JBCS



13:19, ter out 14

Acesso Aberto/TP



Nota Técnica


Uso do planejamento experimental para otimização de um procedimento voltamétrico para determinação simultânea das concentrações dos metais Zn, Cd, Pb e Cu livres em água de coco
Use of experimental planning for optimization of a procedure for simultaneous voltammetric determination of metals Zn, Cd, Pb and Cu free in coconut water

Thalles R. Rosa*; José Guilherme A. Rodrigues; Rafael de Q. Ferreira

Departamento de Química, Universidade Federal do Espírito Santo, 29075-910 Vitória - ES, Brasil

Recebido em 11/06/2015
Aceito em 23/09/2015
Publicado na web em 14/01/2016

Endereço para correspondência

*e-mail: thalles.rosa@ufes.br

RESUMO

Optimization of the main parameters of SWASV using boron-doped diamond electrode was described for the simultaneous determination of Zn, Cd, Pb and Cu free in coconut water. The values of electroanalytical parameters studied were optimized with the factorial design and center composite design. The optimized parameters for the preconcentration of metals were -1.50 V for potential, and 240 s for deposition time. For SWV, the optimized value was 11.56 mV for step potential. In addition, frequency and pulse height were defined at 100 Hz and 55 mV, respectively. Furthermore, the concentration of the supporting electrolyte (acetate buffer, pH 4.7) was optimized in 0.206 mol L-1. The optimized procedure was applied in two samples of coconut water: natural and processed. The limits of detection (LOD) obtained for Zn, Cd, Pb and Cu were 7.2; 4.4; 3.3 and 1.5 µg L-1, respectively. The concentrations of Cd and Pb were not detected. On the other hand, the values found for the concentrations of Zn and Cu were: < LOD (29 µg L-1) and (6.8 ± 0.9) µg L-1 for the natural sample; and (85.8 ± 4.2) µg L-1 and (7.7 ± 0.6) µg L-1 for the processed sample, respectively.

Palavras-chave: experimental planning; coconut water; metals; stripping; voltammetry.

INTRODUÇÃO

A formação da endosperma líquida do fruto do coqueiro (Cocos Nucifera L.) é uma estratégia ecofisiológica para o armazenamento de substâncias nutritivas de reserva como mecanismo de sobrevivência da espécie.1 Portanto, esse líquido de aspecto turvo, mais conhecido como água de coco, é rico em carboidratos, lipídios, proteínas, vitaminas e minerais tais como Na, Ca, Fe, Zn, K, Mg, P, entre outros.2,3 Entretanto, o teor dessas substâncias pode variar em função do período de maturação, da nutrição do solo de cultivo, da irrigação e condições climáticas ao longo do ano.4

A água de coco é um alimento isotônico mundialmente conhecido e apreciado em todo o Brasil, principalmente em regiões litorâneas, devido ao sabor agradável e suas propriedades medicinais.5 A sua demanda crescente despertou em pesquisadores de várias partes do mundo uma busca por métodos analíticos capazes de avaliar características sensoriais, parâmetros físico-químicos, bem como a sua composição orgânica e inorgânica de forma rápida e eficiente. Nesse sentido, as técnicas cromatográficas podem ser empregadas para determinar a concentração de vários compostos orgânicos em água de coco.6,7 Por outro lado, os compostos inorgânicos são, na maioria das vezes, determinados por técnicas espectrométricas.3,8-10

Os metais Mg, K, Na e Ca, por exemplo, foram determinados na matriz água de coco in natura por espectrometria de absorção atômica com chama (F AAS) por Jeganathan et al.8 em 1992. Quatro anos mais tarde Santoso et al.9 usaram a técnica de espectrometria de emissão atômica por plasma indutivamente acoplado (ICP AES) para determinar Mg, K, Na, Ca, P, S, Mn, Fe, Zn, Cu, B, Al na mesma matriz. Aleixo et al.10 em 2000 determinaram a concentração de Selênio em água de coco in natura e leite de coco industrializado utilizando a espectrometria de absorção atômica em forno de grafite (GF AAS). No ano de 2004, Sousa et al.3 determinaram Mg, Ca, Mn, Fe, Zn e Cu em água de coco industrializada por espectrometria de emissão ótica com plasma indutivamente acoplado (ICP OES).

No entanto, as técnicas espectroanalíticas, anteriormente citadas, possuem um custo elevado e tempos moderados de execução. Em contrapartida, as técnicas eletroanalíticas, principalmente a voltametria, vem sendo cada vez mais empregadas para obter informações fundamentais sobre diversas substâncias orgânicas e inorgânicas, inclusive espécies metálicas. Um aspecto desejável dessas técnicas é a possibilidade de sua aplicação direta na amostra evitando o preparo da mesma. Essa característica possibilita análises com materiais coloridos ou mesmo amostras turvas, como o caso da água de coco, que contém partículas sólidas dispersas.11

Dentre essas técnicas podemos destacar a SWASV (do inglês, Square-wave anodic stripping voltammetry) que pode ser aplicada na determinação da concentração traço de espécies metálicas.12,13

No entanto, as técnicas eletroanalíticas reportadas na literatura para a determinação de metais em água de coco utilizam uma etapa de pré-concentração, mas não uma varredura por SWV. Munoz et al.,14 por exemplo, usou a técnica de PSA (do inglês, Potentiometric Stripping Analysis) e um FME (do inglês, Film Mercury Electrode) para a determinação de zinco em água de coco. Nessa determinação, os autores comparam os resultados com a técnica GF AAS obtendo boa coerência estatística entre os resultados a um nível de 95% de confiança (n = 3) pelo teste t-Student. O procedimento eletroanalítico usado por eles emprega o mercúrio como eletrodo de trabalho, que possui uma alta toxicidade. Por esse motivo, diversas alternativas têm sido propostas a fim de substituir este eletrodo por outros materiais de menor toxicidade. Nessa perspectiva, o eletrodo de diamante dopado com boro (DDB) pode ser aplicado como eletrodo sólido em substituição aos eletrodos de mercúrio.15 A literatura atribui ao DDB uma alta resistência à corrosão, reprodutibilidade de sua superfície e baixas correntes capacitivas, além de uma extensa janela eletroquímica de trabalho, que varia de -0,75 V a +2,35 V vs ENH, em eletrólito suporte de H2SO4 0,5 mol L-1.16

A junção do eletrodo de DDB com a SWV tem chamado a atenção quanto a infinidade de aplicações em diferentes amostras, principalmente compostos orgânicos.15,17-19 Porém, o uso do DDB como eletrodo de trabalho na SWASV aplicado na determinação de espécies metálicas em água de coco é atualmente inexistente.

As técnicas espectroanalíticas e eletroanalíticas anteriormente citadas podem apresentar um aumento significativo de sua performance a partir do uso da otimização multivariada.20 Essa ferramenta estatística explora as condições experimentais do sistema com o mínimo de experimentos possíveis, revelando, portanto, as contribuições das variáveis da técnica na resposta analítica de forma mútua. Além disso, a otimização aumenta a sensibilidade do método, minimizando o efeito da matriz por possibilitar uma maior diluição da amostra mantendo a concentração do analito ainda detectável.21-23

Nesse sentido, a otimização multivariada pode empregar o planejamento fatorial completo em uma etapa inicial, chamada de triagem, que seleciona as variáveis experimentais que influenciam significativamente na resposta analítica.24 Numa etapa seguinte, as variáveis selecionadas são otimizadas por alguma ferramenta estatística que geram modelos quadráticos, por exemplo, o planejamento composto central (CCD). Por fim, é estabelecida uma equação matemática que relaciona as variáveis a serem otimizadas com a resposta analítica (superfície de resposta). Nessa equação são aplicados artifícios matemáticos com os quais se estabelecem uma combinação numérica otimizada para as variáveis do sistema.21

O uso dessas ferramentas estatísticas tais como o planejamento fatorial e a superfície de resposta já foram empregadas para uma otimização de métodos eletroanalíticos obtendo bons resultados.25

Portanto, o presente trabalho aplica o planejamento fatorial e superfície de resposta para otimizar as variáveis da SWASV, tais como a concentração do eletrólito suporte; potencial e tempo de pré-concentração; frequência, amplitude e incremento da onda quadrada, objetivando a determinação simultânea de Zn, Cd, Pb e Cu livres de forma direta na água de coco usando o eletrodo de DDB.

 

PARTE EXPERIMENTAL

Reagentes e soluções

Todas as soluções empregadas nos experimentos foram preparadas a partir de reagentes de grau analítico utilizando água ultrapura (resistividade de 17 MΩ - cm 25 °C) de um sistema de purificação com osmose reversa (Quimis®).

Para o preparo da solução estoque de Zn (300 mg L-1), digeriu-se cerca de 0,3000 g de zinco metálico (99%, Lafan®) em 5,0 mL de ácido clorídrico (35%, Vetec®). Por fim, a mistura foi aquecida até a secura e o produto remanescente foi dissolvido em água ultrapura e aferido em um balão volumétrico de 1,00 L. Por outro lado, as soluções estoque de Cd, Pb e Cu foram preparadas a partir da dissolução dos sais de cloreto de cádmio (95%, Nuclear®), acetato de chumbo (99%, Merck®) e acetato de cobre (99,5%, Merck®), respectivamente, em água ultrapura, obtendo-se uma concentração final de cerca de 300 mg L-1. A concentração de Zn, Cd, Pb e Cu em cada solução estoque foi determinada por F AAS obtendo-se, respectivamente, 292; 300; 380; 240 mg L-1.

Em seguida, uma solução intermediária foi preparada com 2,00; 1,00; 1,00; 1,00 mL das soluções estoque de Zn, Cd, Pb e Cu, respectivamente, para a obtenção dos LD e construção da curva de adição de analito. A solução foi aferida para um volume final de 100,0 mL com água ultrapura.

Uma solução estoque 1,0 mol L-1 de tampão ácido acético/acetato de sódio (tampão acetato) pH 4,7 foi usada como eletrólito suporte durante as análises voltamétricas.

Amostras

Para a realização dos experimentos foram utilizadas duas amostras de água de coco sendo uma amostra natural (amostra A) e outra industrializada (amostra B), ambas adquiridas no comércio local da cidade de Vitória localizada no estado do Espírito Santo/Brasil.

A amostra A foi extraída diretamente do fruto do coco por meio de uma seringa descontaminada e armazenada em frasco de polietileno. A amostra B foi mantida na própria embalagem do fabricante. Ambas as amostras foram armazenadas sob refrigeração (4 °C) e posteriormente analisadas diretamente por SWASV sem qualquer tratamento prévio.

Aparatos

Os experimentos eletroquímicos foram realizados usando um analisador voltamétrico 797Computrace da Metrohm®. Um eletrodo auxiliar de fio de platina com área geométrica de 1 cm2 foi usado em conjunto com um eletrodo de referência de Ag/AgCl (KCl 3,0 mol L-1) e com um eletrodo de trabalho de diamante dopado com boro (DDB/8000 ppm) com um filme de área geométrica de 0,23 cm2, produzido pelo Centro Suíço de Eletrônica e Microtécnica (CSEM), Neuchâtel. O sistema eletroquímico foi previamente desaerado com nitrogênio gasoso (99,997%).

Antes de cada varredura por SWV, um pré-tratamento eletroquímico do eletrodo DDB foi realizado de acordo com Suffredini et al.,16 aplicando 3,0 V por 15 s para a limpeza e -3,0 V por 45 s para a ativação da superfície do eletrodo em solução de H2SO4 0,5 mol L-1.

Otimização dos parâmetros de pré-concentração da SWASV

Na otimização do potencial (E) e do tempo (t) da pré-concentração, as variáveis da SWV foram fixadas em 100 Hz para a frequência, 50 mV para a amplitude de pulso, 10 mV para o incremento de potencial e 0,10 mol L-1 para a concentração do eletrólito suporte. A solução empregada nessa etapa foi composta por 5,00 mL da amostra de água de coco industrializada e 2,0 mL da solução estoque do eletrólito suporte. Além disso, foram adicionados 1,00 mL da solução estoque intermediária de Zn, Cd, Pb e Cu para fortificar o sistema eletroquímico com os analitos. A solução foi aferida para um volume final de 20,0 mL com água ultrapura.

Os valores das duas variáveis da pré-concentração (potencial e tempo) foram otimizados aplicando o planejamento composto central (CCD) com duas repetições dos pontos centrais totalizando 11 experimentos.

Otimização dos parâmetros da SWV da SWASV

Para a otimização da SWV, a composição do sistema e os parâmetros já otimizados na pré-concentração foram usados. Consequentemente, o potencial e o tempo de pré-concentração foram de -1,50 V e 240 s, respectivamente.

Na avaliação das variáveis mais significativas, aplicou-se o planejamento fatorial 24 obtendo 16 experimentos. Os valores das variáveis significativas, incremento de potencial, amplitude de pulso e concentração do tampão acetato foram otimizados aplicando o planejamento CCD para 3 variáveis e 2 repetições do ponto central totalizando 17 experimentos.

Tratamento dos dados das etapas de otimização

Os valores das correntes de pico dos analitos Zn, Cd, Pb e Cu foram primeiramente normalizados devido à discrepância das intensidades entre cada elemento. Nesse sentido, o maior valor de corrente assumido por um analito recebeu o valor unitário e as demais correntes valores proporcionais a esse.26 Por fim, a variável resposta (resposta unificada) usada na matriz da otimização foi dada pelo somatório dos quatro valores previamente normalizados. Portanto, esta resposta unificada agrupa as correntes de pico proporcionando uma otimização conjunta dos metais.

Todo o processo de triagem e otimização dos experimentos foi executado utilizando a versão teste do software Statistica 6.0 e OpenOffice Calc do suite de aplicativos Open Office® para o processamento dos dados obtidos.

Determinação do Limite de Detecção (LD)

Para a determinação do limite de detecção (LD) da metodologia proposta, realizou-se adições sucessivas de alíquotas de 10 µL da solução estoque intermediária dos metais Zn, Cd, Pb e Cu em 20,0 mL de uma solução tampão acetato 0,206 mol L-1 até que se observasse uma corrente de pico mensurável inerentes aos analitos.

Determinação da concentração de Zn, Cd, Pb e Cu livre em água de coco

Para a determinação dos metais naturalmente disponíveis na água de coco empregamos os parâmetros otimizados nas etapas anteriores. Uma alíquota de 5,00 mL de amostra foi adicionada a 4,12 mL de tampão acetato 0,206 mol L-1, aferidos para um volume final de 20,0 mL para obter uma concentração otimizada de eletrólito suporte equivalente a 0,206 mol L-1. Em um segundo momento, adicionou-se quatro alíquotas (200 - 1000 µL) da solução estoque intermediária para construção da curva de adição de analito dos metais Zn, Cd, Pb e Cu. Os parâmetros da SWASV usados estão listados na Tabela 1.

 

 

RESULTADOS E DISCUSSÃO

Os parâmetros experimentais da SWASV que foram otimizados usando o planejamento fatorial completo neste estudo representam as principais variáveis que, segundo a literatura, influenciam significativamente a corrente de pico dos voltamogramas.11,26,27

Otimização dos parâmetros da pré-concentração

Para a otimização das variáveis na etapa de pré-concentração, estabeleceu cinco níveis para as variáveis potencial (E) e tempo (t), sendo que o nível zero foi de -1,45 V para a variável E e 135 s para t. A Tabela 2 apresenta a otimização de duas variáveis com base na matriz do planejamento composto central.

 

 

O modelo polinomial quadrático que descreve uma relação entre as variáveis otimizadas E e t com a resposta (corrente de pico) foi estabelecida na Equação 1 a partir da matriz de planejamento CCD. Os ensaios eletroanalíticos foram realizados aleatoriamente para não haver erros estatísticos associados. A Equação 1 apresenta o modelo algébrico usado para otimização das variáveis x1(E), x2(t).

sendo b0 o valor da média dos pontos centrais e b1 até b5 os coeficientes do modelo a serem determinados. Os coeficientes da equação do modelo foram obtidos por meio da Equação 2:

sendo a matriz de contraste, a transposta de e a matriz a média das respostas unificadas. Sendo assim, a Equação 3 foi obtida para o modelo de otimização de E e t:

Para a validação do ajuste do modelo desenvolvido na otimização das variáveis, foi aplicada a análise de variância (ANOVA). A Tabela 3 apresenta a validação do modelo matemático gerado para otimização das variáveis E e t.

 

 

O Teste F foi aplicado para verificar a significância da regressão, visto que um F calculado maior que o F tabelado indica uma boa regressão e, consequentemente, um modelo matemático que representa satisfatoriamente seu experimento.28

Desta maneira, com os dados obtidos pela tabela da ANOVA, verificou-se que o modelo matemático gerado é estatisticamente significativo, visto que o F calculado da regressão (113,4) é maior que o F tabelado (4,53) a um nível de confiança de 95% e 4 e 6 graus de liberdade. Além disso, o ajuste quadrático aplicado foi verificado analisando a falta de ajuste e o erro puro. Sendo assim, o valor de F calculado igual a 2,54 é menor que o valor do F tabelado (19,25) a 95% de nível de confiança com graus de liberdade de 3 e 2. Portanto, o modelo não possui falta de ajuste.21

A partir do modelo descrito pela Equação 3 foi possível gerar a curva de nível (Figura 1) para os metais Zn, Cd, Pb e Cu simultaneamente.

 


Figura 1. Curva de nível gerada pelo modelo matemático quadrático: otimização das variáveis E e t em função corrente de pico unificada dos elementos Zn, Cd, Pb e Cu

 

A etapa de pré-concentração proporciona uma maior sensibilidade na determinação da concentração dos metais. As duas variáveis estudadas nessa etapa são: potencial de pré-concentração (E) e o tempo em que ele é aplicado (t). Consequentemente, a etapa de triagem para duas variáveis é desnecessária. Deste modo, a otimização da etapa de pré-concentração foi realizada diretamente a partir do planejamento empregando o CCD.

Para as análises voltamétricas que empregam a pré-concentração, o aumento de sensibilidade pode ser atribuído à quantidade de analito depositado na superfície do eletrodo de trabalho. Portanto, espera-se que o emprego de potenciais mais negativos aumente a sensibilidade da SWASV.25 Portanto, o menor valor que pode ser assumido por E é de -1,50 V, por ser o menor potencial capaz de reduzir todos os quatro metais sem que haja a redução dos íons H+. Contudo, esta redução compete com a redução dos analitos, o que diminui a eficiência da pré-concentração. Em contrapartida, -1,40 V é o maior valor de potencial capaz de depositar todos os metais, inclusive o Zn, que dentre os quatro metais apresenta o maior potencial de redução.

Os níveis (-1,41 e +1,41) atribuídos para os valores de t foram 30 e 240 s. A curva de nível mostra que valores elevados de t aumentam a resposta unificada dos analitos. Porém, o tempo efetivo total de análise também aumentaria, o que não é uma característica atrativa para um método analítico.

Os pontos críticos foram estabelecidos em -1,50 V para o potencial de deposição e 240 s para o tempo de deposição.

Otimização dos parâmetros da SWV

Uma vez que os analitos Zn, Cd, Pb e Cu são reduzidos no eletrodo de trabalho, a segunda etapa (SWV) estabelecerá uma corrente de pico a qual se relaciona proporcionalmente com a concentração de cada um dos quatro metais. A SWV possui parâmetros que devem ser otimizados por influenciar consideravelmente na sensibilidade e seletividade do método proposto neste trabalho.

A frequência (f) de aplicação dos pulsos de potencial, por exemplo, é uma das mais importantes variáveis da SWV.11 Ela influência proporcionalmente na corrente de pico ocasionando maior sensibilidade do método. Por outro lado, em frequências maiores, a resolução do pico é reduzida quando esta perde o seu aspecto que, de maneira simplista, faz alusão a uma gaussiana.

A amplitude de pulso (A) na SWV aumenta a altura e largura do pico. Nesse sentido, o aumento dessa corrente de pico pela amplitude de pulso é desejada. Por outro lado, o alargamento do pico proporcionaria uma menor seletividade ao sobrepor correntes de pico de analitos vizinhos.

Já a velocidade de varredura da SWV é função do produto da frequência de aplicação dos pulsos de potenciais (f) com o incremento de potencial (I). Sendo assim, o incremento de potencial afeta a velocidade de varredura da onda quadrada, melhorando significativamente a sensibilidade das análises.

Além dessas três variáveis, a concentração do eletrólito suporte (C) foi avaliada nessa etapa, uma vez que a influência da queda ôhmica na SWV foi estudada por Mirceski et al.27 Portanto, realizou-se um planejamento fatorial completo do tipo 24, isto é, 4 variáveis estudadas em 2 níveis cada uma.

No planejamento fatorial completo de uma determinação simultânea de Zn, Cd, Pb e Cu, o uso de uma resposta unificada das correntes de pico pode ser usada para uma triagem conjunta dos metais. Desta forma, a Tabela 4 apresenta o valor experimental unificado para todos os metais.

 

 

A partir desta resposta unificada, calcularam-se os efeitos de cada variável para o sistema que é apresentado no gráfico Pareto (ver Figura 2).

 


Figura 2. Diagrama de Pareto resultante do planejamento fatorial completo para a resposta unificada

 

O diagrama de Pareto expressa as variáveis consideradas significativas a 95% de nível de confiança. Além do mais, é possível evidenciar a importância do incremento de potencial (I) e a concentração do tampão acetato (C), uma vez que os mesmos influenciam individualmente e sinergicamente (interação 1:2) na resposta unificada.

A quarta variável (frequência) pode ser desprezada dentro do domínio de 90 a 110 Hz, uma vez que o efeito calculado (1,034) pode ser negligenciado com 95% de confiança. Além disso, as interações da frequência com as outras 3 variáveis também obtiveram efeitos não significativos.

Contrapondo o resultado anterior, sabemos que a frequência é um parâmetro importante para a SWV, porém, essa afirmativa não pôde ser contemplada na etapa de triagem tendo em vista o pequeno intervalo de frequência utilizado na otimização dos experimentos. Assim, o valor de frequência usado foi de 100 Hz.

Desta forma, os parâmetros: concentração do tampão (C), incremento de potencial (I) e amplitude de pulso (A), foram significativos na etapa de triagem anterior. Por conseguinte, foram otimizados utilizando o planejamento CCD. A Tabela 5 mostra a matriz do planejamento com os 17 experimentos realizados.

 

 

Após a otimização, foi gerado um modelo que pode ser representado pela seguinte Equação 4:

na qual C é a concentração do tampão acetato, I é o incremento de potencial e A é a amplitude de pulso.

A validação do modelo gerado pela matriz de planejamento CCD foi realizada pela ANOVA, na Tabela 6.

 

 

A partir da ANOVA, verifica-se que o modelo gerado é estatisticamente significativo, visto que o F calculado da regressão (65,81) é maior que o F tabelado (4,06) a um nível de confiança de 95%, e 10 e 6 graus de liberdade. Além disso, podemos também avaliar que o modelo quadrático aplicado está significativamente ajustado, pois o F calculado do erro puro (0,80) é menor que o F tabelado (19,25) a um nível de confiança de 95%, e 4 e 2 graus de liberdade.23

Dada a aceitação do modelo obtido pela matriz de planejamento CCD, foram plotados três curvas de nível, conforme podemos visualizar na Figura 3.

 


Figura 3. Comportamento da resposta unificada dos metais Zn, Cd, Pb e Cu por SWASV em eletrólito suporte de tampão acetato pH 4,7. Superfície de resposta de (a) incremento com a amplitude de pulso, (b) concentração do tampão com a amplitude e (c) interação da concentração do tampão com o incremento

 

As superfícies de resposta geradas na otimização auxiliam ao ilustrar as melhores condições experimentais e o comportamento dos parâmetros sobre o sistema. Desta forma, a obtenção do ponto crítico (ponto de máximo, neste caso) dentro do domínio experimental confere ao método uma maior sensibilidade.

Por fim, os valores ótimos calculados pela Equação 4 e decodificados são de 0,206 mol L-1 para a concentração do tampão, 11,56 mV para o incremento de potencial e 130,78 mV para a amplitude de pulso.

O valor calculado para a amplitude é aceito matematicamente, porém, na prática, valores elevados de amplitude acarretam um deslocamento do potencial de pico e alargamento do mesmo. Esse deslocamento pode provocar mudanças significativas nas larguras de meia-altura fazendo com que o método perca seletividade. Logo, o ponto escolhido para amplitude foi estabelecido em 55 mV.

Determinação do limite de detecção (LD)

Os parâmetros otimizados para a obtenção do LD estão presentes na Tabela 1 a seguir.

O uso dos parâmetros da SWASV otimizados foi aplicado para soluções cujas concentrações variaram de 2 a 12 µg L-1. Desta forma, observou-se a menor concentração de analito capaz de gerar uma corrente de pico mensurável.

Os resultados obtidos para o LD dos analitos Zn, Cd, Pb e Cu foram, respectivamente, 7,2; 4,4; 3,3 e 1,5 µg L-1. Diante desses dados, pode-se observar que o Zn apresentou o maior valor (7,2 µg L-1) e o Cu o menor valor (1,5 µg L-1) para o LD.

Determinação de Zn, Cd, Pb e Cu livres em água de coco

Os valores otimizados dos parâmetros da SWASV descritos na Tabela 1 foram aplicados para uma determinação exploratória dos analitos nas amostras A e B sem qualquer tratamento prévio.

O teor de matéria orgânica oriundo da água de coco pode comprometer o desempenho do eletrodo de trabalho de DDB entre as varreduras, por ocorrer uma passivação do mesmo. Isso ocorre porque os compostos orgânicos eletroativos podem promover processos de oxirredução e adsorção, principalmente durante a etapa de stripping. Por esse motivo, o eletrodo DDB foi submetido a um tratamento eletroquímico para a limpeza e ativação objetivando a reprodução da superfície ativa do eletrodo e aumento da performance eletroquímica. Além disso, as varreduras por SWASV foram realizadas em triplicata.

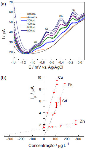
A aplicação da SWASV na amostra A (Fiugura 4a), obtida diretamente do fruto, proporcionou a leitura de Zn e Cu naturalmente disponíveis. Porém, não foram observadas correntes de pico para os analitos Cd e Pb. Apesar da ausência desses dois metais em concentração detectável, a determinação desses contaminantes é importante por apresentarem uma alta toxicidade, ainda que em quantidades ínfimas.29 A adição de quatro alíquotas da solução estoque intermediária proporcionou a construção das curvas de adição de analito de Zn, Cd, Pb e Cu (Figura 4b) de maneira simultânea. O ajuste matemático linear que descreve a tendência dos pontos possui um coeficiente de correlação ao quadrado (r2) de 0,974 para o Zn, para Cd, para Pb e 0,996 para o Cu. Esses valores de r2 próximos à unidade indicam uma relação forte positiva entre as variáveis X (concentração) e Y (corrente de pico média).

 


Figura 4. (a) Voltamogramas para a adição sucessiva de solução padrão intermediária, nas concentrações em µg L-1 de () 58, 29, 38, 24; () 115, 59, 75, 47; () 170, 87, 111, 70 e () 225, 115, 146, 92; dos metais Zn, Cd, Pb e Cu respectivamente, em uma amostra natural de água de coco (amostra A); (b) Curvas de adição de analito para os metais Zn, Cd, Pb e Cu na amostra A

 

As concentrações de Zn e Cu na amostra A foram < LD (29 µg L-1) e (6,8 ± 0,9) µg L-1 (dado a diluição de uma alíquota de 5,00 mL para 20,0 de volume final da célula), respectivamente. O valor de concentração de Zn está abaixo do LD obtido anteriormente. Logo, não há analito em concentração detectável pelo método proposto.

A literatura apresenta uma concentração próxima de 300 µg L-1 para o Zn e 150 µg L-1 para o Cu total na amostra de água de coco industrializada.3 A técnica de SWASV aplicada diretamente na amostra determina a concentração dos metais disponíveis, não contemplando, portanto, a concentração de espécies metálicas associadas a moléculas orgânicas.14 Para uma determinação da concentração total de Zn, Cd, e Pb, Cu em água de coco, faz-se necessária uma etapa de digestão para que esses fiquem eletroquimicamente disponíveis.

Para a determinação dos metais na amostra B, foi realizado um procedimento similar ao empregado na amostra A (Figura 5a).

 


Figura 5. (a) Voltamogramas para a adição sucessiva de solução padrão intermediária, nas concentrações em µg L-1 de () 72, 37, 47, 27; () 142, 73, 93, 59; () 211, 108, 137, 87 e () 278, 143, 181, 114; dos metais Zn, Cd, Pb e Cu respectivamente, em uma amostra industrializada de água de coco (amostra B); (b) Curvas de adição de analito para os metais Zn, Cd, Pb e Cu na amostra B

 

Os sinais de corrente de pico associados ao Cd e Pb não foram detectados novamente. A curva de adição de analito de Zn, Cd, Pb e Cu estão apresentadas na Figura 5b. Os valores do r2 para os analitos foram de 0,997 para o Zn, 0,997 para Cd, 0,993 para Pb e 0,999 para o Cu.

As concentrações de Zn e Cu na amostra B foram iguais a (85,8 ± 4,2) µg L-1 e (7,7 ± 0,6) µg L-1 (dado a diluição de uma alíquota de 5,00 mL para 20,0 de volume final da célula), respectivamente. O teor de Cu nas amostras A e B foram próximos. No entanto, o teor de Zn disponível na água de coco industrializada é maior, o que pode estar associado aos aditivos tais como conservantes ou agentes quelantes que formam de complexos estáveis dos analitos.

A concentração de Zn e Cu encontrados nas amostras são inferiores aos relatados na literatura para a técnica de ICP OES, a qual quantifica a concentração total na amostra água de coco industrializada, levando a uma conclusão de que parte dos analitos encontram-se ligados a compostos orgânicos não eletroativos para a SWASV.3

 

CONCLUSÃO

Os parâmetros da SWASV foram otimizados dentro do domínio experimental estipulado, com isso, uma metodologia para a determinação simultânea dos metais Zn, Cd, Pb e Cu em água de coco pôde ser proposta. Os valores do potencial e tempo de pré-concentração foram de -1,50 V e 240 s. Para a SWV, o valor definido para frequência foi de 100 Hz e os valores otimizados de incremento do potencial e amplitude de pulso foram 11,56 mV e 130,78 mV, respectivamente. A concentração do tampão foi otimizada em 0,206 mol L-1. Entretanto, não foi utilizado o valor otimizado para a amplitude de pulso por acarretar um deslocamento nos potenciais de picos, além de um alargamento dos mesmos. Sendo assim, tomou-se como ponto de trabalho o valor de amplitude de 55 mV, visto que ele apresentou um efeito positivo na etapa de triagem. Os limites de detecção dos analitos Zn, Cd, Pb e Cu foram, respectivamente, 7,2; 4,4; 3,3 e 1,5 µg L-1.

Na determinação proposta não foram detectadas as concentrações de Cd e Pb, embora o método analítico SWASV aplicado tenha sido otimizado. Desta forma, concentrações desses analitos nas amostras de água de coco foram menores que o LD (18 µg L-1 e 13 µg L-1, respectivamente).

A partir dos pontos otimizados foi possível quantificar zinco e cobre livres em amostra de água coco natural e industrializada. Os valores encontrados para as concentrações de Cu na amostra natural foi (6,8 ± 0,9) µg L-1. No entanto, não foi possível determinar a concentração de Zn sendo, portanto, menor que o LD. Por outro lado, a concentração de Zn e Cu na amostra industrializada foi de (85,6 ± 4,2) µg L-1 e (7,7 ± 0,6) µg L-1 respectivamente.

Embora a concentração de Zn e Cu por SWASV na amostra de água de coco industrializada, sem qualquer digestão prévia, seja parcial, ela serve como base para trabalhos futuros.

 

AGRADECIMENTOS

Os autores agradecem aos Laboratórios de Química Analítica (LQA) e Espectrometria Atômica (LEA) da Universidade Federal do Espírito Santo e à CAPES.

 

REFERÊNCIAS

1. Aragão, F. B.; Loiola, C. M.; Cambui, E. V. F.; Aragão, W. M.; Comunicado Técnico, Embrapa Tabuleiros Costeiros: Aracaju, 2005, 1.

2. Richter, E. M.; de Jesus, D. P.; Muñoz, R. A. A.; do Lago, C. L.; Angnes, L.; J. Braz. Chem. Soc. 2005, 16, 1134.

3. Sousa, R. A.; Silva, J. C.; Baccan, N.; Cadore, S.; J. Food Comp. Anal. 2005, 18, 399. DOI: http://dx.doi.org/10.1016/j.jfca.2004.02.012

4. Kwiatkowski, A.; Oliveira, D. M.; Clemente, E.; Rev. Bras Frutic. 2012, 34, 551. DOI: http://dx.doi.org/10.1590/S0100-29452012000200029

5. Martins, C. R.; de Jesus Jr., L. A.; Evolução da produção de coco no Brasil e o comércio internacional, EMBRAPA Tabuleiros Costeiros: Aracaju, 2011.

6. Wu, Y.; Hu, B.; J Chromatogr. 2009, 1216, 7657. DOI: http://dx.doi.org/10.1016/j.chroma.2009.09.008

7. Ge, L.; Yong, J. W. H.; Tan, S. N.; Yang, X. H.; Ong, E. S.; J. Chromatogr. 2004, 1048, 119. DOI: http://dx.doi.org/10.1016/S0021-9673(04)01186-0

8. Jeganathan, M.; Commun. Soil. Sci. Plan. 1992, 23, 2667. DOI: http://dx.doi.org/10.1080/00103629209368764

9. Santoso, U.; Kubo, K.; Ota, T.; Tadokoro, T.; Maekawa, A.; Food Chem. 1996, 57, 299. DOI: http://dx.doi.org/10.1016/0308-8146(95)00237-5

10. Aleixo, P.; Nóbrega, J.; Santos Jr., D.; Muller, R.; Quim. Nova 2000, 23, 310. DOI: http://dx.doi.org/10.1590/S0100-40422000000300005

11. de Souza, D.; Machado, S. A. S.; Avaca, L. A.; Quim. Nova 2003, 26, 81. DOI: http://dx.doi.org/10.1590/S0100-40422003000100015

12. Annibaldi, A.; Illuminati, S.; Truzzi, C.; Scarponi, G.; Mar. Pollut. Bull. 2011, 62, 2813. DOI: http://dx.doi.org/10.1016/j.marpolbul.2011.08.047 PMID: 21982428

13. Illuminati, S.; Annibaldi, A.; Truzzi, C.; Finale, C.; Scarponi, G.; Electrochim. Acta 2013, 104, 148. DOI: http://dx.doi.org/10.1016/j.electacta.2013.04.001

14. Munoz, R. A. A.; Kolbe, M.; Siloto, R. C.; Oliveira, P. V.; Angnes, L.; J. Braz. Chem. Soc. 2007, 18, 410. DOI: http://dx.doi.org/10.1590/S0103-50532007000200025

15. Codognoto, L.; Machado, S.; Avaca, L.; Diamond Relat. Mater. 2002, 11, 1670. DOI: http://dx.doi.org/10.1016/S0925-9635(02)00134-6

16. Suffredini, H. B.; Pedrosa, V. A.; Codognoto, Lú.; Machado, Sé. A.; Rocha-Filho, R. C.; Avaca, L. A.; Electrochim. Acta 2004, 49, 4021. DOI: http://dx.doi.org/10.1016/j.electacta.2004.01.082

17. Pedrosa, V. A.; Codognoto, L.; Machado, S. A.; Avaca, L. A.; J. Electroanal. Chem. 2004, 573, 11. DOI: http://dx.doi.org/10.1016/j.jelechem.2004.06.014

18. Franca, R. F.; de Oliveira, H. P. M.; Pedrosa, V. A.; Codognoto, L.; Diamond Relat. Mater. 2012, 27, 54. DOI: http://dx.doi.org/10.1016/j.diamond.2012.05.010

19. Pedrosa, V. A; Codognoto, L.; Avaca, L. A.; Quim. Nova 2003, 26, 844. DOI: http://dx.doi.org/10.1590/S0100-40422003000600012

20. Vanini, G.; Souza, M. O.; Carneiro, M. T.; Filgueiras, P. R.; Bruns, R. E.; Romão, W.; Microchem. J. 2015, 120, 58. DOI: http://dx.doi.org/10.1016/j.microc.2015.01.003

21. Barros Neto, B.; Scarminio, I. S.; Bruns, R. E.; Como fazer experimentos, 4ª ed., Editora Bookman: São Paulo, 2010.

22. Breitkreitz, M. C.; de Souza, A. M.; Poppi, R. J.; Quim. Nova 2014, 37, 564.

23. Teófilo, R. F.; Ferreira, M. M. C.; Quim. Nova 2006, 29, 338. DOI: http://dx.doi.org/10.1590/S0100-40422006000200026

24. Silva, J. A.; Damasceno, B.; Silva, F.; Madruga, M. S.; Santana, D.; Quim. Nova 2008, 31, 1073. DOI: http://dx.doi.org/10.1590/S0100-40422008000100029

25. Vicentini, F. C.; Figueiredo-Filho, L. C. S.; Janegitz, B. C.; Santiago, A.; Pereira-Filho, E. R.; Fatibello-Filho, O.; Quim. Nova 2011, 34, 825.

26. Portugal, L. A.; Ferreira, H. S.; dos Santos. W. N. L.; Ferreira, S. L. C; Microchem. J. 2007, 87, 77. DOI: http://dx.doi.org/10.1016/j.microc.2007.05.008

27. Mirčeski, V.; Lovrić, M.; J. Electroanal. Chem. 2001, 497, 114. DOI: http://dx.doi.org/10.1016/S0022-0728(00)00464-2

28. Nomngongo, P. N.; Ngila, J. C.; Fuel 2015, 139, 285. DOI: http://dx.doi.org/10.1016/j.fuel.2014.08.046

29. Sousa, F. W.; Oliveira, A. G.; Ribeiro, J. P.; Rosa, M. F.; Keukeleire, D.; Nascimento, R. F.; J. Environ. Manage. 2010, 91, 1634. DOI: http://dx.doi.org/10.1016/j.jenvman.2010.02.011 PMID: 20400223

On-line version ISSN 1678-7064 Printed version ISSN 0100-4042
Qu�mica Nova
Publica��es da Sociedade Brasileira de Qu�mica
Caixa Postal: 26037 05513-970 S�o Paulo - SP
Tel/Fax: +55.11.3032.2299/+55.11.3814.3602
Free access

GN1