80 ºC até observar-se homogeneização da suspensão formada. A moldagem do gel foi feita vertendo-se a suspensão entre duas placas de vidro pré-aquecidas (~60 ºC) com espaçadores de 1 ou 0,75 mm para delimitar a espessura do gel, assim como descrito por Menegário et al.13,15 Entre as placas foi possível colocar 10 mL de gel, o suficiente para produzir em média seis discos com diâmetro de 2,5 cm. Os discos foram armazenados em refrigerador, a 4 ºC, em frascos com solução de NaNO3 0,01 mol L-1 e pH 6,5.

Sorção e dessorção das espécies metálicas

Os discos do argilomineral (12%) foram mantidos imersos por 6 h em 20 mL de solução 50 µg L-1 das espécies metálicas Zn2+, Cu2+, Cr3+, Mn2+, Cd2+, Pb2+ e Ni2+ em força iônica de 0,01 mol L-1 (NaNO3) e pH 6,0±0,2, a 23±2 ºC, sob agitação. Após este período os discos foram retirados e as fases sobrenadantes separadas para a quantificação das espécies. Os discos foram então mantidos por 10 min em 1,0 mL de ácido nítrico concentrado e, em seguida, esta solução foi diluída com água ultrapura para 10,0 mL. A suspensão obtida foi centrifugada e o sobrenadante foi armazenado para análise via ICP OES. O fator de eluição (fe) foi calculado pelo quociente entre a massa eluída dos discos e a massa adsorvida nos mesmos.

Avaliação do dispositivo modificado segundo a primeira lei de difusão de Fick

Foram montados 30 dispositivos DGT (Figura 1), sendo 15 com a fase de ligação alternativa (argilomineral a 12% imobilizados em agarose a 1,5%) e a fase difusiva de agarose - AGE, e 15 dispositivos com a fase de ligação proposta e a fase difusiva convencional (hidrogel de poliacrilamida - HPA).

 


Figura 1. Imagens demontrativas da montagem dos dispositivos DGT com (a) fase de ligação proposta e (b) fases difusivas alternativa (AGE) ou convencional (HPA), (c) membrana protetora de acetato de celulose e (d)dispositivo pronto para aplicação

 

O ensaio foi conduzido com 6 L de solução 50 µg L-1 das espécies, Zn2+, Cu2+, Cr3+, Mn2+, Cd2+, Pb2+, Ni2+ em pH 6,0±0,2 e força iônica 0,01 mol L-1 de NaNO3 a 22 ºC, sob agitação (~1300 rpm) com barras magnéticas de 3 cm. Os dispositivos foram retirados após intervalos de 2,5, 12, 24, 48 e 72 h. Os discos foram eluídos e as massas das espécies calculadas a partir da equação 1, o que permitiu a construção dos gráficos da massa eluída em função do tempo de exposição. O coeficiente de difusão (D) das espécies metálicas foi determinado empregando-se a equação 5 (rearranjo da equação 4), considerando-se que a concentração da solução teste (C), a espessura da fase difusiva (Δg) e a área de exposição (A) são constantes.

na qual: D é o coeficiente de difusão (cm2 s-1); a é o coeficiente angular da reta definida pela relação massa da espécie difundida por unidade de tempo (µg s-1); Δg é a espessura do gel difusivo (cm); C é a concentração da solução (µg cm-3) e A é a área exposta a solução externa (cm2).10,11,13

O coeficiente de difusão pode ser corrigido para diferentes temperaturas; basta recorrer à equação de Stokes-Einstein que fornece uma relação aproximada entre coeficiente de difusão (D), viscosidade (µ) e temperatura (T), expresso na equação 6:

sendo que: D1 é o coeficiente de difusão (cm2 s-1) do íon no gel determinado na temperatura T1;

D2 é o coeficiente de difusão (cm2 s-1) do íon no gel na temperatura T2; µ1 é a viscosidade (kg (ms)-1) do solvente na temperatura T1; µ2 é a viscosidade [kg (ms)-1] do solvente na temperatura T2; T1 e T2 são as temperaturas absolutas. No caso da agarose foi considerada a viscosidade da água, visto que os coeficientes de difusão das espécies na água e no gel são semelhantes.10,11,13

Recuperação das espécies com o dispositivo modificado

Nesta etapa seis dispositivos com a fase de ligação proposta foram imersos por 48 h em 6 L de solução contendo os íons metálicos nas mesmas condições descritas na etapa anterior, sendo três dispositivos com a fase difusiva AGE e três com a fase difusiva HPA. Após as 48 h os dispositivos foram retirados, as espécies eluídas e posteriormente quantificadas. As massas foram calculadas a partir da equação 1 e as concentrações lábeis das espécies na solução calculadas a partir da equação 4.

Aplicação dos dispositivos DGT em amostra de água natural

Uma amostra contendo 8 L de água superficial do Rio Itajaí-Açu foi coletada em um ponto situado a 24 km da costa (latitude 26º51'21.70" S; longitude 48º45'45.41" O) na cidade de Ilhota (SC). A coleta da amostra, assim como a digestão das alíquotas para a determinação da concentração total das espécies metálicas e da concentração na fração dissolvida, e a concentração das mesmas associadas ao material particulado foram realizadas de acordo com o descrito por Sodré e colaboradores (2004),6 a partir do emprego de técnicas limpas. No momento da coleta foram medidas a temperatura (27 ºC), o pH (7,2) e a turbidez (101 NTU) da amostra. Os elementos foram quantificados por ICP OES.

O estudo de especiação das espécies metálicas Zn, Cu, Cr, Mn, Cd, Pb, Ni, foi conduzido em laboratório com a imersão por 24 h de três dispositivos DGT modificados (fase de ligação proposta e AGE como fase difusiva) e três dispositivos convencionais (CHELEX-100 e HPA) em 5 L da amostra de água natural, com monitoramento do pH (7,3±0,4) e temperatura (27,5±0,6), sob agitação magnética com barras de 3 cm (~1300 rpm). Após 24 h os dispositivos foram retirados e os discos dos dispositivos modificados foram removidos e eluídos para a determinação das espécies. Os discos dos dispositivos convencionais foram removidos e eluídos por 24 h com ácido nítrico 1,0 mol L-1.10,26 As massas foram calculadas a partir da equação 1 e as concentrações das espécies lábeis no dispositivo foram calculadas a partir da equação 4, na qual foram considerados os coeficientes de difusão determinados experimentalmente para a agarose, porém corrigidos para a temperatura do experimento segundo a equação 6. Para o dispositivo convencional foram utilizados os valores de coeficiente de difusão tabelados.26

 

RESULTADOS E DISCUSSÃO

Quantificação dos elementos traço

Na Tabela 1 são apresentados os comprimentos de onda utilizados, a faixa de trabalho, os coeficientes de determinação (r2) e os parâmetros de méritos avaliados (LQ e LD). Observa-se que os coeficientes de determinação (r2) estão próximos de 0,9999, evidenciando que as curvas analíticas preparadas no ICP OES para os elementos em estudo apresentaram uma regressão linear satisfatória. Os limites de detecção e quantificação apresentados na Tabela 1 estão de acordo com o esperado para método.

 

 

Tratamento da montmorilonita K10

As lavagens ácidas foram conduzidas visando ativar e, principalmente, descontaminar o argilomineral, eliminando espécies metálicas remanescentes, mesmo em níveis traço, que podem eventualmente ser liberadas em etapas posteriores, como na fase de imobilização do argilomineral em agarose e no processo de dessorção das espécies metálicas dos discos, o que poderia comprometer o uso do material como fase de ligação nos dispositivos DGT.

Os resultados para essa etapa são apresentados na Figura 2, que mostra as massas das espécies metálicas extraídas e normalizadas para 1 g do argilomineral.

 


Figura 2. Massa extraída e normalizada para 1 g de argilomineral. Barras pretas: primeira lavagem ácida. Barras cinzas: segunda lavagem ácida. Barras cinzas claras: terceira lavagem. Barras brancas: lavagem com água ultapura

 

As maiores concentrações extraídas ficaram por conta de manganês (~2,7 µg g-1) zinco (~1,14 µg g-1) e cromo (~0,73 µg g-1), na primeira lavagem, com decréscimo nas lavagens subsequentes. Níquel e cobre tiveram comportamento semelhante, porém em menor proporção. O cádmio foi o elemento extraído em menores quantidades relativas (0,007 µg g-1), enquanto que o manganês foi removido em maior proporção em todas as lavagens.

O chumbo apresentou um comportamento anômalo em relação ao esperado, ou seja, aparentemente o chumbo estaria sendo extraído do argilomineral com maior facilidade na presença de água a quente, do que na presença do ácido nítrico 1 mol L-1 a quente. Esse fato se deve, possivelmente, à grande afinidade que o chumbo tem pelo argilomineral, principalmente por partículas coloidais que não precipitaram durante a centrifugação, ou seja, ficaram em suspensão retendo esta espécie (Pb2+), que foi quantificada no ICP OES.27,28 Para sanar esses problemas a etapa de aquecimento em água, que seria apenas para testar a eficiência das lavagens ácidas, foi acrescentada ao procedimento de purificação do argilomineral, visto que a preparação dos discos é realizada em água ultrapura em condições semelhantes (~80 ºC).

O tratamento da montmorilonita (K-10) foi finalizado com as etapas de saturação, secagem e peneiração. A saturação com íons sódio propicia um material mais uniforme e com maior capacidade de troca catiônica.19 A etapa de secagem e peneiração também é relevante no tratamento do argilomineral, principalmente a peneiração, pois nessa fase é obtida a granulometria adequada (38 e 50 µm) para usar o material como sorvente. Partículas finas e na granulometria ideal garantem incrementos consideráveis no processo de sorção das espécies de interesse.27,28 Mesmo com a eficiência do tratamento proposto foram realizados controles analíticos das provas em branco dos discos preparados.

Imobilização do argilomineral em agarose

As Figuras 3 (A) e (B) ilustram o processo de imobilização do argilomineral em agarose, sendo mostradas a mistura argilomineral (12%) e agarose (1,5%) e discos obtidos nessa proporção no diâmetro de 2,5 cm e espessura de 1 mm sob uma das placas de vidro. Discos contendo o argilomineral nas proporções de 8% e 16% foram obtidos forma similar.

 


Figura 3. (a) suporte preenchido com o gel (montmorilonita imobilizada em agarose) na proporção de 12% argilomineral e 1,5% de agarose, tamanho aproximado de 11 cm × 10,5 cm. (b) discos obtidos no diâmetro de 2,5 cm e espessura de 1 mm

 

Este experimento representa a melhoria proposta para a fase de ligação, haja visto que na literatura é relatado o uso do argilomineral na forma de pó nos dispositivos DGT, ou seja, suportado entre duas membranas de acetato de celulose (0,45 µm).25 A proposta contida nesse estudo traz como vantagens, entre outros aspectos, o aumento na robustez do método, a possibilidade de reproduzir o material (discos) em grande escala, assim como facilitar a reprodutibilidade dos resultados em laboratório.

A escolha da agarose foi fundamentada no princípio de que as espécies metálicas estudadas são praticamente inertes a esse material,11,13,16 ou seja, a sorção dos íons metálicos na fase de ligação proposta seria exclusivamente na MT-K10 imobilizada na AGE. Das misturas avaliadas a melhor consistência obtida foi na proporção de 12% do argilomineral (Figura 2 A e B), sendo esta utilizada nos experimentos posteriores deste trabalho.

Sorção e dessorção das espécies metálicas

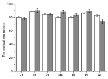
Levando em consideração a nova forma de uso do argilomineral foi necessário verificar a eficiência da fase de ligação proposta na sorção das espécies metálicas em estudo, assim como avaliar a dessorção das mesmas para, finalmente, determinar o fator de eluição para essa fase sorvente. Na Figura 4 são apresentados os percentuais de sorção, em massa, e dessorção para os elementos estudados.

 


Figura 4. Sorção e dessorção dos elementos. Barras brancas; sorção realizada em solução a 50 µg L-1, pH 6,0 ± 0,2 e força iônica 0,01 mol L-1 de NaNO3, com tempo de imersão de 6 h. Barras cinzas; dessorção após eluição dos discos (12% de montmorilonita e agarose 1,5%) com ácido nítrico concentrado seguido de diluição

 

Avaliando os resultados apresentados na Figura 4 observa-se que não existem diferenças significativas no que se refere à sorção das espécies metálicas, que em média foi de 80%. Porém, resultados ligeiramente superiores foram obtidos para cobre, chumbo e cromo, sendo que para este último foi encontrado o maior percentual de sorção, aproximadamente 89%. Zhu et al.29 relataram grande afinidade da montmorilonita pelo cromo(III), de maneira semelhante a obtida nesse trabalho.

A dessorção para os elementos Cr, Mn, Pb, Ni e Cu foi acima de 84%, em média, e para zinco e cádmio ficou em 74% e 78%, respectivamente. Em condições físico-químicas semelhantes, dos Anjos et al.25,30 obtiveram sorção na faixa de 78% a 97% e dessorção na faixa de 90% a 100% para os elementos estudados. Frois et al.23 obtiveram sorção de praticamente 100% para o cromo(III), com um percentual de recuperação de 89%. Portanto, os resultados obtidos neste trabalho são concordantes com aqueles descritos na literatura para a MT-K10.

Embora os percentuais de dessorção para zinco e cádmio tenham ficado abaixo de 80%, isso não compromete o uso do material proposto como fase de ligação, visto que pode ser feita correção a partir do o uso do fator de eluição, que variou de 0,74 (Zn) a 0,90 (Cr e Pb), como mostrado na Tabela 2. O fator de eluição ou recuperação é usado para corrigir possíveis efeitos da eluição incompleta dos discos, principalmente em amostras reais, nas quais a concentração das espécies é desconhecida.

 

 

Esse fator de eluição, no caso do cromo e chumbo, indica a possibilidade de recuperar 90% do analito que foi retido na matriz e para o zinco 74%. O valor médio para a fase de ligação proposta neste trabalho foi de 0,84. Para a Chelex-100 o valor médio do fe, descrito na literatura, é de aproximadamente 0,80.10,11

Avaliação do dispositivo modificado segundo a primeira lei de difusão de Fick

Assim como previsto pela primeira Lei de difusão de Fick10,11 e equação 4, os resutados apresentados na Figura 5 evidenciam um processo de acumulação linear dos elementos com o tempo de exposição para o dispositivo modificado com a fase difusiva proposta (AGE).

 


Figura 5. Representação gráfica da massa acumulada dos elementos em função do tempo de exposição dos dispositivos com a fase difusiva de agarose (AGE) e fase de ligação proposta (MT-K10)

 

O coeficiente de determinação (r2) para as curvas variou de 0,995 (Zn2+) a 0,999 (Cr3+) Esse comportamento é semelhante aquele descrito quando se emprega a fase difusiva convencional (HPA).10,11

Portanto, os resultados são bastante satisfatórios e evidenciam que o dispositivo modificado com a fase de ligação empregando montmorilonita, juntamente com a fase difusiva alternativa à base de agarose, seguem a primeira lei de difusão de Fick, o que permite determinar o coeficiente de difusão (D) das espécies no gel de agarose, que pode ser comparado com o das espécies quando se emprega o hidrogel convencional, Tabela 3.

 

 

Os valores descritos na Tabela 3 mostram que os resultados obtidos quando se emprega o o gel de agarose são superiores aqueles obtidos para o hidrogel de poliacrilamida em percentuais que variam de 5% (Zn) a 20% (Cd). Esses resultados decorrem do fato de que o HPA é um gel mais restritivo quando comparado ao gel de AGE, que possui raio do poro superior a 20 nm.11 Em soluções aquosas o gel de agarose apresenta um alto grau de intumescimento, durante a etapa de preparação, chegando a um percentual de 98% de água, o que lhe confere menor restrição as espécies e, em geral, maiores coeficientes de difusão (D).11

Na literatura existem poucos relatos de coeficientes de difusão em AGE para os elementos avaliados neste trabalho. Para efeito de comparação, na Tabela 3 são também apresentados valores de coeficientes de difusão relatados na literatura para os elementos cádmio, cobre e manganês.

As diferenças observadas para o cádmio e cobre podem ser atribuídas ao tipo de agarose e a estratégia utilizada, em cada caso, para a determinação do coeficiente de difusão. Nas referências citadas foram empregadas câmaras de difusão nas determinações. Neste trabalho os coeficientes foram determinados a partir da imersão dos dispositivos DGT na solução teste. No caso do manganês o valor encontrado foi inferior em aproximadamente 40% quando comparado com a literatura. Contudo, se comparado com o valor tabelado (5,39 10-6 cm2 s-1)26 para o hidrogel convencional na mesma temperatura (22ºC), essa diferença fica em torno de 12%.

De fato, a determinação do coeficiente de difusão a partir do emprego do dispositivo, e não de uma câmara de difusão, pode resultar no incremento da camada de difusão, tanto pela espessura da membrana de filtração quanto pela eventual formação da camada limítrofe de difusão (do inglês diffusion boundary layer), especialmente quando as soluções contendo os dispositivos encontram-se sob fraca agitação. Nestes casos o valor do coeficiente de difusão também pode estar sujeito a eventuais discrepâncias.11,13

Não obstante estes aspectos as aparentes discrepâncias não comprometeram os resultados, visto que nos testes de recuperação e durante a aplicação do dispositivo modificado foram utilizados os valores de coeficiente de difusão determinados neste trabalho.

Recuperação das espécies com o dispositivo modificado

Neste experimento foi realizada uma avaliação preliminar quanto à aplicabilidade do dispositivo no que se refere à adição e recuperação das espécies da solução teste. Na Figura 6 são mostrados os percentuais de recuperação das espécies metálicas com o dispositivo proposto, sendo observadas recuperações que variaram de 97% (Cd e Cu) a 103% (Mn e Pb).

 


Figura 6. Resultados do estudo de recuperação das espécies em solução a 50 µg L-1, pH 6,0 ± 0,2 e NaNO3 0,01 mol L-1, com tempo de imersão de 6 h. Barras brancas indicam percentual de recuperação com o dispositivo modificado com MT-K10 e fase difusiva de AGE. Barras cinzas mostram a recuperação com o dispositivo modificado com MT-K10 e fase difusiva de HPA

 

Esses resultados evidenciam que independentemente da fase difusiva que venha a ser utilizada, AGE ou HPA, os percentuais de recuperação com o dispositivo modificado são satisfatórios, com diferenças em relação ao dispositivo comercial que não são estatisticamente significativas. Os resultados também se mostram similares com a literatura recente para a mesma fase de ligação; por exemplo, dos Anjos et al.25 encontraram valores de recuperação que variaram entre 91% e 103% para as espécies estudadas. De acordo com a literatura,26 o percentual de recuperação com o DGT convencional fica em torno de 90±10% o que está de acordo com os resultados encontrados neste trabalho.

Aplicação dos dispositivos DGT em amostra de água natural

O dispositivo DGT modificado foi aplicado na análise de especiação de Zn, Cu, Cr, Mn, Cd, Pb e Ni em amostra coletada no Rio Itajaí-Açu, na região norte em Santa Catarina.

Nas Figuras 7A e 7B são apresentados os resultados para a distribuição das espécies em termos percentuais, incluindo a fração lábil determinada com os dispositivos DGT modificados e convencionais, após a imersão por 24 horas na amostra de água natural.

 


Figura 7. Distribuição das espécies metálicas na amostra de água do Rio Itajaí-Açu empregando dispositivos (A) modificados e (B) convencionais. Barras cinzas: fração particulada. Barras brancas: fração lábil. Barras pretas: fração complexada. Entre os elementos avaliados, niquel e cádmio não foram determinados, uma vez que suas concentrações ficaram abaixo do limite de detecção do ICP OES

 

Nesse estudo de especiação não foram utilizados dispositivos DGT com fase difusiva restritiva, o que ampliaria a discussão quanto à determinação das espécies complexadas, com ligantes orgânicos e inorgânicos, uma vez que nos dispositivos com fase difusiva restritiva os complexos orgânicos se difundem mais lentamente pelas fases difusivas, dependendo principalmente da cinética de dissociação dos complexos formados, enquanto que nos complexos inorgânicos os íons livres se acumulam mais rapidamente na fase sorvente.25,30 Portanto, nas Figuras 7A e 7B a fração complexada compreende as frações orgânicas e inorgânicas e eventuais associações a material particulado em nível coloidal.

Fazendo uma avaliação individual das espécies observa-se que o Mn está predominantemente na fração particulada (Figura 7A e 7B), estando assim pouco biodisponível, ou seja, encontra-se associado a material particulado em suspensão. Porém, para inferir sobre a biodisponibilidade do manganês, assim como de outras espécies, seria interessante uma aplicação in situ dos dispositivos DGT. Oliveira et al.31 relataram que medidas ex situ para o manganês com os dispositivos DGT apresentaram resultados inferiores aos observados quando a medida foi realizada in situ. Essa diferença está provavelmente associada ao procedimento de amostragem e armazenamento da amostra. Nota-se ainda que, no dispositivo modificado, a fração lábil é ligeiramente maior, sugerindo que parte do Mn complexado a ligantes orgânicos tenha se difundido através do gel de agarose, o que não ocorreu com o dispositivo convencional, montado com HPA.

No caso do chumbo os resultados evidenciam que o mesmo está praticamente 100% associado ao material particulado, o que pode ser explicado pela concentração relativamente elevada de sólidos suspensos totais (SST), 46,6 mg L-1, e pela reconhecida afinidade existente entre o chumbo e o material particulado em suspensão presente em ambientes aquáticos.27,28,32

O cromo foi encontrado predominantemente na fração complexada, 51% (Figura 7A) e 58% (Figura 7B). Segundo a literatura,33 o cromo(III) pode se encontrar preferencialmente complexado a ligantes orgânicos em águas naturais. A fração lábil determinada para esse elemento com o dispositivo convencional (24%) se mostrou inferior à fração determinada com o dispositivo modificado (31%). Esses resultados sugerem que a diferença de restrição entre as fases difusivas tenha contribuído para o maior percentual do Cr(III) na fração lábil observado no DGT modificado.

No caso do cobre prevaleceu a fração lábil, determinada a partir do emprego dos dois dispositivos, 45% no modificado e 43% no convencional. O percentual de cobre presente na fração complexada foi de 28% (Figura A) e 30% (Figura B), sugerindo a formação de complexos com baixa permeabilidade nas duas fases difusivas.34 Na fração particulada foram encontrados 27% de cobre. A literatura evidencia que esse elemento tem sido encontrado com frequência associado ao material particulado em suspensão.35,36 O zinco foi encontrado em maior percentual na fração lábil, 40% no dispositivo modificado e 42% no convencional, ou seja, sem diferenças significativas quando comparados os dois dispositivos. Observa-se ainda um percentual considerável desta espécie na forma complexada, o que é relatado na literatura para o zinco em águas naturais.7

Em termos gerais, pode-se afirmar que os resultados para o estudo de especição são concordantes a despeito das diferenças de composição da fase difusiva empregada nos dispositivos modificado e convencional. Porém, deve-se ressaltar que cabe uma avaliação mais minuciosa quando se utiliza agarose como fase difusiva. Em função de sua baixa restritividade, os valores de concentração lábil e, consequentemente, a biodisponibilidade das espécies metálicas, podem ser ligeiramente superestimados. De qualquer maneira, também é possível afirmar que o dispositivo da forma como proposto neste trabalho apresenta resultados bastante satisfatórios, representando uma alternativa viável quando comparado com o dispositivo comercial.

 

CONCLUSÕES

O tratamento proposto para o argilomineral mostrou-se satisfatório, visto que, além da remoção de contaminantes traço presentes na MT-K10, contribuiu para a imobilização do argilomineral no gel de agarose, ficando essa etapa bem estabelecida.

Os estudos de sorção e dessorção, além de contribuírem para a determinação do fator de eluição (fe) da matriz, comprovaram a eficiência da fase de ligação desenvolvida na sorção das espécies metálicas em estudo. A eficiência da fase difusiva proposta (AGE) e do dispositivo modificado foi evidenciada, observando-se a conformidade do dispositivo com a primeira lei de difusão de Fick. Isso permitiu a determinação do coeficiente de difusão das espécies metálicas nessa fase difusiva, proporcionando o uso desses valores em aplicações dos dispositivos DGT modificados em estudos de determinação das espécies metálicas, com resultados promissores e concordantes com a literatura. Os resultados da aplicação do dispositivo modificado em amostra de água natural foram satisfatórios, principalmente no que se refere à fase de ligação proposta (MT-K10). O emprego da difusiva com AGE forneceu resultados igualmente satisfatórios, evidenciando que este material pode ser utilizado em alternativa à fase difusiva convencional em dispositivos DGT.

 

AGRADECIMENTOS

Os autores agradecem ao CNPq, Capes, PETROBRAS e ao Instituto Nacional de Ciências e Tecnologias Analíticas Avançadas (INCTAA, 573894/2008-6) pelo apoio financeiro.

 

REFERÊNCIAS

1. Warren, L. A.; Haak, E. A.; Earth Sci. Rev. 2001, 54, 261. DOI: http://dx.doi.org/10.1016/S0012-8252(01)00032-0

2. Stumm, W.; Morgan, J. J.; Aquatic Chemistry, Chemical Equilibria and Rates in Natural Waters, 3rd ed., John Wiley & Sons, Inc.: New York, 1996.

3. Ure, A. M.; Davidson, C. M.; Chemical Speciation in the Environment, 2th ed., Blackwell Science: Glasgow, 2001.

4. Sodré, F. F.; Grassi, M. T.; Water, Air & Soil Pollution 2006, 178, 103. DOI: http://dx.doi.org/10.1007/s11270-006-9158-2

5. Shi, B.; Allen, H. E.; Grassi, M. T.; Water Res. 1998, 32, 2413. DOI: http://dx.doi.org/10.1016/S0043-1354(97)00463-6

6. Sodré, F. F.; Zamora, P. G.; Grassi, M. T.; Quim. Nova 2004, 27, 695. DOI: http://dx.doi.org/10.1590/S0100-40422004000500003

7. Tonietto, A. E.; Grassi, M. T.; Quim. Nova 2012, 35, 170. DOI: http://dx.doi.org/10.1590/S0100-40422012000100029

8. Abdelsalam, M. E.; Denuault, G.; Daniele, S.; Anal. Chim. Acta 2002, 65, 452.

9. Magnier, A.; Billon, G.; Louis, Y.; Baeyens, W.; Elskens, M.; Talanta 2011, 86, 91. DOI: http://dx.doi.org/10.1016/j.talanta.2011.08.010 PMID: 22063515

10. Zhang, H.; Davison, W.; Anal. Chem. 1995, 67, 3391. DOI: http://dx.doi.org/10.1021/ac00115a005

11. Zhang, H.; Davison, W.; Anal. Chim. Acta 1999, 398, 329. DOI: http://dx.doi.org/10.1016/S0003-2670(99)00458-4

12. dos Anjos, V. E.; Abate, G.; Grassi, M. T; Quim. Nova 2010, 33, 1307. DOI: http://dx.doi.org/10.1590/S0100-40422010000600017

13. Menegário, A. A.; Colaço, C. D.; Yabuki, L. N. M.; Alcântara A. L.; Quim. Nova 2012, 35, 7.

14. Larner, B. L., Seen, A. J.; Anal. Chim. Acta 2005, 539, 349. DOI: http://dx.doi.org/10.1016/j.aca.2005.03.007

15. Menegário, A. A.; Tonello, P. S.; Durrant, S. F.; Anal. Chim. Acta 2010, 683, 107. DOI: http://dx.doi.org/10.1016/j.aca.2010.10.016 PMID: 21094388

16. Docekalova, H.; Divis, P.; Talanta 2005, 65, 1174. DOI: http://dx.doi.org/10.1016/j.talanta.2004.08.054 PMID: 18969928

17. Gao, Y.; Canck, E. D; Leermakers, M.; Baeyens, W.; Van Der Voort, P.; Talanta 2011, 87, 262. DOI: http://dx.doi.org/10.1016/j.talanta.2011.09.047 PMID: 22099677

18. Zhao, W.; Li, H.; Teasdale, P. R.; John, R.; Zhang, S.; Anal. Chim. Acta 2002, 464, 331. DOI: http://dx.doi.org/10.1016/S0003-2670(02)00492-0

19. Abollino, O.; Aceto, M.; Sarzanini, C.; Mentasti, E.; Water Res. 2003, 37, 1619. DOI: http://dx.doi.org/10.1016/S0043-1354(02)00524-9 PMID: 12600390

20. Abate, G.; Masini, J. C.; Colloids Surf., A 2005, 262, 33. DOI: http://dx.doi.org/10.1016/j.colsurfa.2005.04.005

21. Teixeira-Neto, E.; Teixeira-Neto, A. A.; Quim. Nova 2009, 32, 809. DOI: http://dx.doi.org/10.1590/S0100-40422009000300023

22. Bhattacharyya, K. G.; Gupta, S. S.; Adv. Colloid Interface Sci. 2008, 140, 114. DOI: http://dx.doi.org/10.1016/j.cis.2007.12.008 PMID: 18319190

23. Frois, S. R.; Grassi, M. T.; Fernandes, T. C.; Barreto, R. A. S.; Abate, G.; Quim. Nova 2011, 34, 462. DOI: http://dx.doi.org/10.1590/S0100-40422011000300018

24. Frois, S. R.; Grassi, M. T.; Campos, M. S.; Abate G.; Anal. Methods 2012, 4, 4389. DOI: http://dx.doi.org/10.1039/c2ay26125a

25. dos Anjos, V. E.; Abate, G.; Grassi, M. T; Br. J. Anal Chem 2011, 4, 187.

26. DGT Research, http://www.dgtresearch.com, acessada em agosto 2013.

27. Forstner, U.; Wittmann, G. Metal Pollution in the Aquatic Environment, 2th ed., Springler-Verlag: New York, 1981.

28. Rodrigues, L. C. V. Tese de Doutorado, Universidade Federal Fluminense, Niteroi, Brasil, 2008.

29. Zhu, J.; Cozzolino, V.; Pigna, M.; Huang, Q.; Caporale, A. G.; Violante, A.; Chemosphere 2011, 84, 484. DOI: http://dx.doi.org/10.1016/j.chemosphere.2011.03.020 PMID: 21481915

30. dos Anjos, V. E.; Rohwedder, J. J. R.; Cadores, S.; Abate, G.; Grassi, M. T.; Appl. Clay Sci. 2014, 99, 289. DOI: http://dx.doi.org/10.1016/j.clay.2014.07.013

31. Oliveira R. L. F.; Pedroboma J. H.; Menegário, A. A.; Domingos, R. N.; Py Júnior, D. A.; Kiang, C. H.; Anal. Chim. Acta 2013, 23, 799.

32. Melo, V. F. ; Andrade, M. ; Grassi, M. T. ; Campos, M. S. ; Hulmann, A.; Favaretto, N.; Quim. Nova 2012, 35, 22. DOI: http://dx.doi.org/10.1590/S0100-40422012000100005

33. Masscheleyn, P. H.; Pardue, J. H.; Delaune, R. D.; Patrick Jr., W. H.; Environ. Sci. Technol. 1992, 26, 1217. DOI: http://dx.doi.org/10.1021/es50002a611

34. Benoit, G.; Rozan, T. F.; Geochim. Cosmochim. Acta 1999, 63, 113. DOI: http://dx.doi.org/10.1016/S0016-7037(98)00276-2

35. Nriagu, J. O.; Wong, H. K. T.; Coker, R. D.; Water Res. 1981, 15, 91. DOI: http://dx.doi.org/10.1016/0043-1354(81)90188-3

36. Prestes, E. C.; Anjos, V. E.; Sodré, F. F.; Grassi, M. T.; J. Braz. Chem. Soc. 2006, 17, 53. DOI: http://dx.doi.org/10.1590/S0103-50532006000100008

On-line version ISSN 1678-7064 Printed version ISSN 0100-4042
Qu�mica Nova
Publica��es da Sociedade Brasileira de Qu�mica
Caixa Postal: 26037 05513-970 S�o Paulo - SP
Tel/Fax: +55.11.3032.2299/+55.11.3814.3602
Free access

GN1