JBCS



16:12, qui out 23

Acesso Aberto/TP



Artigo


Estudo da imobilização de lipase em sílica obtida pela técnica sol-gel
Study of immobilization of lipase in silica by the sol-gel technique

Aline Matuella Moreira Ficanha; Nádia Ligianara D. Nyari; Katarine Levandoski; Marcelo Luis Mignoni*; Rogério Marcos Dallago

Departamento de Engenharia de Alimentos, Universidade Regional Integrada do Alto Uruguai e das Missões, 99700-000 Erechim - RS, Brasil

Recebido em 13/08/2014
Aceito em 05/12/2014
Publicado na web em 05/03/2015

Endereço para correspondência

*e-mail: mignoni@uricer.edu.br

RESUMO

The objective of this work was the immobilization of the enzyme Candida antarctica lipase B (CAL B) using the sol-gel method of immobilization and three different initiators of the polymerization reaction: one acid (HCl), one basic (NH4OH) and the other nucleophilic (HBr). Tetraethylorthosilicate was used as the silica precursor. The influence of the additive PEG 1500 on immobilization was assessed. The efficiency of the process was evaluated considering the esterification activity of the xerogels. The immobilization process provided enhanced thermal stability, storage and operational aspects relative to the free enzyme. Storage temperature proved one of the main variables to be considered in the process, with the xerogels stored under refrigeration showing better results in terms of residual activity (nearly 200 days with > 90% residual activity of basic and nucleophilic xerogels) when compared with storage at ambient temperature (nearly 40 days). The results demonstrated the possibility of reuse of derivatives and a greater number of cycles (nine), considering a residual activity of 50%.

Palavras-chave: immobilization; lipase; sol-gel; PEG 1500; esterification.

INTRODUÇÃO

Há grande interesse na aplicação industrial de enzimas por serem catalisadores biológicos naturais utilizados em diversos tipos de reações.1-4 Da mesma forma que catalisadores químicos, promovem o aumento da velocidade das reações, porém, as enzimas como biocatalisadores são altamente específicas aos seus substratos, proporcionando produtos seletivos que podem ser considerados como naturais.2

Dentre as enzimas, as lipases vêm sendo estudadas como catalisadores alternativos para diferentes reações químicas, tais como hidrólise de ácidos graxos,5-7 esterificação8-10 e transesterificação.11-14 Porém, seu uso na forma livre torna-se limitado devido ao custo, principalmente em função da impossibilidade de reutilização e da sua estabilidade térmica e química.15-17

Desta forma, a técnica de imobilização apresenta-se como uma alternativa para contornar tais limitações, pois permite a separação da enzima do meio reacional e, consequentemente, a sua utilização mais que uma vez, além de possibilitar uma maior estabilidade à enzima.18,19

A imobilização pode ocorrer por encapsulamento,20,21 por ligação cruzada,22,23 ligação covalente13,24 ou adsorção (química ou física).25-28 O método por encapsulamento consiste em proteger os biocatalisadores em um único compartimento de volume definido, que representa um microambiente separado do ambiente externo.22 Diferentes materiais e processos são descritos na literatura com esta finalidade. No processo de imobilização, além das questões econômicas, devem ser consideradas as questões operacionais, como as condições experimentais empregadas na síntese, a facilidade de produção, o tempo envolvido no processo e a quantidade de enzima incorporada.9

Dentre os diferentes métodos destaca-se a imobilização em xerogel obtida pela técnica sol-gel.6,7,14,29 O processo para formação do xerogel possui diversas variáveis que determinam as características finais dos materiais, tais como o grupo silanol precursor da sílica (TEOS,5-8 TMOS14,30), o iniciador da reação de polimerização (HCl,5-8,31 HBr, HF,32 NH4OH32), bem como o tempo de hidrólise e condensação e a homogeneidade do produto. Além disso, alguns aditivos químicos (polietilenoglicol (PEG),6,33,34 polivinilálcool (PVA),24 líquidos iônicos,5,14,30,35,36 e albumina37) podem ser usados para melhorar o processo, permitindo a obtenção de materiais com melhores propriedades estruturais que reflete em melhor estabilidade térmica e química da enzima.33,38

Neste contexto, para a imobilização da lipase Candida antarctica B, optou-se pelo emprego do método sol-gel, particularmente pela sua simplicidade, onde a enzima a ser imobilizada é adicionada in situ durante a formação do xerogel, que proporciona a incorporação da enzima oferecida ao suporte, além do processo ocorrer em condições brandas de temperatura (ambiente) e em uma ampla região de pH.

 

PARTE EXPERIMENTAL

Enzima e produtos químicos

A enzima utilizada na imobilização foi a lipase comercial de Candida antarctica (CAL B) (Novozyme). O polietilenoglicol (PEG) (1500, Merck) foi usado como agente de estabilização (aditivo). Para a imobilização pela técnica de sol-gel foi utilizado como precursor da sílica o tetraetilortosilicato/tetraetoxisilano (TEOS) (Aldrich), hidróxido amônia (Quimex), ácido clorídrico (Vetec), ácido bromídrico (Vetec) e água destilada. Para determinação da atividade de esterificação foram utilizados: álcool etílico (Merck), acetona (Merck), ácido oleico (Synth) e hidróxido de sódio (Synth).

Síntese da sílica empregando diferentes iniciadores da reação de polimerização e imobilização da lipase

A lipase de Candida antarctica B foi imobilizada por encapsulamento em xerogel obtida pela técnica de sol-gel. Inicialmente, 5 mL de TEOS foram dissolvidos em 5 mL de etanol absoluto. Após a dissolução, adicionou-se 1,6 mL de água destilada e três gotas do iniciador da reação de polimerização. Foram testados três diferentes iniciadores da polimerização: ácido (HCl), básico (NH4OH) e nucleofílico (HBr).

Posteriormente, os sistemas reacionais foram submetidos a uma etapa de agitação, em agitador orbital (shaker) a 40 ºC, 180 rpm, por um período de 90 min. Passado este período, fez-se a adição de 1 mL da solução enzimática (160 mg mL-1). Para cada condição, paralelamente foi conduzido um ensaio adicionando, após a enzima, 1 mL de uma solução do aditivo PEG 1500 na concentração de 5 mg mL-1.33 Nas bateladas conduzidas com os iniciadores ácido e nucleofílico foram adicionados 1,75 mL da solução hidrolisante (solução etanólica de hidróxido de amônio 1,0 mol L-1). Posteriormente, os sistemas reacionais foram mantidos em condições estáticas, em temperatura ambiente (20-25 ºC), por 24 h para completar a condensação química. Após as 24 h, o suporte foi colocado em dessecador a vácuo (temperatura ambiente) por um novo período de 24 h para completar a secagem por evaporação. Após a secagem em condições brandas de temperatura e pressão obteve-se a lipase imobilizada na sílica, denominada de xerogel imobilizado. Devido ao uso de diferentes iniciadores da reação de polimerização, os xerogéis imobilizados foram denominados de ácido, básico e nucleofílico.

Caracterização dos xerogéis

Os xerogéis foram caracterizados por difração de raios X (DRX) (Rigaku, Miniflex II, Ka- 1,58 Cu) e análise textural de adsorção/dessorção de N2 (Quantachrome, Nova 2200e). As áreas específicas dos xerogéis sintetizados foram determinadas com o uso do método BET.39 O volume e o diâmetro médio dos poros foram calculados pelo método de BJH.40 Para a análise da área superficial, previamente, as amostras foram submetidas a um tratamento térmico a 60 ºC com pressão reduzida, por 12 h. A análise foi realizada em temperatura constante de 77 K (-196 ºC).

Determinação da atividade de esterificação

As atividades de esterificação (AE) foram determinadas na solução enzimática (enzima livre) e nos xerogéis imobilizados. A atividade de esterificação foi quantificada através da reação de síntese de oleato de etila utilizando ácido oleico e álcool etílico na razão molar de 1:1 (mistura padrão), conforme descrito na literatura.41 A reação foi iniciada pela adição da enzima imobilizada ou livre (aproximadamente 0,1 g) em 5 mL da mistura padrão. A reação foi conduzida em frascos de vidro fechados a 40 ºC, em agitador orbital a 160 rpm, durante 40 min. Alíquotas de 500 µL foram retiradas do meio reacional em triplicata. A cada amostra foram adicionados 15 mL de uma solução de acetona-etanol (1:1) (v/v) para inativar a reação. A quantidade de ácido oleico consumido foi determinada por titulação com NaOH 0,05 mol L-1 até o meio atingir pH 11. Os ensaios dos brancos das amostras continham 500 µL da mistura padrão e 15 mL da solução de acetona-etanol.

Determinação do rendimento da imobilização

O rendimento de imobilização nos xerogéis foi calculado pela porcentagem da razão entre a atividade total de esterificação do xerogel sintetizado e a atividade de esterificação total vinculada a na massa de enzima livre adicionada na etapa de imobilização, conforme a Equação 1:

Na qual Ux corresponde à atividade total de esterificação da massa de xerogel sintetizado e U0 representa a atividade total de esterificação presente na massa de enzima livre adicionada na imobilização.

Estabilidade de estocagem

A estabilidade de estocagem dos xerogéis e da enzima livre foi realizada em temperatura entre 20-25 ºC e em refrigeração entre 3-5 ºC. A atividade foi acompanhada semanalmente, por um período de 200 dias. Os resultados foram apresentados em porcentagem da atividade residual, calculada a partir da razão da porcentagem da atividade de esterificação no tempo "i" e da atividade de esterificação no tempo inicial.

Estabilidade térmica

A estabilidade térmica dos xerogéis e da enzima livre foi realizada pela reação de esterificação em amostras incubadas em estufa nas temperaturas de 40, 60 e 80 ºC durante 1 h. Após 1 h de incubação foram realizadas as medidas das atividades de esterificação a 40 ºC. Os resultados de atividade foram comparados com os da atividade inicial.

Estabilidade operacional

A estabilidade operacional dos xerogéis, com e sem o uso de PEG, foi determinada em reações de esterificação (ácido oleico e etanol, na razão molar de 1:1) em regime de bateladas consecutivas com a reutilização dos xerogéis imobilizados. Neste estudo, empregou-se em todas as bateladas a mesma massa de xerogel imobilizado (0,1 g). Foram realizadas bateladas de 40 min, na temperatura de 40 ºC e agitação de 160 rpm. Após cada batelada, o meio reacional (fase líquida) foi removido com o auxílio de uma pipeta, mantendo a fase sólida (xerogel imobilizado).

 

RESULTADOS E DISCUSSÃO

A abordagem da imobilização da lipase em sílica por encapsulemanto utilizando uma nova metodologia de preparo do suporte foi realizada baseando-se na caracterização dos derivados imobilizados, na eficiência catalítica e em diferentes tipos de estabilidade.

Caracterização dos xerogéis

Os difratogramas de raios X referentes aos xerogéis obtidos com diferentes iniciadores da reação de polimerização, na presença da enzima lipase, são apresentados na Figura 1.

 


Figura 1. Difratogramas de raios X dos xerogéis na presença da enzima lipase CAL B: (a) xerogel ácido, (b) xerogel básico e (c) xerogel nucleofílico

 

Todos os xerogéis apresentaram a mesma particularidade, não apresentaram picos característicos de materiais cristalinos, e sim, halos na região compreendida entre 15 - 30º (2θ), os quais são característicos de materiais sem ordenação cristalina, ou seja, materiais amorfos.

As estruturas amorfas dos xerogéis obtidos sugerem que nas reações de hidrólise e condensação dos monômeros de silício os iniciadores da reação de polimerização (HCl, NH4OH e HBr) atuam como agentes de ligações cruzadas, conduzindo a formação da estrutura amorfa de SiO2, na qual o reticulado tridimensional está se formando ao redor da enzima, característica esta que dificulta a reprodutibilidade da síntese, como descreve a literatura.42

Os resultados referentes ao volume médio dos poros e a área específica dos xerogéis ácido, básico e nucleofílico são apresentados na Tabela 1.

 

 

Observa-se para os xerogéis ácidos (com e sem PEG) uma similaridade nos valores de área específica e volume médio dos poros. Para os demais xerogéis (básico e nucleofílico) observa-se uma redução, tanto da área específica (entre 20 e 50%) quanto do volume médio dos poros, para os xerogéis sintetizados com PEG, em relação aos sem PEG. Tendências similares são descritas na literatura.7,30,43-45

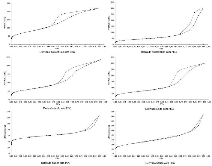
Os resultados das análises texturais de adsorção/dessorção de N2 realizadas para os xerogéis, obtidos com e sem o uso do PEG, estão apresentados na Figura 2.

 


Figura 2. Análise textural de adsorção/dessorção de N2 para os xerogéis ácido, básico e nucleofílico com e sem o uso do PEG

 

Observa-se na Figura 2 que os xerogéis ácido e nucleofílico, independentemente da presença ou não do PEG, apresentaram isotermas do tipo IV, que são tipicamente exibidas por sólidos mesoporosos,46 com histerese do tipo H2, a qual corresponde a uma distribuição de tamanhos e formas de poros definida, com poros em forma de "tinteiro", com gargalo estreito e corpo largo.47-49

Os xerogéis básicos apresentaram isotermas do tipo II, características de adsorventes não porosos ou macro porosos,46 com histerese do tipo H1, característicos de materiais porosos constituídos por aglomerados rígidos de partículas esféricas de tamanho uniforme ordenados regularmente.47-50

Determinação da atividade de esterificação e do rendimento da imobilização

A Tabela 2 apresenta a massa de enzima, a atividade de esterificação teórica adicionada na imobilização, a massa do xerogel obtido, a atividade do xerogel por grama, a atividade de esterificação total do xerogel e os rendimentos de imobilização nos xerogéis obtidos empregando os diferentes iniciadores da reação de polimerização (ácido, básico e nucleofílico), com e sem o uso do PEG 1500.

 

 

De acordo com a Tabela 2, todos os ensaios apresentaram um aumento na massa do xerogel e na atividade de esterificação com a adição do PEG e, consequentemente, no rendimento e na atividade total obtida. Dentre os ensaios, a maior atividade de esterificação, com 719,4 U e 92% de rendimento, foi observada para o xerogel nucleofílico sintetizado na presença do PEG. Esta tendência observada foi vincula ao efeito estabilizante do aditivo.50,51

Estabilidade de estocagem

A Figura 3 descreve o comportamento da atividade de esterificação residual para os xerogéis ácido, básico e nucleofílico, com e sem a adição do PEG, armazenados a temperatura ambiente.

 


Figura 3. Atividade de esterificação residual do xerogel imobilizado armazenado em temperatura ambiente

 

Independentemente da presença ou não do PEG, os xerogéis básicos e nucleofílicos apresentaram atividades residuais superiores aos xerogéis ácidos.

Considerando o mesmo derivado, observam-se tendências distintas em função da presença ou não do PEG. Os xerogéis preparados com iniciadores da reação de polimerização ácido e básico apresentaram maiores tempos de armazenagem com atividade residual > 50% da inicial para as amostras sintetizadas sem o PEG, sendo que destes a maior diferença, de 7 para 28 dias, ou seja, um aumento de aproximadamente 300% observada para o meio ácido.

Tendência contrária foi observada para os xerogéis nucleofílicos. Para este derivado, os sintetizados na presença do PEG, com 42 dias, foram os que apresentaram o maior tempo de armazenagem com atividade residual > 50%. A enzima livre teve um tempo de armazenagem de 14 dias, ou seja, menor que a maioria dos derivados testados.

Ao serem armazenados em refrigeração (Figura 4), os xerogéis básicos e nucleofílicos apresentaram tendências similares às obtidas quando do armazenamento em temperatura ambiente: apresentaram maiores tempos de estocagem em relação aos xerogéis ácidos.

 


Figura 4. Atividade de esterificação residual do xerogel imobilizado armazenado em refrigeração

 

Dentre os xerogéis, o básico sem PEG e o nucleofílico com PEG, com atividades residuais de aproximadamente 100% em 203 dias de armazenamento, foram os que apresentaram os melhores resultados. Para os xerogéis básicos e nucleofílicos observam-se tendências distintas em função do uso do PEG. Nos xerogéis básicos a ausência do PEG proporcionou um aumento de 500% no tempo com atividade residual > a 50% da inicial, em relação ao xerogel contendo PEG. Para os xerogéis nucleofílicos, o com PEG foi o que apresentou os maiores tempos de armazenagem.

Os derivados ácidos, com tempos com atividade residual > a 50% da inicial de 7 (sem PEG) e 14 dias (com PEG) foram os que apresentaram os resultados menos promissores e, consequentemente, optou-se por não testá-lo no decorrer do trabalho.

A estabilidade de estocagem por longos períodos é um dos principais fatores a ser considerado quando se utiliza lipases imobilizadas. Neste contexto, com uma atividade residual de aproximadamente 100% por 203 dias, o xerogel básico sem PEG e nucleofílico com PEG se destacam em relação aos resultados observados na literatura.33,52-55

Estabilidade térmica

A Figura 5 apresenta as atividades residuais de esterificação referentes à estabilidade térmica para os xerogéis básicos e nucleofílicos, com e sem PEG, ativados nas temperaturas de 40, 60 e 80 ºC por um período de 60 min.

 


Figura 5. Atividade de esterificação residual em diferentes temperaturas de contato durante 60 min

 

Todos os xerogéis apresentaram a mesma tendência, ou seja, uma redução da atividade residual com o aumento da temperatura. Fica evidente que a estabilidade térmica dos xerogéis frente à enzima livre é melhor na maioria dos xerogéis.

Entre os xerogéis, os com adição do PEG apresentaram os maiores valores de atividade residual em todas as temperaturas. Considerando os iniciadores da reação de polimerização, os xerogéis básicos apresentaram os melhores resultados, exibindo para as três temperaturas avaliadas atividades superiores em relação às observadas para os xerogéis nucleofílicos e para a enzima livre, indicando um efeito positivo deste iniciador em relação à estabilidade térmica na enzima.

Na temperatura de 80 ºC, os únicos xerogéis que apresentaram atividade residual foram os básicos, com e sem PEG, com atividade residual de 38% e 20%, respectivamente. Resultados semelhantes podem ser verificados na literatura.54-58

Estabilidade operacional

A possibilidade de reutilizar a lipase de Candida antarctica B imobilizada foi determinada empregando como modelo a reação de esterificação do oleato de etila. O comportamento das atividades residuais, tendo como referência a atividade referente à primeira reação, é apresentado na Figura 6.

 


Figura 6. Atividade de esterificação residual da estabilidade operacional

 

Considerando uma atividade residual > a 50% da atividade inicial, os xerogéis (independentemente do iniciador de reação empregado) sintetizados na presença do PEG foram os que apresentaram os melhores resultados. Destes, destaca-se o xerogel básico, com nove reusos. Resultados similares são observados na literatura para imobilizado em suportes obtidos via sol-gel.7,43,54-59

O processo de imobilização em xerogel proporcionou o aumento da estabilidade térmica, de armazenagem e operacional em reação à enzima livre, como observado nas Figuras 3, 4, 5 e 6. Dentre os xerogéis imobilizados, os que apresentaram melhores resultados foram os com o iniciador de polimerização básico com e sem o uso do PEG e nucleofílico com PEG. Os resultados demostram que os aditivos, tais como polietilenoglicol (PEG), aumentam a eficiência deste tipo de imobilização da lipase.9

 

CONCLUSÃO

O processo de imobilização proporcionou um aumento da estabilidade térmica, de estocagem e operacional em relação à enzima livre. Num contexto geral, dentre os xerogéis imobilizados os que apresentaram os melhores resultados foram os básicos, com e sem PEG, e nucleofílico com PEG. A temperatura de estocagem demonstrou ser uma das principais variáveis a ser considerada no processo, com os xerogéis estocados em refrigeração apresentando resultados melhores, em termos de atividade residual, em relação às amostras estocadas a temperatuta ambiente.

Em relação à estabilidade operacional os resultados demonstraram a possível reutilização dos xerogéis imobilizados, comprovando a eficiência da metodologia empregada, sendo esta uma das principais vantagens sobre a enzima livre.

 

AGRADECIMENTOS

URI-Erechim, FAPERGS, CNPq, SC&T/RS.

 

REFERÊNCIA

1. Abrahao Neto, J. Em Biotecnologia industrial - processos fermentativos e enzimáticos; Lima, U. A.; Aquarone, E.; Borzani, W.; Schmidell, W., eds.; Edgard Blücher Ltda., 2001, cap. 19.

2. Bon, E. P. S.; Ferrara, M. A.; Corvo, M. L.; Enzimas em biotecnologia: produçao, aplicaçao e mercado; UFRJ: CAPES: FAPERJ: FCT: Rio de Janeiro, 2008.

3. Oliveira, L. G.; Mantovani, S. M.; Quim. Nova. 2009, 32, 742. DOI: http://dx.doi.org/10.1590/S0100-40422009000100027

4. Orlandelli, R. C.; Specian, V.; Felber, A. C.; Pamphile, J. A.; SaBios: Rev. Saúde e Biol. 2012, 7, 97.

5. Lee, S. H.; Doan, T. T. N.; Ha, S. H. H.; Koo, Y. M.; J. Mol. Catal. B: Enzym. 2007, 45, 57. DOI: http://dx.doi.org/10.1016/j.molcatb.2006.11.008

6. Pinheiro, R. C.; Soares, C. M. F.; de Castro, H. F.; Moraes, F. F.; Zanin, G. M.; Appl. Biochem. Biotechnol. 2008, 146, 203. DOI: http://dx.doi.org/10.1007/s12010-007-8072-4 PMID: 18373071

7. Souza, R. L.; Resende, W. C. S.; Barao, C. E.; Zanin, G. M.; Castro, H. F. de; Santos, O. A. A.; Fricks, A. T.; Figueiredo, R. T.; Lima, A. S.; Soares, C. M. F.; J. Mol. Catal. B: Enzym. 2012, 84, 152. DOI: http://dx.doi.org/10.1016/j.molcatb.2012.05.013

8. Freitas, L.; Perez, V. H.; Santos, J. C.; Castro, H. F. de; J. Braz. Chem. Soc. 2007, 18, 1360. DOI: http://dx.doi.org/10.1590/S0103-50532007000700011

9. Reetz, M. T. Em Imobilization of Enzymes and Cells; Guisan, J. M., ed.; Humana Press: Totowa, 2006, cap.6.

10. Paula, A. V.; Barbosa, J. C. S.; de Castro, H. F.; Quim. Nova 2005, 28, 792. DOI: http://dx.doi.org/10.1590/S0100-40422005000500011

11. Antczak, M. S.; Kubiak, A.; Antczak, T.; Bielecki, S.; Renewable Energy 2009, 34, 1185. DOI: http://dx.doi.org/10.1016/j.renene.2008.11.013

12. Contesini, F. J.; Lopes, D. B.; Macedo, G. A.; Nascimento, M. G.; Carvalho, P. O.; J. Mol. Catal. B: Enzym. 2010, 2116, 1.

13. Dizge, N.; Keskinler, B.; Tanriseven, A.; Biochem. Eng. J. 2009, 44, 220. DOI: http://dx.doi.org/10.1016/j.bej.2008.12.008

14. Zarcula, C.; Corîci, L.; Croitoru, R.; Ursoiu, A.; Peter, F.; J. Mol. Catal. B: Enzym. 2010, 65, 79. DOI: http://dx.doi.org/10.1016/j.molcatb.2010.01.027

15. Castro, H. F. de.; Mendes, A. A.; Santos, J. C.; Aguiar, C. L.; Quim. Nova 2004, 27, 146. DOI: http://dx.doi.org/10.1590/S0100-40422004000100026

16. Mendes, A. A.; Barbosa, B. C. M.; Soares, C. M. F.; Silva, L. C. P. S.; de Castro, H. F.; Acta Sci., Technol. 2006, 28, 133. DOI: http://dx.doi.org/10.4025/actascitechnol.v28i1.1203

17. Reis, P.; Holmberg, K.; Watzke, H.; Leser, M. E.; Miller, R.; Adv. Colloid Interface Sci. 2009, 147, 237. DOI: http://dx.doi.org/10.1016/j.cis.2008.06.001 PMID: 18691682

18. Sabbani, S.; Hedenström, E.; Nordin, O.; J. Mol. Catal. B: Enzym. 2006, 42, 1. DOI: http://dx.doi.org/10.1016/j.molcatb.2006.05.003

19. Wang, Y.; Hsieh, Y. L.; J. Membr. Sci. 2008, 309, 73. DOI: http://dx.doi.org/10.1016/j.memsci.2007.10.026

20. Meunier, S. M.; Legge, R. L.; J. Mol. Catal. B: Enzym. 2010, 62, 54. DOI: http://dx.doi.org/10.1016/j.molcatb.2009.09.002

21. Noureddini, H.; Gao, X.; Philkana, R. S.; Bioresour. Technol. 2005, 96, 769. DOI: http://dx.doi.org/10.1016/j.biortech.2004.05.029 PMID: 15607189

22. Kato, K.; Nakagaki, S.; Nishida, M.; Hirao, K.; J. Ceram. Soc. Jpn. 2011, 119, 140. DOI: http://dx.doi.org/10.2109/jcersj2.119.140

23. Kumari, V.; Shah, S.; Gupta, M. N.; Energy Fuels 2007, 21, 368. DOI: http://dx.doi.org/10.1021/ef0602168

24. Freitas, L.; Da Rós, P. C. M.; Santos, J. C.; de Castro, H. F.; Process Biochem. 2009, 44, 1068. DOI: http://dx.doi.org/10.1016/j.procbio.2009.05.011

25. Lu, J.; Deng, L.; Zhao, R.; Zhang, R.; Wang, F.; Tan, T.; J. Mol. Catal. B: Enzym. 2010, 62, 15. DOI: http://dx.doi.org/10.1016/j.molcatb.2009.08.002

26. Lv, P.; Wang, X.; Yuan, Z.; Tan, T.; Energy Sources Part. A. 2008, 30, 872. DOI: http://dx.doi.org/10.1080/15567030601082456

27. Salis, A.; Pinna, M.; Monduzzi, M.; Solinas, V.;. J. Mol. Catal. B: Enzym. 2008, 54, 19. DOI: http://dx.doi.org/10.1016/j.molcatb.2007.12.006

28. Wang, J. X.; Huang, Q. D.; Huang, F. H.; Wang, J. W.; Huang, Q. J.; Chin. J. Biotechnol. 2007, 23, 1121. DOI: http://dx.doi.org/10.1016/S1872-2075(07)60003-X

29. José, N. M.; Prado, L. A. S. A.; Quim. Nova 2005, 28, 281. DOI: http://dx.doi.org/10.1590/S0100-40422005000200020

30. Vila-Real, H.; Alfaia, A. J.; Rosa, J. N.; Gois, P. M. P.; Rosa, M. E.; Calado, A. R. T.; Ribeiro, M. H.; J. Biotechnol. 2011, 152, 147. DOI: http://dx.doi.org/10.1016/j.jbiotec.2010.08.005 PMID: 20727919

31. Roveri, N.; Morpurgo, M.; Palazzo, B.; Parma, B.; Vivi, L.; Anal. Bioanal. Chem. 2005, 381, 601. DOI: http://dx.doi.org/10.1007/s00216-004-2765-0 PMID: 15289979

32. Barrera, E. G.; Stedile, F. C.; de Souza, M. O.; Miranda, M. S. L.; de Souza, R. F.; Gusmao, K. B.; Appl. Catal., A 2013, 462, 1. DOI: http://dx.doi.org/10.1016/j.apcata.2013.04.021

33. Soares, C. M. F.; Santos, O. A.; de Castro, H. F.; Moraes, F. F.; Zanin, G. M.; J. Mol. Catal. B: Enzym. 2006, 39, 69. DOI: http://dx.doi.org/10.1016/j.molcatb.2006.01.005

34. Villeneuve, P.; Muderhwa, J. M.; Graille, J. M.; Haas, M. J.; J. Mol. Catal. B: Enzym. 2000, 9, 113. DOI: http://dx.doi.org/10.1016/S1381-1177(99)00107-1

35. Hara, P.; Mikkola, J. P.; Murzin, D. Y.; Kanerva, L. T.; J. Mol. Catal. B: Enzym. 2010, 67, 129. DOI: http://dx.doi.org/10.1016/j.molcatb.2010.07.018

36. Ursoiu, A.; Paul, C.; Kurtán, T.; Péter, F.; Molecules 2012, 17, 13045. DOI: http://dx.doi.org/10.3390/molecules171113045 PMID: 23124473

37. Soares, C. M. F.; Santana, M. H. A.; Zanin, G. M.; Castro, H. F. de; Quim. Nova 2003, 26, 832. DOI: http://dx.doi.org/10.1590/S0100-40422003000600010

38. Reetz, M. T.; Tielmann, P.; Wisenhofer, W.; Konen, W.; Zonta, A.; Adv. Synth. Catal. 2003, 345, 717. DOI: http://dx.doi.org/10.1002/adsc.200303109

39. Brunauer, S.; Emmet, T. P. H.; Teller, E.; J. Am. Chem. Soc. 1938, 60, 309. DOI: http://dx.doi.org/10.1021/ja01269a023

40. Ramos, M. A.; Gil, M. H.; Schacht, E.; Matthys, G.; Mondelaers, W.; Figueiredo, M. M.; Powder Technol. 1998, 99, 79. DOI: http://dx.doi.org/10.1016/S0032-5910(98)00061-8

41. Ferraz, L. R; Oliveira, D. S.; Silva, M. F.; Rigo, E.; Di Luccio, M.; Oliveira, J. V.; Oliveira, D.; Treichel, H.; Biocatal. Agric. Biotechnol. 2012, 1, 243.

42. Hench, L. L.; West, J. K.; Chem. Rev. 1990, 90, 33. DOI: http://dx.doi.org/10.1021/cr00099a003

43. Hara, P.; Hanefeld, U.; Kanerva, L.T.; J. Mol. Catal. B: Enzym. 2008, 50, 80. DOI: http://dx.doi.org/10.1016/j.molcatb.2007.09.004

44. Souza, R. L.; Barbosa, J. M. P.; Zanin, G. M.; Lobao, M. W. N.; Soares, C. M. F., Lima, A. S.; Appl. Biochem. Biotechnol. 2010, 161, 288. DOI: http://dx.doi.org/10.1007/s12010-010-8907-2 PMID: 20119857

45. Zhou, Y.; Curr. Nanosci. 2005, 1, 35. DOI: http://dx.doi.org/10.2174/1573413052953174

46. Gregg, S. J.; Sing, K. S. W.; Adsorption, Surface area and Porosity; Academic Press: London, 1982.

47. Teixeira, V. G.; Coutinho, F. M. B.; Gomes, A. S.; Quim. Nova. 2001, 24, 808.

48. Figueiredo, J. L.; Ribeiro, F. R.; Catálise heterogénea; Fundaçao Calouste Gulbenkian: Lisboa, 1989.

49. Messing, R. A.; Immobilized Enzymes for Industrial Reactors; Academic Press: New York, 1975, p.63.

50. Keeling-Tucker, T.; Rakic, M.; Spong, C.; Brennan, J. D.; Chem. Mater. 2000, 12, 3695. DOI: http://dx.doi.org/10.1021/cm000491m

51. Soares, C. M. F.; de Castro, H. F.; Santana, M. H. A.; Zanin, G. M.; Appl. Biochem. Biotechnol. 2002, 98, 863. DOI: http://dx.doi.org/10.1385/ABAB:98-100:1-9:863 PMID: 12018308

52. Braga, L. P.; Bruno, L. M.; de Castro, H. F.; Resumo do VI Congresso Brasileiro de Engenharia Química em Iniciaçao Científica, Campinas, Brasil, 2005.

53. Buisson, P.; Hernandez, C.; Pierre, M.; Pierre, A. C.; J. Non-Cryst. Solids 2001, 285, 295. DOI: http://dx.doi.org/10.1016/S0022-3093(01)00470-7

54. Yilmaz, E.; Sezgin, M.; Yilmaz, M.; J. Mol. Catal. B: Enzym. 2010, 62, 162. DOI: http://dx.doi.org/10.1016/j.molcatb.2009.10.003

55. Yilmaz, E.; Sezgin, M.; Yilmaz, M.; J. Mol. Catal. B: Enzym. 2011, 69, 35. DOI: http://dx.doi.org/10.1016/j.molcatb.2010.12.007

56. Carvalho, N. B.; Barbosa, J. M. P; Oliveira, M. V. S.; Fricks, A. T.; Lima, A. S.; Soares, C. M. F.; Quim. Nova 2013, 36, 52. DOI: http://dx.doi.org/10.1590/S0100-40422013000100010

57. Simoes, A. S.; Mori, R. Y.; Faria, R.; Castro, H. F. de.; Mendes, A. A.; Quim. Nova 2011, 34, 33. DOI: http://dx.doi.org/10.1590/S0100-40422011000100007

58. Souza, R. L.; Faria, E. L. P.; Figueiredo, R. T.; Freitas, L. S.; Iglesias, M.; Mattedi, S.; Zanin, G. M.; Santos, O. A. A.; Coutinho, J. A. P.; Lima, A. S.; Soares, C. M. F.; Enzyme Microb. Technol. 2013, 52, 141. DOI: http://dx.doi.org/10.1016/j.enzmictec.2012.12.007 PMID: 23410924

59. Carvalho, N. B.; Dissertaçao de Mestrado, Universidade Tiradentes, Aracajú, Brasil, 2011.

On-line version ISSN 1678-7064 Printed version ISSN 0100-4042
Qu�mica Nova
Publica��es da Sociedade Brasileira de Qu�mica
Caixa Postal: 26037 05513-970 S�o Paulo - SP
Tel/Fax: +55.11.3032.2299/+55.11.3814.3602
Free access

GN1