JBCS



13:22, ter out 14

Acesso Aberto/TP



Artigo


Eletrodos de FTO modificados por eletrodeposição direta de ouro: produção, caracterização e aplicação como sensor eletroquímico
FTO modified electrodes by direct gold electrodeposition: production, characterization and electrochemical sensor aplication

Rogério de Oliveira*; Fabio Luiz Pissetti; Alzira M. S. Lucho

Instituto de Química, Universidade Federal de Alfenas, Rua Gabriel Monteiro da Silva, 700, Centro, 37130-000 Alfenas - MG, Brasil

Recebido em 02/07/2015
Aceito em 20/10/2015;
Publicado na web em 05/02/2016

Endereço para correspondência

*e-mail: emaildorogerio@gmail.com

RESUMO

Chemically modified electrodes have been studied to obtain new and better electrochemical sensors. Transparent conductive oxides, such as fluorine-doped tin-oxide (FTO), shows electrical conductivity comparable to metals and are potential candidates for new sensors. In this work, FTO was modified by gold electrodeposition from chlorine-auric acid solution using cyclic voltammetry (CV) technique. A set of different materials were produced, varying the scan number. Scanning electron microscopy and electrochemical impedance spectroscopy were performed for the characterization of electrodes surfaces. From this analysis was possible to observe the resistive, capacitive and difusional aspects from all kind of modified electrodes produced, establishing a relationship between this parameters and the scan number. The electrode with 100 scans of CV presented better characteristics for an electrochemical sensor; it has the lowest global impedance and rising of capacitive behavior (related to electrical double layer formation) at lower frequencies. This electrode was tested for paracetamol and caffeine detection. The results showed a high specificity, decreased oxidation potential (0.58 V and 0.97 V vs. SCE, for paracetamol and caffeine, respectively) and low detection limits (0.82 and 0.052 µmol L-1).

Palavras-chave: FTO; electrodeposition; electrochemical impedance spectroscopy.

INTRODUÇÃO

Eletrodos quimicamente modificados têm sido alvo de estudo na busca por novos sensores eletroquímicos com desempenho diferenciado.1-3 Em muitos casos, a modificação se dá através da deposição de filmes de materiais poliméricos sobre a superfície do eletrodo e, sobre estes, a fixação de agentes transportadores de carga, como íons ou metais.4-25

Os óxidos condutores transparentes, como o óxido de estanho dopado com flúor (FTO) têm sido empregados em aplicações como janelas inteligentes, células solares, diodos emissores de luz (LED), telas sensíveis ao toque (touch-screen), dentre outros. Isso é devido, principalmente, a coexistência da transparência à luz visível e à alta condutividade, com valores comparáveis aos dos metais.26-31 Entretanto, o uso desses óxidos, especialmente o FTO, como sensores eletroquímicos ainda é pouco estabelecido na literatura.9,16,32-37

Entre os analgésicos e antitérmicos de uso comum encontra-se o paracetamol, ou N-acetil-p-aminofenol. Esse medicamento tem sido utilizado no controle da febre, redução de dores de cabeça, dores musculares, entre outras dores, como alternativa para pacientes acometidos pelo vírus do dengue ou com sensibilidade à aspirina.12,38 É um dos medicamentos mais vendidos no mundo e seu uso terapêutico tem sido ampliado, tornando-se cada vez mais necessária sua determinação e quantificação em formulações farmacêuticas.39 Na literatura científica, diversas formas de determinação do paracetamol tem sido descritas, como os métodos eletroquímicos,15,20,21 cromatográficos,40-42 e espectrofométricos.43,44

A cafeína ou 1,3,7-trimetil-xantina é um alcalóide natural encontrado em diversos alimentos e bebidas, tais como chocolates, chás, café, refrigerantes e bebidas energéticas.45 Em humanos, age como estimulante psicoativo, atuando no sistema nervoso central (SNC) de forma a manter o estado de alerta. É considerada a substância psicoativa de maior consumo mundial, de forma que sua quantificação em alimentos e em medicamentos se faz de grande importância.14,46 Além de ser encontrada em alimentos, a cafeína é adicionada nas formulações de alguns analgésicos. A combinação de paracetamol e cafeína em medicamentos para tratamento de dores em geral é bastante comum, porém o consumo excessivo dessa associação pode causar vômitos, danos hepáticos, hipertensão, taquicardia, entre outros efeitos colaterais. Praticantes de esportes do tipo enduro de alto desempenho fazem uso da cafeína considerando que o estímulo causado ao SNC aumenta a disponibilidade de adrenalina e, consequentemente, aumenta o uso de lipídeos como fonte de energia, economizando glicogênio muscular. Segundo a "Agência Mundial Antidoping" (World Anti Dopping Agency), o limite máximo permitido de cafeína na urina de atletas é de 12 µg mL-1 (61,8 µmol L-1.47,48 Tendo em vista o exagerado uso de cafeína, seja em alimentos ou em medicamentos, e o grande uso do paracetamol, evidencia-se necessário o desenvolvimento de métodos rápidos, sensíveis e reprodutíveis para o controle das quantidades contidas nas formulações farmacêuticas e monitoramento em fluidos corporais.

Para esse fim, as técnicas eletroquímicas têm se mostrado vantajosas em alguns aspectos: alta sensibilidade (baixos limites de detecção), seletividade (possibilidade de se medir um analito de interesse mesmo na presença de interferentes), a não necessidade do preparo da amostra (pré-concentração, separação), rapidez e baixo custo. Dentre os trabalhos que utilizam voltametrias para determinação dessas espécies, os eletrodos mais comumente empregados são os de carbono vítreo e os de diamante dopado com boro. Em geral estes eletrodos passam por um procedimento que envolve o recobrimento da superfície ativa do eletrodo base com uma matriz polimérica e sobre esta são incorporadas espécies modificadoras (nanopartículas de ouro, de prata, complexos de metais de transição, nanotubos de carbono, dentre outras).5,11,13,17,22,36-38,49,50 Alguns casos de deposição direta de ouro sobre o FTO foram relatados,51-53 utilizando-se de técnicas como a cronoamperometria e voltametria cíclica; outros estudos mostram modificações de eletrodos de ITO (óxido de estanho dopado com índio) com nanopartículas de prata ou ouro eletroquimicamente depositadas,54-56 tendo estes estudos servidos de base para a modificação do FTO do presente estudo.

Neste trabalho, diferentes eletrodos quimicamente modificados foram produzidos por eletrodeposição direta de ouro sobre o FTO, não sendo necessária a adição da matriz polimérica. A caracterização foi feita por microscopia eletrônica de varredura e espectroscopia de impedância eletroquímica. A partir dessas análises caracterizou-se os comportamentos resistivos, capacitivos e difusionais dos eletrodos, associando-os ao número de ciclos de eletrodeposição.A determinação de paracetamol e de cafeína foi possível por via da técnica voltamétrica de pulso diferencial (VPD), obtendo resultados comparáveis aos descritos na literatura, além de ter sido possível detectá-los simultaneamente.

 

PARTE EXPERIMENTAL

Reagentes

Acetona (C3H6O, 58,08 g mol-1, >99,8%, Sigma-Aldrich); ácido cloro-áurico (HAuCl4.3H2O, 393,83 g mol-1, >99,0%, Sigma-Aldrich); ácido sulfúrico (H2SO4, 98,08 g mol-1, 1,84 g cm-3, 96%, Vetec); cafeína (C8H10N4O2, 194,19 g mol-1, >99,0%, Fluka Analytical); cloreto de potássio (KCl, 74,55 g mol-1, >99,0%, Sigma-Aldrich); etanol (C2H6O, 46,07 g mol-1, 0,79 g cm-3, >99,8%, Vetec); FTO (resistividade superficial ~7Ω/qd, Sigma-Aldrich); paracetamol (C8H9NO2, 151,17 g mol-1, >99,0%, Fluka Analytical).

Preparo dos eletrodos de trabalho

Procedimentos de limpeza dos eletrodos

A placa de vidro com FTO foi cortada em pequenos pedaços de tamanho aproximado de 1 cm x 1,5 cm (L x A). A limpeza consistiu de três lavagens em ultrassom, de 15 minutos cada, à temperatura de 45 ºC. A primeira foi em água e detergente, seguida de enxágüe com água destilada; na segunda lavagem usou-se etanol. Fez-se novo enxágue com água destilada e procedeu-se a terceira etapa, usando acetona. Ao fim, enxágue com água destilada e secagem em papel toalha. Após limpos e secos, os eletrodos tiveram sua superfície delimitada com base de esmalte sintético, de forma que a área exposta foi fixada em 1 cm2.

Preparo da solução de ácido cloro-áurico

A solução de ácido cloro-áurico utilizada para modificação dos eletrodos foi preparada pela adição de 0,0116 g de HAuCl4.3H2O a 20 mL de solução de KCl 0,1 mol L-1 a fim de se obter a proporção de 0,05% (m/V) de HAuCl4.

A solução de cloreto de potássio foi utilizada como eletrólito suporte, uma vez que a deposição de ouro sobre o eletrodo se deu em uma célula eletroquímica de três elementos - eletrodo de trabalho (FTO), eletrodo de referência (de calomelano saturado, ECS) e contra-eletrodo (fio de platina).

Modificação da superfície do FTO

A eletrodeposição de ouro sobre a superfície do FTO foi feita por meio da técnica de voltametria cíclica. Esta foi escolhida pelas características do varrimento de potencial, de forma que a superfície fica mais adequada para a deposiçãodo ouro e a nucleação de partículas se dá uniformemente.38,57,58 Foram utilizados os seguintes parâmetros: potenciais inicial e final de -0,05 V; potencial de vértice de -0,75 V; velocidade de varredura de 30 mV s-1. Foram preparados e estudados eletrodos com 1, 5, 10, 30, 50, 75, 100, 125 e 150 ciclos consecutivos de eletrodeposição de ouro.

Para a produção desses eletrodos e para os testes via voltametria de pulso diferencial, foi utilizado o potenciostato ECO CHEMIE BV Autolab PGStat 128N acessado através do software General Purpose Electrochemical System (GPES), versão 4.9.007. O mesmo equipamento foi utilizado nas medidas de impedância eletroquímica, porém com software Frequency Response Analyser (FRA), versão 4.9.007.

Microscopia eletrônica de varredura

As micrografias foram obtidas a partir do microscópio eletrônico de varredura Hitachi TM-3000, do Laboratório de Microscopia do Departamento de Engenharia de Materiais da Escola de Engenharia de Lorena da Universidade de São Paulo (DEMAR-EEL-USP). A tensão de aceleração utilizada foi de 20 kV. Por serem condutores de corrente elétrica, não foi necessária a deposição de ouro (pulverização catódica, sputtering) sobre as amostras. A fixação no porta-amostras foi feita com fita adesiva de carbono.

Espectroscopia de impedância eletroquímica

Para essas medidas utilizou-se, como eletrólito suporte, solução de H2SO4 0,2 mol L-1, a mesma que foi utilizada em todos os estudos analíticos; a faixa de freqüências utilizada foi de 100 kHz a 20 mHz, dividida em um total de 70 pontos. A amplitude do sinal de perturbação do potencial foi de 5 mV. Para as medidas feitas em potencial de circuito aberto (PCA), o tempo de espera para que o sistema atingisse o equilíbrio foi de 300 s. Para simulação do circuitos elétricos equivalentes foram utilizados os softwares Frequency Response Analyser (FRA), versão 4.9.007, e o ZView 2, versão 3.3e (Scribner Associates, Inc.); as iterações foram em número máximo de 100, no plano complexo.

Voltametria de pulso diferencial

Nas medidas de voltametria de pulso diferencial a faixa de potencial utilizada foi de 0,50 a 0,70 V no estudo isolado de paracetamol; de 0,85 a 1,05 V no estudo da cafeína e de 0,40 a 1,20 V quando se encontravam ambas as espécies em análise. Além dessas condições, utilizou-se: tempo de modulação de 0,4 s; intervalo de 0,9 s, passo de potencial de 0,01 V e 0,1 V de amplitude de modulação. Todos os parâmetros utilizados foram definidos com testes prévios e consulta à literatura especializada.6,25,32-38

As soluções estoques de cafeína e de paracetamol foram preparadas nos dias de sua utilização, a fim de se evitar possíveis oxidações químicas previamente ao uso eletroquímico. Foram feitas adições consecutivas de volumes pré-fixados das soluções de cafeína e/ou paracetamol, seguidas por agitação magnética (30 s) e, então, a aplicação da voltametria de pulso diferencial. Todas as medidas foram feitas em triplicata.

 

RESULTADOS E DISCUSSÃO

Voltametria cíclica

À medida que os eletrodos foram produzidos, evidenciou-se que o aumento da camada de ouro sobre o FTO provocara mudanças em suas características físico-químicas, tais como maiores intensidades de corrente de pico e diminuição do potencial de oxidação dos analitos estudados (paracetamol e cafeína). A fim de se determinar qual o número ideal de ciclos de eletrodeposição de ouro produziria o material com características desejadas para detecção dos analitos, ou seja, com a resistência total diminuída e a maior área superficial, para que um maior número das espécies de interesse atinja sua superfície e sofra os processos de oxi-redução, preparou-se uma solução de cafeína de concentração 1,5.10-3 mol L-1 e os eletrodos foram testados quanto à sua capacidade de detecção por voltametria cíclica. Foi feita a varredura entre os potenciais de 0,4 V e 1,2 V, com velocidade de 30 mV s-1, em eletrólito suporte H2SO4 0,2 mol L-1.Os voltamogramas obtidos são apresentados na Figura 1.

 


Figura 1. Voltamogramas cíclicos obtidos - a) na presença de 1,5 mmol L-1de cafeína e comparativos entre as condições com e sem o analito para os eletrodos b) FTO-1; c) FTO-50; d) FTO-100 e e) FTO-150

 

Analisando os resultados obidos foi verificada a formação do pico de oxidação da cafeína, quando comparado com os voltamogramas realizados unicamente em eletrólito suporte. A oxidação do ouro, nas condições dos experimentos realizados, ocorre em potencial de aproximadamente 1,2 V e a sua redução em torno de 0,95 a 1,00 V. A literatura relata que a oxidação da cafeína é irreversível frente a diversos eletrodos.12,19,24,46,59,60 Desta forma, os picos de redução em ~0,85 V podem ser respectivos a subproduto de oxidação da cafeína. A Tabela 1 relaciona os valores das correntes de pico de oxidação da cafeína encontrados para cada um dos eletrodos produzidos, assim como para os eletrodos de ouro e de FTO não modificado.

 

 

Nos casos dos eletrodos de FTO sem modificação e com apenas 1 ciclo de eletrodeposição de ouro não ocorreu a formação de pico de oxidação da cafeína, indicando que os eletrodos não apresentam características físico-químicas apropriadas para que a molécula de cafeína se adsorva na superfície e ocorra a transferência de elétron.

Apesar de não existir linearidade entre a densidade da corrente de pico e o número de ciclos voltamétricos, nota-se que a corrente aumenta com o aumento do número de ciclos de eletrodeposição de ouro, até 100 ciclos; desse ponto em diante a corrente diminui, sugerindo que a superfície eletrodepositada perde parte de sua capacidade eletroquímica por saturação dos sítios ativos ou por aumento do tamanho dos agregados de ouro, de forma que a área superficial também tenha sido reduzida. Essa afirmação foi corroborada com estudos posteriores das microscopias eletrônicas de varredura (MEV) e das espectroscopias de impedância eletroquímica (EIE).

Microscopia eletrônica de varredura

Através das microscopias eletrônicas de varredura foi possível associar a intensidade das correntes observadas com a morfologia da superfície de ouro eletrodepositado, mostradas na Figura 2.

 


Figura 2. Microscopias eletrônicas de varredura para os eletrodos de FTO - a) sem modificação e com b) 50 ciclos; c) 100 ciclos; d) 150 ciclos de eletrodeposição de ouro. Todas as imagens apresentam ampliação de 10000 vezes e tensão de aceleração de 20 kV

 

A Figura 2a evidencia a falta de sítios ativos de ouro no FTO não modificado, motivo pelo qual esse não apresentou atividade eletrocatalítica frente à oxidação da cafeína. Nota-se também, nesse mesmo eletrodo, falhas estruturais na deposição do óxido de estanho dopado com flúor, isto é, há regiões não recobertas pelo óxido condutor ou regiões onde esse recobrimento é escasso. Após as ciclagens de eletrodeposição podem ser observados agregados de ouro nos eletrodos FTO-50, FTO-100 e FTO-150 (Figura 2b-d). Foram estimados os tamanhos médios dos agregados de ouro através da equação de Scherrer61-63 utilizando os dados de difração de raios X, obtendo valores em ordem nanométrica (de 25 a 38 nm), como mostrado na Tabela 2.

 

 

Espera-se de aglomerados nanométricos uma elevada área superficial que confira ao material características catalíticas diferenciadas. Observando as imagens dos eletrodos com 50, 100 e 150 ciclos de eletrodeposição (Figura 2 b-d), nota-se uma grande regularidade na distribuição de partículas de ouro ao longo das superfícies dos eletrodos, que apresentam recobrimentos quase completos. Ainda é possível perceber que há um aparente aumento da área superficial e da rugosidade da superfície, favorecendo a adsorção do analito. O tamanho médio das partículas é muito próximo, o que indica que a cada novo ciclo a deposição do ouro ocorre preferencialmente sobre o FTO ainda estericamente livre. Deposições sobre o ouro já reduzido no FTO passam a ocorrer quando a superfície do FTO não está mais exposta.

Os eletrodos com números de ciclos de eletrodeposição maiores que 100 se mostraram instáveis fisicamente; a camada eletrodepositada por diversas vezes se desprendia da superfície do FTO.

Espectroscopia de impedância eletroquímica

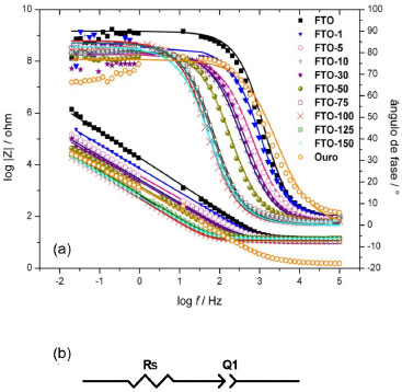
A fim de se conseguir maiores informações sobre os eletrodos em estudo, foram obtidos dados de espectroscopia de impedância eletroquímica. Essa técnica fornece um grande número de informações a respeito da superfície do eletrodo, assim como da interface eletrodo/solução. Ainda mais, possibilita a sugestão e simulação de um circuito elétrico equivalente, do qual podem ser feitas associações entre os elementos do circuito simulado e os da célula eletroquímica. Os diagramas de Bode obtidos experimentalmente e as curvas simuladas são apresentados na Figura 3.

 


Figura 3. a) Diagramas de Bode experimentais e simulados (linhas cheias) para todos os eletrodos em estudo e b) representação do circuito elétrico equivalente proposto

 

O estudo dos eletrodos via EIE foi em potencial de circuito aberto. O circuito elétrico simulado apresentado na Figura 3, propõe a existência de elementos comuns a esse tipo de célula eletroquímica: a resistência da solução (Rs), que é própria do eletrólito suporte, associada em série a um elemento de fase constante, (Q1), que representa a formação da dupla camada elétrica na interface eletrodo-solução. A proposição desse circuito foi feita de forma que pudesse representar todos os eletrodos em estudo, desde o FTO sem modificação até o eletrodo de ouro não nanoestruturado. Os valores obtidos para cada um dos elementos do circuito simulado, assim como os valores de potencial de circuito aberto (OCP) são apresentados na Tabela 3.

 

 

Na Figura 3 foi atribuído um comportamento de maior característica capacitiva que difusional aos eletrodos, uma vez que os ângulos de fase tendem a valores superiores a 75º. Isso demonstra a formação da dupla camada elétrica na interface eletrodo-solução, em que a superfície do eletrodo carregada atua como uma das placas de um capacitor e a camada organizada de contra-íons da solução, a outra. Pelas curvas dos módulos da impedância foi observado que em todos os eletrodos a resistência da solução tende a valores muito próximos entre si, tendo sido encontrado o valor médio de (13 ± 1) Ω. Esse fato mostra que as soluções de eletrólito suporte apresentavam as mesmas concentrações de íons e que as montagens da célula eletroquímica foram sempre feitas da mesma forma, mantendo-se constante a distância entre os eletrodos de trabalho e de referência; contudo, essa observação não é válida para o eletrodo de ouro, pois o seu formato geométrico não permitiu uma montagem da célula eletroquímica cujas distâncias entre eletrodos fossem as mesmas que nos estudos com FTO.

Na Tabela 3 é possível observar que os erros obtidos nas simulações são relativamente baixos; nota-se também que a capacitância de Q1 aumenta com o aumento do número de camadas de ouro eletrodepositadas sobre o eletrodo, desde FTO-1 a FTO-100; eletrodos com mais de 100 ciclos apresentaram queda nos valores de Q1. Esses dados se correlacionam diretamente com a capacidade de detecção descrita na Figura 1, em que o eletrodo FTO-100 se mostrou o mais eficaz. O maior valor de capacitância desse eletrodo pode estar relacionado à menor distância entre as duas camadas elétricas (a superfície carregada do eletrodo e o plano de íons da solução), facilitando assim a ocorrência dos processos redox em sua superfície.

A partir da Figura 3 a impedância global de cada um dos eletrodos foi obtida. Os cálculos foram feitos por meio da regressão linear da região de inclinação negativa de cada curva e o valor de log|Z| obtido na interseção da reta simulada com a reta log(f) = 0 (ou x = 0). Os valores encontrados são apresentados na Tabela 4.

 

 

A impedância global diminui do eletrodo de FTO ao FTO-100. Esse valor volta a aumentar para os eletrodos de 125 e 150 ciclos, indicando que, entre os eletrodos produzidos, o de 100 ciclos apresenta características eletroquímicas mais adequadas para o objetivo deste trabalho.

Em termos de comportamento capacitivo global, o eletrodo FTO-100 atinge o ângulo de fase de 45º (em que predomina o comportamento difusional) em freqüências mais baixas, com constantes de tempo mais próximas daquelas dos processos difusionais. Isso é um indício de que esse eletrodo permita maior aproximação das espécies difundidas no interior da solução, contribuindo com a formação da dupla camada elétrica. A escala de tempo necessária para que a corrente medida esteja com defasagem de 45º em relação ao potencial aplicado aumenta do eletrodo FTO-1 (860 Hz) ao eletrodo FTO-100 (48 Hz). Em outras palavras, a barreira da dupla camada elétrica é formada em escalas de tempo mais curtas nos eletrodos com baixos números de camadas de ouro.

Qualitativamente é possível associar que a impedância global dos eletrodos de FTO modificados diminui com o aumento da camada de ouro eletrodepositada, até o limite de 100 ciclos de eletrodeposição. Como foi observada a diminuição da impedância, infere-se que houve aumento da rugosidade da superfície e, por conseguinte, aumento da sua capacidade de adsorção de espécies eletroativas.

Utilização do FTO como sensor eletroquímico

Considerando os resultados prévios obtidos (MEV, EIE) foi escolhido o eletrodo com 100 ciclos de eletrodeposição para se determinar a capacidade de promover a oxidação do paracetamol e da cafeína. Para esses testes foi escolhida a voltametria de pulso diferencial. Através desta técnica são aplicados pulsos de amplitude fixa e um degrau crescente de potenciais. A medição da corrente é obtida imediatamente antes da aplicação e ao final do pulso; por fim, essas duas correntes são subtraídas, de forma que o resultado apresentado leva em consideração, majoritariamente, as correntes faradaicas geradas ao longo do processo.

Inicialmente foi feita a determinação de paracetamol e de cafeína independentemente; os potenciais de pico de oxidação determinados foram, respectivamente, 0,58 V e 0,97 V (vs ECS). Os voltamogramas obtidos para as várias concentrações de cada um dos analitos assim como as curvas analíticas representativas da correlação entre corrente de pico e concentração da espécie estão representados na Figura 4.

 


Figura 4. Voltamogramas de pulso diferencial para a) paracetamol e c) cafeína, em diferentes concentrações, sobre o eletrodo FTO-100. Curvas analíticas para determinação da relação entre a corrente de pico e a concentração de b) paracetamol e d) cafeína

 

Considerando a capacidade do eletrodo FTO-100 em detectar tanto a cafeína quanto o paracetamol separadamente, este foi submetido a detecção simultânea de ambos os analitos. Foram feitas medidas de voltametria de pulso diferencial em três condições diferentes: uma em que se variam conjuntamente as concentrações dos dois analitos, outra em que a concentração de cafeína é mantida constante e se varia a do paracetamol e uma terceira condição, em que a concentração do paracetamol é mantida constante e se varia a cafeína.

No caso em que foram feitas determinações simultâneas de paracetamol e cafeína, ambos foram adicionados e suas concentrações foram mantidas iguais entre si. Os voltamogramas e as curvas analíticas obtidos estão apresentados na Figura 5.

 


Figura 5. a) Voltamogramas de pulso diferencial para adições conjuntas de paracetamol e cafeína. Curvas analíticas para determinação da relação entre a corrente de pico e a concentração de b) paracetamol e c) cafeína

 

Com a finalidade de se comparar o efeito do ouro nanoparticulado sobre o FTO (eletrodo FTO-100) com eletrodo de ouro não nanoestruturado, foram feitos voltamogramas de pulso diferencial nas mesmas condições, utilizando-se um eletrodo de ouro comercial. Os resultados, assim como as curvas analíticas são apresentados na Figura 6.

 


Figura 6. a) Voltamogramas de pulso diferencial para adições conjuntas de paracetamol e cafeína utilizando eletrodo de ouro. Curvas analíticas para determinação da relação entre a corrente de pico e a concentração de b) paracetamol e c) cafeína

 

Observa-se na Figura 6 que o eletrodo de ouro não é eficiente na determinação da cafeína; não há uma relação linear entre a densidade de corrente e a concentração desse analito. Esses experimentos mostraram que os eletrodos nanoparticulados preparados apresentam melhores características eletroquímicas para a detecção da cafeína.

Como alguns medicamentos à base de paracetamol apresentam cafeína em sua constituição, foram feitos testes de determinação de cada uma das espécies na presença da outra, em concentrações iniciais elevadas. Considerando a cafeína como um possível interferente, foi feita a determinação da concentração de paracetamol na presença de uma concentração inicial de cafeína 20 vezes maior. Também foram feitas medidas de VPD no caso em que o paracetamol é o interferente na determinação da concentração de cafeína. A concentração inicial de paracetamol utilizada foi de 2000 vezes maior que a da cafeína. Os voltamogramas para ambos os casos, assim como as respectivas curvas analíticas obtidas são apresentados na Figura 7.

 


Figura 7. Voltamogramas de pulso diferencial com variação da concentração de a) paracetamol na presença de 500 µmol L-1de cafeína e c) de cafeína na presença de 100 mmol L-1de paracetamol. Curvas analíticas para determinação da relação entre a corrente de pico e a concentração de b) paracetamol e d) cafeína

 

A partir das curvas analíticas foram obtidas, para todos os casos em estudo, as equações das retas e os valores dos limites de detecção e quantificação. Esses resultados são apresentados na Tabela 5.

 

 

Nota-se que os limites de detecção (LD) de paracetamol e cafeína simultaneamente são cerca de 4 vezes superiores para o eletrodo de ouro quando comparados aos valores encontrados para o FTO-100. Uma comparação com outros eletrodos encontrados na literatura para detecção dos analitos estudados é mostrada na Tabela 6. Além de ter se mostrado mais eficiente que o eletrodo de ouro não nanoestruturado, o eletrodo produzido nesse trabalho apresenta como vantagens a não necessidade de tratamentos prévios à eletrodeposição, dispensa incorporação de matrizes poliméricas, potenciais de oxidação do paracetamol (0,58 V vs. ECS) abaixo da maioria dos trabalhos consultados, e no caso da cafeína, o menor potencial descrito (0,97 V vs. ECS). Os limites de detecção são também comparáveis (de mesma ordem de grandeza) àqueles obtidos em trabalhos de outros pesquisadores.

 

 

CONCLUSÃO

Utilizando a técnica eletroquímica de voltametria cíclica foram modificados eletrodos de FTO por eletrodeposição direta de ouro. O número de ciclos de eletrodeposição está relacionado com as características eletroquímicas da superfície. O aumento do número de camadas de ouro aumenta a sensibilidade do eletrodo frente à oxidação da cafeína até um limite, a partir do qual ocorre saturação da superfície; esse limite foi determinado como sendo 100 ciclos de eletrodeposição.

Quando o número de ciclos de eletrodeposição é baixo, p. ex., 1 ou 5, o recobrimento feito pelo ouro deixa grande parte do FTO ainda exposta, de forma que sua atividade eletroquímica não é relevante. Aumentando para 10, 30 ou 50 ciclos, aumenta-se a densidade de ouro, até o ponto em que novas eletrodeposições passem a ocorrer sobre átomos de ouro já eletrodepositados. Considerando os resultados analíticos e a diminuição da impedância, infere-se que houve aumento da área superficial ativa e da sua rugosidade. Ao chegar aos 100 ciclos, a densidade de recobrimento atinge um limite a partir do qual a atividade eletroquímica do eletrodo passa a diminuir. Essa interpretação foi comprovada através das microscopias eletrônicas de varredura e das espectroscopias de impedância eletroquímica.

A capacidade de detecção de paracetamol e de cafeína, tanto individualmente quanto em conjunto e, ainda, tendo uma dessas espécies como interferente na determinação da outra, foi demonstrada. Os valores dos limites de detecção e de quantificação obtidos são comparáveis aos descritos na literatura, com ordem de grandeza entre concentrações nano e micromolares.

O eletrodo FTO-100 foi produzido de forma menos complexa que a maioria das modificações de eletrodos com partículas metálicas encontrados na literatura, em que são utilizados filmes ou matrizes poliméricas para a posterior agregação das partículas metálicas, mostrando sua possibilidade de utilização como sensor eletroquímico.

 

AGRADECIMENTOS

Ao Laboratório de Microscopia do DEMAR/EEL/USP - Lorena/SP pelas imagens de MEV; à CAPES pelo apoio financeiro ao projeto e ao IFMG campus Ouro Preto, na figura do diretor A. Versiani, pela concessão do afastamento para realização dos estudos.

 

REFERÊNCIAS

1. Lowinsohn, D.; Bertotti, M.; Quim. Nova 2006, 29, 1318. DOI: http://dx.doi.org/10.1590/S0100-40422006000600029

2. Murray, R. W.; Acc. Chem. Res. 1980, 13, 135. DOI: http://dx.doi.org/10.1021/ar50149a002

3. Nascimento, V. B.; Angnes, L.; Quim. Nova 1998, 21, 614.

4. Apodaca, D. C.; Pernites, R. B.; Ponnapati, R.; Del Mundo, F. R.; Advincula, R. C.; Macromolecules 2011, 44, 6669. DOI: http://dx.doi.org/10.1021/ma2010525

5. Bahramipur, H.; Jalali, F.; Afr. J. Pharm. Pharmacol. 2012, 6, 1298.

6. Chatchai, P.; Kishioka, S.; Murakami, Y.; Nosaka, A. Y.; Nosaka, Y.; Electrochim. Acta 2010, 55, 592. DOI: http://dx.doi.org/10.1016/j.electacta.2009.09.032

7. De Morais, A.; Pissetti, F. L.; Lucho, A. M. S.; Gushikem, Y.; J. Solid State Electrochem. 2010, 14, 1383. DOI: http://dx.doi.org/10.1007/s10008-009-0965-4

8. El-Maali, N. A.; Bioelectrochemistry 2004, 64, 99. DOI: http://dx.doi.org/10.1016/j.bioelechem.2004.03.003

9. Hillebrandt, H.; Wiegand, G.; Tanaka, M.; Sackmann, E.; Langmuir 1999, 15, 8451.

10. Jeevagan, A. J.; John, S. A.; Electrochim. Acta 2012, 77, 137. DOI: http://dx.doi.org/10.1016/j.electacta.2012.05.090

11. Lin, Y. J.; Liu, B. Y.; Chin, Y.; Thin Solid Films 2009, 517, 5508. DOI: http://dx.doi.org/10.1016/j.tsf.2009.04.023

12. Lourenção, B. C.; Medeiros, R. A.; Rocha-Filho, R. C.; Mazo, L. H.; Fatibello-Filho, O.; Talanta 2009, 78, 748. DOI: http://dx.doi.org/10.1016/j.talanta.2008.12.040 PMID: 19269423

13. Luong, N. D.; Lee, Y.; Nam, J. D.; Eur. Polym. J. 2008, 44, 3116. DOI: http://dx.doi.org/10.1016/j.eurpolymj.2008.07.048

14. Martinez-Huitle, C. A.; Fernandes, N. S.; Ferro, S.; Battisti, A.; Quirozi, M. A.; Diamond Relat. Mater. 2010, 19, 1188. DOI: http://dx.doi.org/10.1016/j.diamond.2010.05.004

15. Prabakar, S. J. R.; Narayana, S. S.; Talanta 2007, 72, 1818. DOI: http://dx.doi.org/10.1016/j.talanta.2007.02.015 PMID: 19071838

16. Quintana, C.; Atienzar, P.; Budroni, G.; Mora, L.; Hernández, L.; Garcia, H.; Corma, A.; Thin Solid Films 2010, 519, 487. DOI: http://dx.doi.org/10.1016/j.tsf.2010.07.126

17. Sanghavi, B. J.; Srivastava, A. K.; Electrochim. Acta 2010, 55, 8638. DOI: http://dx.doi.org/10.1016/j.electacta.2010.07.093

18. Sousa, M.; Brás, A. R.; Veiga, H. I.; Ferreira, F. C.; de Pinho, M. N.; Correia, N. T.; Dionísio, M.; J. Phys. Chem. B 2010, 114, 10939. DOI: http://dx.doi.org/10.1021/jp101665h PMID: 20690651

19. Torres, A. C.; Barsan, M. M.; Brett, C. M.; Food Chem. 2014, 149, 215. DOI: http://dx.doi.org/10.1016/j.foodchem.2013.10.099 PMID: 24295698

20. Umasankar, Y.; Unnikrishnan, B.; Chen, S. M.; Ting, T. W.; Int. J. Electrochem Sci. 2012, 7, 484.

21. Wang, C.; Li, C.; Wang, F.; Wang, C.; Microchim. Acta 2006, 155, 365. DOI: http://dx.doi.org/10.1007/s00604-006-0616-8

22. Xiao, S.; Wu, S.; Shen, M.; Guo, R.; Huang, Q.; Wang, S.; Shi, X.; Appl. Mater. Interfaces 2009, 1, 2848. DOI: http://dx.doi.org/10.1021/am900590j

23. Zhang, J.; Wang, L. P.; Guo, W.; Peng, X. D.; Li, M.; Yuan, Z. B.; Int. J. Electrochem. Sci. 2011, 6, 997. DOI: http://dx.doi.org/10.1149/1.3606570

24. Zhao, F.; Wang, F.; Zhao, W.; Zhou, J.; Liu, Y.; Zou, L.; Ye, B.; Microchim. Acta 2011, 174, 383. DOI: http://dx.doi.org/10.1007/s00604-011-0607-2

25. Zi, L.; Li, J.; Mao, Y.; Yang, R.; Qu, L.; Electrochim. Acta 2012, 78, 434. DOI: http://dx.doi.org/10.1016/j.electacta.2012.06.018

26. Arca, E.; Fleischer, K.; Shvets, I. V.; Thin Solid Films 2012, 520, 1856. DOI: http://dx.doi.org/10.1016/j.tsf.2011.09.016

27. Ikhmayiesl, S. J.; Ahmad-Bitar, R. N.; J. Cent. South Univ. 2012, 19, 791. DOI: http://dx.doi.org/10.1007/s11771-012-1073-7

28. Miranda, M. P.; Del Rio, R.; Del Valle, M. A.; Faundez, M.; Armijo, F.; J. Electroanal. Chem. 2012, 668, 1. DOI: http://dx.doi.org/10.1016/j.jelechem.2011.12.022

29. Morris, G. C.; Mc Elnea, A. E.; Appl. Surf. Sci. 1996, 92, 167. DOI: http://dx.doi.org/10.1016/0169-4332(95)00224-3

30. Muruganantham, G.; Ravichandran, K.; Saravanakumar, K.; Ravichandran, A. T.; Sakthivel, B.; Superlattices Microstruct. 2011, 50, 722. DOI: http://dx.doi.org/10.1016/j.spmi.2011.09.014

31. Purwanto, A.; Widiyandari, H.; Ogi, T.; Okuyama, K.; Thin Solid Films 2012, 520, 2092. DOI: http://dx.doi.org/10.1016/j.tsf.2011.08.041

32. Busbee, B. D.; Obare, S. O.; Murphy, C. J.; Adv. Mater. 2003, 15, 414. DOI: http://dx.doi.org/10.1002/adma.200390095

33. Praig, V. G.; Piret, G.; Manesse, M.; Castel, X.; Boukherroub, R.; Szunerits, S.; Electrochim. Acta 2008, 53, 7838. DOI: http://dx.doi.org/10.1016/j.electacta.2008.05.069

34. Zhang, J.; Kambayashi, M.; Oyama, M.; Electrochem. Commun. 2004, 6, 683. DOI: http://dx.doi.org/10.1016/j.elecom.2003.10.007

35. Sadale, S. B.; Patil, P. S.; Solid State Ionics 2004, 167, 273. DOI: http://dx.doi.org/10.1016/j.ssi.2004.01.017

36. Wang, G.; He, X.; Zhou, F.; Li, Z.; Fang, B.; Zhang, X.; Wang, L.; Food Chem. 2012, 135, 446. DOI: http://dx.doi.org/10.1016/j.foodchem.2012.04.139 PMID: 22868112

37. Wang, Y.; Deng, J.; Di, J.; Tu, Y.; Electrochem. Commun. 2009, 11, 1034. DOI: http://dx.doi.org/10.1016/j.elecom.2008.10.041

38. Goyal, R. N.; Gupta, V. K.; Oyama, M.; Bachheti, N.; Electrochem. Commun. 2005, 7, 803. DOI: http://dx.doi.org/10.1016/j.elecom.2005.05.005

39. Bosch, M. E.; Sánchez, A. J. R.; Rojas, F. S.; Ojeda, C. B.; J. Pharm. Biomed. Anal. 2006, 42, 291. DOI: http://dx.doi.org/10.1016/j.jpba.2006.04.007

40. Yin, O. Q. P.; Lam, S. S.; Chow, M. S.; Rapid Commun. Mass Spectrom. 2005, 19, 767. DOI: http://dx.doi.org/10.1002/rcm.1850 PMID: 15714600

41. Monser, L.; Darghouth, F.; J. Pharm. Biomed. Anal. 2002, 27, 851. DOI: http://dx.doi.org/10.1016/S0731-7085(01)00515-5 PMID: 11836048

42. Korany, M. A.; Fahmy, O. T.; Mahgoub, H.; Maher, H. M.; J. Adv. Res. 2011, 2, 121. DOI: http://dx.doi.org/10.1016/j.jare.2010.09.005

43. Filik, H.; Şener, I.; Cekiç, S. D.; Kiliç, E.; Apak, R.; Chem. Pharm. Bull. 2006, 54, 891. DOI: http://dx.doi.org/10.1248/cpb.54.891 PMID: 16755066

44. Sirajuddin; Khaskheli, A. R.; Shah, A.; Bhanger, M. I.; Niaz, A.; Mahesar, S. A.; Spectrochim. Acta Part A 2007, 68, 747. DOI: http://dx.doi.org/10.1016/j.saa.2006.12.055

45. Svorc, L.; Tomčík, P.; Svítková, J.; Rievaj, M.; Bustin, D.; Food Chem. 2012, 135, 1198. DOI: http://dx.doi.org/10.1016/j.foodchem.2012.05.052 PMID: 22953843

46. Goyal, R. N.; Bishnoi, S.; Agrawal, B.; J. Electroanal. Chem. 2011, 655, 97. DOI: http://dx.doi.org/10.1016/j.jelechem.2011.03.008

47. Thuyne, W. V.; Delbeke, F. T.; Int. J. Sports Med. 2006, 27, 745. DOI: http://dx.doi.org/10.1055/s-2005-872921 PMID: 16586337

48. Del Coso, J.; Munoz, G.; Murloz-Guerra, J.; Cela, C.; Appl. Physiol., Nutr., Metab. 2011, 36, 555. DOI: http://dx.doi.org/10.1139/h11-052

49. Lima, A. B.; Torres, L. M. F.; Guimarães, C. F. R. C.; Verly, R. M.; da Silva, L. M.; Carvalho Júnior, A. D.; Santos, W. T. P.; J. Braz. Chem. Soc. 2014, 25, 478.

50. Baranowska, I.; Markowski, P.; Gerle, A.; Baranowski, J.; Bioelectrochemistry 2008, 73, 5. DOI: http://dx.doi.org/10.1016/j.bioelechem.2008.04.022 PMID: 18515190

51. Sheridan, E.; Hjelm, J.; Forster, R. J.; J. Electroanal. Chem. 2007, 608, 1. DOI: http://dx.doi.org/10.1016/j.jelechem.2006.11.015

52. Rahman, M. M.; Li, X.-B.; Lopa, N. S.; Lee, J. J.; Bull. Korean Chem. Soc. 2014, 35, 2072. DOI: http://dx.doi.org/10.5012/bkcs.2014.35.7.2072

53. Ma, Y.; Di, J.; Yan, X.; Zhao, M.; Lu, Z.; Tu, Y.; Biosensors and Bioelectronics 2009, 24, 1480. DOI: http://dx.doi.org/10.1016/j.bios.2009.03.007

54. Sakai, N.; Fujiwara, Y.; Arai, M.; Yu, K.; Tatsuma, T.; J. Electroanal. Chem. 2009, 628, 7. DOI: http://dx.doi.org/10.1016/j.jelechem.2008.12.008

55. Wang, L.; Mao, W.; Ni, D.; Di, J.; Wu, Y.; Tu, Y.; Electrochem. Commun. 2008, 10, 673. DOI: http://dx.doi.org/10.1016/j.elecom.2007.10.017

56. Sandmann, G.; Dietz, H.; Plieth, W.; J. Electroanal. Chem. 2000, 491, 78. DOI: http://dx.doi.org/10.1016/S0022-0728(00)00301-6

57. Yang, Y.; Li, Y.; Liu, H.; Wang, X.; Du, X.; J. Chromatogr. A. 2014, 1372, 25. DOI: http://dx.doi.org/10.1016/j.chroma.2014.10.095

58. Zhang, J.; Li, D.; Zhu, Y.; Chen, M.; An, M.; Yang, P.; Wang, P.; Electrochim. Acta 2015, 151, 415. DOI: http://dx.doi.org/10.1016/j.electacta.2014.11.047

59. Habibi, B.; Jahanbakhshi, M.; Abazari, M.; J. Iran. Chem. Soc. 2014, 11, 511. DOI: http://dx.doi.org/10.1007/s13738-013-0324-3

60. Rameshkumar, P.; Ramaraj, R.; J. Electroanal. Chem. 2015, 741, 64. DOI: http://dx.doi.org/10.1016/j.jelechem.2015.01.013

61. Gonçalves, M.; Castro, C. S.; Oliveira, L. C. A.; Guerreiro, M. C.; Quim. Nova 2009, 32, 1723. DOI: http://dx.doi.org/10.1590/S0100-40422009000700008

62. Fernandes, M. T. C.; Kawachi, E. Y.; Quim. Nova 2010, 33, 1242. DOI: http://dx.doi.org/10.1590/S0100-40422010000600004

63. Lazaro, S.; Penteado, R. F.; Tebcherani, S. M.; Berger, D.; Varela, J. A.; Kubaski, E. T.; Quim. Nova 2012, 35, 920. DOI: http://dx.doi.org/10.1590/S0100-40422012000500011

On-line version ISSN 1678-7064 Printed version ISSN 0100-4042
Qu�mica Nova
Publica��es da Sociedade Brasileira de Qu�mica
Caixa Postal: 26037 05513-970 S�o Paulo - SP
Tel/Fax: +55.11.3032.2299/+55.11.3814.3602
Free access

GN1