JBCS



11:52, sáb nov 15

Acesso Aberto/TP



Educação


Avaliação de competências desenvolvidas na disciplina de química medicinal da pós-gradução strictu sensu: uma experiência de sala de aula
Evaluation of competences developed in medicinal chemistry discipline of strictu sensu post-graduation: a classroom experience

Davidson Passos Mendes; Carla Junia Santos; César Augusto Ribeiro; Fabiana Costa Guedes; Wanderlin Fernandes Duarte; Daniel Crístian Ferreira Soares*

Universidade Federal de Itajubá, Campus Itabira, Rua Irmã Ivone Drumond, 200 - Distrito Industrial II, 35903-087 Itabira - MG, Brasil

Recebido em 30/01/2017
Aceito em 03/05/2017
Publicado na web em 19/07/2017

Endereço para correspondência

*e-mail: soares@unifei.edu.br

RESUMO

The knowledge transmission in scientific education demands the formulation of methods capable to insert between student and the study object a nearness, making the student apt to build, from autodidactic posture, solutions that only the professional formation can produce. In this sense, a teaching should develop an effective pedagogy, focusing on knowledge production and its preservation, helping the scientific progress. Guided by these concepts, the educational process can be considered complex and should focus on the quality of the transmitted knowledge, through strategies that ensure the maximum information accessibility. In strictu sensu post-graduation context, some particularities related to the knowledge building and not so only the concepts memorization should have more attention, due to the scientific and teacher training goals. The medicinal chemistry area exhibits the necessity to have a great interlocution with other chemistry disciplines, such as organic chemistry, analytical chemistry and as well as disciplines related to human health. In this sense, the evaluation of learning process becomes, currently, a great challenge for professors that seek to develop the interdisciplinary sense. Considering this reality, in this study, the authors present a classroom experience, where specific competences developed in students of medicinal chemistry discipline was a target of evaluation based on creation of review text. From the results obtained was possible to rethink strategies that can contribute to foster new forms to evaluate the learning process based on competences development.

Palavras-chave: evaluation of developed competences; medicinal chemistry education; strictu-sensu classroom experience.

INTRODUÇÃO

A Universidade, enquanto instituição formadora, ocupa papel central na habilitação de alunos para o exercício das atividades profissionais e científicas.1,2 Na prática docente, um dos desafios que se coloca nessa interface professor-aluno é encontrar os meios de trazer e aproximar o educando do objeto de estudo, estimulando nele o desenvolvimento da relação sujeito-objeto, pressuposto necessário no processo cognitivo de geração do conhecimento.1,3,4 Embora não seja recente a preocupação em torno da quantidade e da qualidade da formação científica no contexto brasileiro, é inquestionável que, na contemporaneidade, em função do próprio progresso científico, demandas têm se apresentado para a criação/aprimoramento/aplicação de metodologias de ensino mais eficazes.1,2

O processo educativo parte de um método, um guia ou um eixo, que objetiva o desenvolvimento mais adequado da formação, alicerçado pelo posicionamento epistemológico e político do educador, impregnado das suas influências sociais e culturais. Segundo Ocaña,3 a pedagogia é uma ciência cujas fronteiras mostram a dinâmica da sociedade e do pensamento humano e o modelo pedagógico, por consequência, é um plano teórico e prático de estratégias educativas para o desenvolvimento do processo de formação dos alunos. Cinco perguntas são essenciais para a configuração e identificação de um modelo pedagógico: para que ensinar? o que ensinar? como ensinar? quando ensinar? o que, como e quando avaliar? Essas questões são necessárias para se fazer revelar as intenções, os propósitos formativos e traz à tona as temáticas contidas no currículo, a sequência dos temas, as competências construídas no passo a passo, na hierarquia de construção e organização cognitiva dos conteúdos.5 A última questão fecha um ciclo, tendo como a avaliação importante função de retroalimentação do processo e propedêutica acerca dos propósitos e objetivos traçados na primeira pergunta.1,3,4

No contexto do ensino em nível de pós-graduação Stricto-sensu, algumas particularidades referentes à construção do conhecimento e não somente a simples memorização de conceitos devem ter ainda mais atenção, dado os objetivos de formação científica e docente. Na área da química medicinal, a necessidade de interlocução com outras áreas da química, como a química orgânica e química analítica e bem como com outras disciplinas nas áreas da saúde, faz com que o ensino desta disciplina exija do docente um grande envolvimento com a construção do conhecimento em detrimento a simples tarefa de memorização de mecanismos reacionais ou farmacológicos. Neste contexto, a avaliação se torna um desafio e o professor, em muitos momentos, opta por aplicar testes tradicionais, em que o conteúdo memorizado tem papel central, deixando-se em segundo plano a avaliação do conjunto de competências desenvolvidas pelos alunos na disciplina. Diante dessa realidade e na necessidade de se desenvolver atividades avaliativas que possam aferir de forma mais efetiva o conjunto de competências desenvolvidas, o presente trabalho relata uma experiência de sala de aula na qual uma nova forma de avaliação da aprendizagem de alunos da disciplina de química medicinal do curso de pós-graduação Strictu-sensu em Química da Rede Mineira de Química foi conduzida.

 

MATERIAL E MÉTODOS

A ferramenta escolhida para avaliar as competências desenvolvidas durante o curso foi a produção de um texto conciso de revisão em que as seguintes regras foram definidas:

1 - O texto deverá iniciar com a escrita de uma rápida introdução (cerca de uma página) descrevendo o problema a ser resolvido, procurando relatar os fármacos e medicamentos em uso atual, conforme o assunto a ser definido.

2 - Discorrer a revisão de forma a relatar os problemas que serão resolvidos pelos fármacos novos em detrimento aos mais antigos.

3 - Abordar a relação estrutura-atividade como papel central para a compreensão dos mecanismos farmacológicos.

4 - Cada texto deverá ser escrito com no máximo 5 páginas.

5 - Sintetizar ao máximo os textos, deixando somente informações essenciais que informe ao leitor os mais recentes avanços dentro da área, explicitando assim o estado da arte.

6 - Utilizar referências bibliográficas recentes. No mínimo 5 referências recentes (até 5 anos) e de revistas de elevado fator de impacto, "se possível".

7 - O template da revista Química Nova, disponível no endereço eletrônico http://quimicanova.sbq.org.br/Content/pdf/template_QN_PT.doc, deverá ser utilizado como referência de formatação.

Distribuição dos assuntos estudados

Os assuntos utilizados para a avaliação foram relacionados na Tabela 1 e constituem temas estudados durante do curso. Foram distribuídos inicialmente por meio de oferta livre, ou seja, foi oferecida a oportunidade de o aluno (a) expressar o interesse por um dos temas propostos. Na sequência, os temas foram distribuídos aleatoriamente por meio de ordem alfabética. Na aula anterior a aplicação da avaliação, foi esclarecida pelo professor a dinâmica do processo de avaliação a ser utilizado no referido teste e bem como as competências a serem avaliadas (Tabela 2).

 

 

 

 

Mecânica de avaliação dos textos

Buscando padronizar a avaliação dos textos e evitar o subjetivismo, o professor elencou um conjunto de competências que foram considerados indispensáveis no texto. A cada um destes itens, foi designado um escore associado a um fator de peso que foi definido pelo professor em função da importância geral no contexto das competências desenvolvidas. O conjunto de escores (um total de 7) contemplaria a nota máxima, fixada em 10 pontos. Proporcionalmente foram atribuídas as demais notas através de regra de 3 simples. O conjunto de competências avaliadas e os respectivos fatores de peso atribuídos estão apresentados na Tabela 2. A metodologia de avaliação não foi informada previamente aos alunos para que interferências não fossem observadas.

Na competência de ordem "A" foram avaliados os aspectos relacionados ao nível de aprofundamento do texto e se este relacionava-se com disciplina de química medicinal, no nível estudado e a sem perda do foco do tema. Na sequência, na ordem "B" foi avaliada a adequação da formatação geral proposta pelo professor, em que foi verificado se o estudante seguiu as recomendações quanto ao número de páginas e qualidade das referencias bibliográficas. Na competência de ordem "C" foi avaliado se o estudante foi capaz de descrever os fármacos mais recentemente desenvolvidos para área. Na competência seguinte, de ordem "D", o professor avaliou se o estudante descreveu com clareza a relação entre a estrutura química-atividade, deixando claro esta premissa como agente central nas discussões acerca da ação farmacológica. Ainda, foi verificado nessa competência se o estudante foi capaz de relacionar os efeitos adversos. Por fim, na ordem "E" foi avaliado se o estudante foi capaz de relacionar as vantagens dos novos fármacos desenvolvidos em detrimento aos que se encontram em uso clínico.

Os textos que alcançaram escore igual 6 ou maior foram escolhidos para compor o presente trabalho. Esta informação foi divulgada previamente aos alunos de forma a estimular a qualidade dos textos. Para a apresentação dos resultados da avaliação, todas as notas dos alunos foram normalizadas em função da maior nota obtida.

 

RESULTADOS

Texto 1 - Estudante β

Hemostasia e trombose: uso de ácido acetilsalicílico para prevenção da trombose

As doenças cardiovasculares são desenvolvidas devido a uma série de fatores que, em conjunto, ocasionam efeitos graves que podem levar à morte. Os seis principais fatores são: ritmo cardíaco, contratilidade cardíaca, regulação do volume, tônus vasculares, hemostasia e trombose, colesterol e lipoproteínas. Todos estes fatores, quando não regulados adequadamente podem levar ao comprometimento cardiovascular, podendo ocasionar insuficiência cardíaca, infarto do miocárdio, cardiopatia isquêmica, angina, dentre outras enfermidades graves.

A hemostasia é responsável pelo fluxo sanguíneo, mantendo o sangue em seu estado fluído e livre de coágulos. A trombose é o estado patológico, em que ocorre a desregulação da hemostasia, provocando uma coagulação sanguínea. O grande problema é que os trombos podem comprometer a circulação sanguínea, além de provocar outros efeitos graves, como embolia.

Existe uma conduta médica, que prega pelo uso de ácido acetilsalicílico (comumente conhecido como Aspirina®) para prevenir a trombose, principalmente em pacientes que já tiveram uma isquemia, mesmo que em seu estado leve. Existem pesquisas que avaliam esta conduta, principalmente por considerar que os riscos advindos desta prática médica podem ser superiores aos benefícios alcançados. O grande problema é a possibilidade de sangramentos que esta prática pode trazer, o que em um trauma podem comprometer o estado geral do paciente. Outros estudos investigam a suspensão do uso do medicamento quando da realização de exames invasivos, como as colonoscopias, endoscopias, etc. Outro questionamento existente é a respeito da ocorrência de traumas e a reversão automática dos efeitos do medicamento, evitando-se hemorragias e sangramentos excessivos.

Hemostasia e Trombose

O processo hemostático pode ser dividido em quatro estágios: vasoconstrição, hemostasia primária, hemostasia secundária e resolução. Estes estágios não ocorrem de forma isolada, na verdade se sobrepõem, podendo ser quase simultâneos. Em uma lesão vascular, imediatamente ocorre uma vasoconstrição arteriolar transitória, devido à secreção endotelial local de endotelina, que é um vasoconstritor potente. Esta vasoconstrição é transitória, sendo necessários estágios seguintes da hemostasia para que o sangramento seja estancando6

Na hemostasia primária, ocorre a formação de um tampão plaquetário que estabiliza a lesão. Durante a hemostasia primária, ocorre a ativação da fosfolipase A2 da membrana plaquetária (PLA2). A PLA2 libera o ácido araquidônico que por meio de uma ciclooxigenase gera as prostaglandinas e o tromboxano, que são responsáveis pela cascata de coagulação.6

A hemostasia secundária, também chamada de cascata da coagulação, tem o objetivo de criar um coágulo estável de fibrina no local da lesão. Nesta fase ocorre a ativação da Trombina, que é responsável pela ativação dos diversos fatores sanguíneos, que auxiliam na coagulação. Finalmente, a resolução é a responsável por garantir a finalização da hemostasia, garantindo que o coágulo fique apenas na região da lesão. Isto é conseguido a partir da desativação dos fatores sanguíneos, fazendo com que a coagulação seja encerrada. A trombose é o estado patológico da hemostasia, em que as reações de coagulação estão desreguladas. Existem três principais fatores: lesão endotelial, fluxo sanguíneo anormal e hipercoagulabilidade.

Uso do ácido acetilsalicílico como Prevenção da Trombose

Uma das classes utilizada para a inibição ou tratamento de trombos é a dos agentes antiplaquetários. Dentre os agentes antiplaquetários, se encontram os inibidores da ciclooxigenase (COX). A enzima COX é responsável por transformar o ácido araquidônico (ácido cis, cis, cis,cis-5,8,11,14-eico-satetraenóico) em prostaglandina G2 e nos tromboxanos.1 A partir desta transformação, toda a cascata de coagulação é ativada. A liberação do ácido araquidônico ocorre na hemostasia primária e, a partir da geração das prostaglandinas e tromboxanos é que ocorre a geração da hemostasia secundaria.

O ácido acetilsalicílico (Figura 1) atua por meio da acetilação covalente de um resíduo de serina próximo ao sítio ativo da enzima COX, inibindo a ciclooxigenase do ácido araquidônico, evitando, assim, a cascata de coagulação.1 O efeito do AAS é irreversível durante o tempo de vida das plaquetas (7-10 dias).

 


Figura 1. Estrutura do ácido acetilsalicílico

 

Este medicamento pode ser utilizado como agente antiplaquetário para evitar a trombose arterial, que pode levar ao acidente vascular cerebral, ataque isquêmico transitório e infarto do miocárdio. Seu efeito é efetivo quando utilizado em baixas doses, devido ao caráter de inibição permanente da COX.1 Seus efeitos adversos consistem em gastropatia e nefropatia, ulceração e hemorragias gastrointestinais.

Discussões Acerca do Uso do ácido acetilsalicílico para Prevenção da Trombose

Existem diversos estudos mostrando como o AAS pode ser utilizada em prevenção e tratamento de problemas hemostáticos. Além disso, existem diversos estudos que comparam o uso de ácido acetilsalicílico com anticoagulantes e a permanência do uso do composto durante exames invasivos. Buscou-se apresentar dados de artigos recentes que discutem estes elementos, tentando elencar os benefícios e malefícios do uso deste fármaco.

Um dos estudos apresentados relata que o AAS contribui para reduzir os acidentes isquêmicos nos pacientes com doença arterial coronariana, porém, existem estudos que mostram que ela pode diminuir os benefícios dos fármacos inibidores de Enzima de Conversão da Angiotensina (ECA). Isso pode ocorrer devido à diminuição de formação das prostaglandinas atenuando os efeitos favoráveis da inibição da ECA. O ácido acetilsalicílico, assim, não deve ser administrada para pacientes com insuficiência cardíaca que fazem uso de inibidores de ECA no seu tratamento.7

Existem diversos estudos referentes à suspensão de AAS para realização de colonoscopias e endoscopias. O problema é que estes dois exames são invasivos e apesar de terem baixo risco hemorrágico, pode ocorrer a polipectomia (retirada de pólipos) que possui alto risco hemorrágico.3 O artigo apresentado por Miranda e Libânio,8 realizou uma revisão bibliográfica para estudar o risco efetivo levantado na literatura. De acordo com os autores o risco não foi afetado para pacientes em uso do AAS, porém, com outros anticoagulantes este risco é alto, sendo assim, recomenda-se que os demais anticoagulantes sejam suspensos durante estes exames, mas o composto pode ser mantido sem grandes efeitos adversos para estes pacientes.

Dois estudos mostram a utilização do AAS em gestantes com alto risco de abortos, seja por apresentarem abortos recorrentes ou por terem risco de pré-eclâmpsia nos dois estudos os prognósticos são favoráveis quando se utiliza a ácido acetilsalicílico.9,10

A síndrome do Anticorpo Antifosfolipídeo (SAF) pode causar abortos recorrentes em diversas pacientes. Nos casos de pacientes com abortos de repetição, deve-se, logo que se confirme uma gravidez, iniciar o tratamento com AAS e Heparina não-fracionada. Estes fármacos devem atuar em mecanismos responsáveis por provocarem o aborto, além de evitarem a trombose, principalmente nos vasos placentários.9

O estudo do uso do ácido acetilsalicílico em gestantes com risco de pré-eclâmpsia também verificou que existe melhora nos prognósticos. Existe menor risco de pré-eclâmpsia em pacientes tratados com o fármaco, pois ele diminui a produção de prostaciclinas.5 Existem ainda controvérsias sobre o tratamento de casos em gestantes, o que indica uma necessidade maior de estudos nesta área.5

Outro caso em que o uso do AAS traz excelente prognóstico é na Eritromelalgia, que ocorre frequentemente na Trombocitemia Essencial (TE). O uso doácido acetilsalicílico nestes pacientes consegue aliviar, e até mesmo reverter o quadro clínico apresentado.9 Um estudo comparando o uso de AAS em relação ao Ticagrelor no AVC ou Ataque Isquêmico transitório, acompanhando pacientes por 90 dias, mostra que o composto foi melhor no prognóstico que o Ticagrelor.11 Os autores ainda discutem, que diversos pacientes que fizeram uso do Ticagrelor usavam o ácido acetilsalicílico para prevenção, ocasionando, durante um período de tempo um tratamento combinado entre os dois fármacos, indicando a necessidade de estudos com a combinação dos fármacos para saber se melhoram os prognósticos para estas doenças. Os efeitos adversos dos dois fármacos são similares, porém, observou-se que o grupo que usou Ticagrelor teve maior taxa de descontinuidade do tratamento devido a efeitos adversos como dispnéia e pequenas hemorragias.11

OAAS, quando utilizado de fato, previne os riscos de eventos cardiovasculares, mas aumenta o risco de hemorragias gastrointestinais. Os autores avaliam que um estudo deve ser realizado para garantir que os benefícios encontrados na prevenção de efeitos cardiovasculares sejam maiores que os prejuízos causados pelas hemorragias gastrointestinais e acidente vascular cerebral hemorrágico que podem ocorrer em pacientes em uso de ácido acetilsalicílico.12

Os estudos aqui levantados neste breve levantamento bibliográfico mostram que oácido pode auxiliar no tratamento de diversos aspectos relacionados à hemostasia, tendo sido observados tanto fatores favoráveis quanto desfavoráveis ao seu uso. Os estudos aqui apresentados são recentes, o que mostra que ainda existem controvérsias sobre o uso de AAS e muitas dúvidas sobre a conduta de pacientes utilizarem o AAS para prevenção de trombose. Algumas certezas podem ser observadas na sua utilização, como é o caso de gestantes com complicações hemostáticas na gravidez. Observa-se, pelos artigos aqui apresentados, que a melhor conduta é o seu uso, seja isolada, como monoterapia ou com a combinação de algum outro fármaco.

Como fatores favoráveis ao uso de ácido acetilsalicílico pode-se citar: seu uso não precisa ser suspenso quando da realização de exames de colonoscopia e endoscopia, como ocorre com os anticoagulantes orais; uso do ácido em pacientes gestantes com gravidez de risco, devido a fatores hemostáticos anormais; reversão de quadro clínico em pacientes com Eritromelalgia; teve melhor prognóstico que o uso de Ticagrelor.

Como fatores adversos para o uso de AAS pode-se citar: uso concomitante com fármacos inibidores de ECA acaba por diminuir a eficácia deste último fármaco, devido à necessidade que ele possui de prostaglandinas para que seu efeito seja estabelecido; existem relatos de hemorragias gastrointestinais e acidente vascular cerebral em pacientes em uso do composto. Observa-se, que de fato, ainda existem estudos a serem observados, tanto em relação à segurança na utilização do fármaco, quanto em relação aos diversos efeitos adversos que oácido acetilsalicílico apresenta. Como sempre, cada caso deve ser estudado, de forma que o médico consiga estabelecer a melhor conduta para o caso específico do paciente, não sendo administrado o uso de fármacos sem necessidade ou que comprometam o estado geral do paciente.

Texto 2 - Estudante χ

Fármacos anti-inflamatórios não esteroidais (AINEs)

A inflamação constitui uma resposta fisiológica às lesões, modulada bioquimicamente por eicosanóides derivados da biotransformação do ácido araquidônico (AA) pela enzima ciclooxigenase. Os principais eicosanoides são os prostanoides (prostaglandinas - PG e tromboxanos - Tx) e leucotrienos que promovem respostas biológicas associadas com sintomas do processo inflamatório.13,14 A enzima ciclooxigenase (COX) possui 2 isoformas denominadas COX-1 e COX-2, ambas com níveis teciduais diferentes, uma vez que a COX-1 é constitutiva, atuando normalmente no metabolismo (renal, gastrointestinal).15 Em contrapartida a COX-2 ocorre de modo induzido em condições fisiopatológicas como inflamação, hipóxia e em neoplasias, elevando o nível de prostanóides.16,17 Os fármacos anti-inflamatórios não esteroidais (AINEs) comumente utilizados na terapêutica são capazes de promover inibição enzimática de ambas isoformas, sendo os efeitos colaterais, como disfunções gastrointestinais e renais, inerentes à inibição da COX-1.18,19 Além disso, há relatos na literatura que enfatizam o aumento de riscos cardiovasculares com AINEs não seletivos e seletivos para COX. Portanto, com intuito de proporcionar maior segurança na aplicação clínica de AINES uma estratégia adotada é obter fármacos com melhor perfil seletivo minimizando efeitos indesejados.20,21

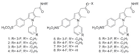
Atualmente os estudos desenvolvidos dedicam-se a síntese, modificações estruturais e estudos de docking molecular em derivados com farmacodinâmica diversificada, como inibição das isoenzimas COX, inibição de substâncias pró-inflamatórias como a interleucina 6 (IL-6), fatores de necrose tumoral (TNFα), inibição da fosfolipase A2 entre outras citocinas.22 Delineado nos conceitos descritos acima estudos recentes reportados pela literatura demonstram que uma série derivada do pirrol contendo metilsulfonilas, sulfamoil acetamida e acetato de etila exibem boa seletividade in vitro para COX e analgesia in vivo. Como demonstra a Figura 2, cada molécula sofreu 4 modificações estruturais gerando novos compostos, cujo perfil de seletividade para as isoenzimas foi determinado in vitro, apresentando uma atividade satisfatória para COX-2. Além disso, análises computacionais simulam que estes derivados do pirrol possuem uma interação adequada com seu alvo, reforçando a ação seletiva.22 Porém, estes derivados pirrólicos enquadram-se ainda como promissores candidatos a fármacos, uma vez que aspectos farmacocinéticos, extremamente importantes na aplicação clínica não foram elucidados.

 


Figura 2. Estruturas dos compostos derivados do pirrol

 

Outro estudo muito similar sintetizou e testou 30 compostos derivados de imidas (ftalimida), estabelecendo o comportamento seletivo para a COX-2 das mesmas. Comparativamente ao que foi relatado no estudo anterior, o perfil de interação com as isoenzimas foi estabelecido com base em ensaios in vitro, na qual os compostos 6a, 6b, 7a, 7b (Figura 3) demonstraram potência inibitória para COX-2.22,23

 


Figura 3. Estruturas dos derivados de ftalimida

 

Dentre as moléculas com atividade seletiva, a 6a exibiu um perfil comparável ao do celecoxibe, um comum FAINE seletivo, e atividade anti-inflamatória superior ao diclofenaco. A promissora atividade do composto 6a se confirma pelos estudos de docking molecular frente a COX-2.23 Porém, características farmacocinéticas, que englobam metabolismo, toxicidade, também não são descritos, tornando esta molécula ainda inviável no emprego terapêutico. O potencial anti-inflamatório de derivados da cumarina também foi observado por testes in vivo e em estudos computacionais frente aos alvos enzimáticos (COX-1 e COX-2), demonstrando uma redução dos sintomas fisiopatológicos e interação satisfatória com as isoenzimas.1 No entanto, assim como os estudos anteriores as moléculas descritas carecem de elucidações farmacocinéticas, que forneçam informações relevantes na aplicação destes compostos em sistemas biológicos.13,22,23 Além disso, os derivados da cumarina não foram descritos com relação a potência seletiva para a COX, se assemelhando com os AINEs atualmente prescritos na clínica e não representando uma inovação a essa classe de fármacos. O amorfrutin, uma outra opção terapêutica tem sido reportada na literatura por sua interação em diversos alvos biológicos, dentre eles, nos receptores moduladores do mecanismo inflamatório como os proliferadores de peroxissoma γ (PPARγ). Este composto constitui um metabólito secundário presente na Amorpha fruticosa L. (índigo bastardo) e Glycyrrhi foetida Desf. (Alcaçuz) e é um derivado do ácido benzóico com substituinte isoprenóide, sendo prenila no amorfrutin A e geranila no amorfrutin B como mostra a Figura 4.16

 


Figura 4. Estruturas do amorfrutin A e amorfrutin B

 

Ambos compostos demonstraram atuar na isoforma 1 dos PPARγ, promovendo uma modulação na transcrição de mediadores como a TNFα em cultura de células do cólon, reduzindo o processo inflamatório e sustentando a possibilidade de utilização destas moléculas em desordens inflamatórias.16 Contudo, estudos mais efetivos in vivosão necessários com o fim de descrever a potencial exploração destes produtos naturais para terapia de disfunções relativas à inflamação.

Texto 3 - Estudante δ

Fármacos antivirais

As infecções virais estão entre os principais motivos de mortalidade no mundo, sendo que as políticas públicas e as vacinas são os principais métodos de controle da sua disseminação.1 Porém, os agentes antivirais tiveram grande crescimento principalmente como resposta ao vírus da imunodeficiência humana (HIV) e as sequelas de sua infecção7. Esse importante crescimento no uso de fármacos antivirais propiciaram salvar muitas e bem como promoveram melhor qualidade de vida à vários pacientes.6

Um vírus não possui atividade metabólica própria e por isso utiliza a maquinaria da célula hospedeira para a sua replicação, dessa forma os fármacos antivirais em sua maioria agem de maneira a bloquear uma dessas etapas de replicação, reduzindo ou extinguindo a atividade viral.

São exemplos de fármacos antivirais a amantadina e a rimantadina utilizadas no combate a Influenza subtipo A, o aciclovir e seus análogos no combate ao herpes vírus e a enfuvirtida (T-20) no combate ao HIV.

Ciclo de vida do vírus

Para replicar-se o vírus se utiliza da atividade metabólica da célula hospedeira, esse ciclo de vida do vírus em geral apresenta as seguintes etapas: fixação, entrada, desnudamento, transcrição, tradução, replicação do genoma, montagem e saída.6,7 A fixação acontece por meio de proteínas existentes na superfície do vírus, que fazem ligação com receptores específicos da membrana da célula hospedeira. Um exemplo pode ser a ligação da glicoproteína gp120 do envelope viral do HIV com os receptores CD4 e de quimiocinas das células CD4 hospedeiras. Após a fixação, ocorre a entrada, em que o vírion atravessa a membrana da célula hospedeira.6 Em seguida, acontece o desnudamento, etapa caracterizada pela perda de parte das proteínas do capsídeo e disponibilização do ácido nucléico para transcrição em mRNA, que, segue pela tradução em ribossomos celulares. O desnudamento dos retrovírus permite a transcrição reversa, etapa presente apenas no ciclo de vida dos retrovírus.6 Na etapa de replicação do genoma um suprimento de ribonucleosídio trifosfatos é exigido para os vírus de RNA e desoxirribonucleosídio trifosfatos para os vírus de DNA, que são adicionados em novos genomas virais por meio de polimerase viral ou celular. Esse processo é muito explorado no desenvolvimento de agentes antivirais, como exemplo no tratamento do herpes vírus. Na próxima etapa do ciclo os genomas e a proteínas virais sintetizadas na célula hospedeira são organizadas em um processo chamado montagem. E em seguida os vírus deixam a célula hospedeira por meio de lise celular ou brotamento através da membrana celular, completando a saída do vírus.6,7

Classificação dos antivirais pelo mecanismo de ação

Inibição da fixação e entrada dos vírus

Como qualquer vírus precisa infectar células para garantir sua replicação, impedir a sua fixação e entrada é uma estratégia conceitual muito eficiente no controle da infecção viral. A enfuvirtida (T-20), um peptídeo de 36 aminoácidos, é o primeiro fármaco aprovado pela FDA (U.S. Food and Drug Administration) no ano de 2003, atua bloqueando a entrada do vírus. A entrada do vírus HIV acontece por fusão do envelope viral com a membrana celular. A glicoproteína Gp120 se liga a receptores de células CD4+ e de quimiocinas do hospedeiro. Após essa ligação inicial, a glicoproteína Gp41 sofre uma série de alterações conformacionais permitindo a fusão do vírus com a célula.1,3,4 A enfuvirtida (T-20) possui similaridade molecular a um segmento de Gp41. Durante o processo de fusão, o T-20 inibe a ação da Gp41 e previne as suas alterações conformacionais, bloqueando dessa forma as mudanças estruturais necessárias para a fusão do vírus. T-20 tem importante atuação no tratamento de pacientes com tratamento prévio que apresentam resistência aos agentes mais comuns no combate ao HIV.24-26

Inibição do desnudamento viral

A amantadina e seu análogo a rimantadina são agentes inibidores do desnudamento viral. Ambas possuem ação no tratamento da influenza A. O vírus da influenza A entra na célula por meio do processo de endocitose mediada por receptores, ficando contido em um endossomo. Esse possui uma bomba de prótons que acidifica o endossomo levando prótons para dentro, os prótons então penetram no vírus através de um canal iônico chamado M2. O canal M2 é regulado por pH no envelope viral e se abre respondendo à acidificação. Isso provoca a dissociação da proteína de matriz da ribonucleoproteína (RNP) do vírus e acaba por liberar o seu material genético para a célula hospedeira, completando o desnudamento.6,7

A amantadina e a rimantadina bloqueiam o canal M2 evitando a acidificação do interior do vírion e, por consequência, o desnudamento. A rimantadina apresenta significativamente menos reações adversas, que estão associadas a queixas gastrointestinais e do Sistema Nervoso Central (SNC) (nervosismo, tontura, dificuldade de concentração, insônia, perda de apetite ou náuseas).

Inibição da replicação do genoma viral

Geralmente a inibição da replicação do genoma viral ocorre com a inibição de uma polimerase. Grande parte dos vírus codificam polimerases próprias, fazendo com que essa etapa seja grande alvo para fármacos antivirais. Grande parte desses fármacos são os análogos nucleosídios (Figura 5).

 


Figura 5. Nucleosídios nativos e análogos

 

Os análogos nucleosídios são ativados por fosforilação, permitindo que os agentes antivirais liberem os trifosfatos de desoxirribonucleosídios naturais das DNA polimerases. Esses agentes incorporam a cadeia DNA em crescimento interrompendo o processo de alongamento. A toxicidade desses fármacos está relacionada a uma semelhança tal com o composto natural que impeça os processos celulares.

Análogos Nucleosídios e Nucleotídios - Anti-Herpesvírus

O aciclovir (ACV) (Figura 5) é um fármaco utilizado no combate a herpes genital (HSV) e ao herpes zoster (VZV), tendo alto índice de seletividade e toxicidade seletiva. A descoberta do aciclovir por meio da estratégia de simplificação molecular mostra a importância desse processo no desenho e modificação estrutural de um protótipo na descoberta racional de novos fármacos. Tão importante foi a descoberta que rendeu o Nobel em 1985 a George H. Hitchings e Gertrude B. Elion juntamente com Sir James W. Black.

O aciclovir possui uma estrutura composta por uma base guanina fixada a um anel de açúcar rompido e incompleto (Figura 5). O HSV e o VZV codificam uma timidina cinase capaz de fosforilar o aciclovir. A seletividade antiviral do aciclovir é explicada pelo fato da timidina cinase fosforilar o aciclovir com mais eficiência do que qualquer enzima de mamífero, e por isso as células infectadas por HSV e por VZV possuírem mais aciclovir fosforilado do que células sadias.A fosforilação do ACV produz o monofosfato de ACV, que a seguir é fosforilado sequencialmente pelas enzimas celulares em difosfato de ACV e trifosfato de ACV (pppACV).1,2 Em sua ação para a inibição da DNA polimerase o pppACV inibe competitivamente a incorporação do trifosfato de desoxiguanosina (pppdG), então incorpora-se a cadeia de DNA em crescimento bloqueando o alongamento da cadeia. Por fim, a polimerase viral congela em um "complexo de ponta morta".1,2

Um pró-fármaco do aciclovir é o valaciclovir (Figura 5), que possui disponibilidade oral cerca de cinco vezes maior que o aciclovir, sendo rapidamente convertido em aciclovir após ingestão.1 O fanciclovir é um pró-fármaco do penciclovir (Figura 5), é bem absorvido por via oral, e por meio de um esterase e oxidase produz-se o penciclovir. Isso garante uma biodisponibilidade oral de 70%.6 Ganciclovir (Figura 5) originalmente um derivado do aciclovir se mostrou muito mais eficiente contra o Citomegalovírus (CMV), sendo o primeiro fármaco aprovado para tratamento do CMV e seu pró-farmaco é o valganciclovir (Figura 5).6,27 A toxicidade do ganciclovir é maior do que a do aciclovir e isso pode ser explicado pela presença do grupo 3'CHOH, aproximando-se mais do composto natural desoxiguanosina (dG). O desenvolvimento de novos fármacos antivirais é importante para o combate das infecções que culminam na morte de muitos indivíduos ou que diminuem suas qualidades de vida. Infelizmente o arsenal de agentes antivirais disponíveis no mercado ainda é muito pequeno perto da grande quantidade de vírus conhecidos e a descoberta de novos agentes passa pela compreensão do ciclo de vida desses microrganismos e bem como a elucidação dos mecanismos envolvidos na sua replicação. Tal conhecimento é de suma importância para o desenvolvimento de novos medicamentos que ofereceram opções terapêuticas a muitos pacientes que atualmente estão fora da faixa terapêutica.

 

DISCUSSÃO

Estão apresentados na Tabela 3 os escores atribuídos a cada estudante por competência avaliada. Pode-se observar que 42,85% (n= 3) dos estudantes obtiveram escore igual a 5 ou superior. Somente um aluno alcançou nota 10, que foi atribuída ao escore 6. Aos demais estudantes foram atribuídas notas proporcionais de forma que as notas finais foram normalizadas.

 

 

Com exceção dos alunos "ε" e "φ", todos os demais alunos desenvolveram bem a competência "profundidade e coesão do texto", demonstrando nos textos um nível adequado à pós-graduação em nível Strictu sensu. Todos os alunos que participaram da avaliação compreenderam bem a formatação proposta e desenvolveram de forma satisfatória esta competência no texto. Na competência "descrição do estado da arte" somente o aluno χ desenvolveu satisfatoriamente alcançando escore 2. Este rendimento pode ter sido em parte facilitado pela grande abundância de publicações e pesquisas na área e ajustes dentro do modelo, em uma futura avaliação, podem corrigir tal distorção. Coincidentemente, os alunos que tiveram seus textos escolhidos para integrar o presente trabalho desenvolveram satisfatoriamente a competência pautada na relação "estrutura-atividade", demonstrando que estes alunos compreenderam bem o papel central deste para o entendimento da disciplina de química medicinal. Por fim, infelizmente, nenhum dos estudantes conseguiram desenvolver de forma satisfatória a competência que relaciona os avanços obtidos pelos novos fármacos em detrimentos aos em uso clínico. Isto pode ser explicado pelo fato de esta competência, dentre as propostas no presente estudo, ser a que exige maior experiência e dedicação em pesquisa. Outro fator também a ser ponderado é o fato de que tal competência, apesar de ser bastante discutida em sala de aula pelos professores, raramente é pragmatizada quanto ao mecanismo usado pelo docente para busca das informações. Assim, claramente pode-se entender que o docente falhou em desenvolver de forma satisfatória a competência nos alunos e o presente modelo serviu de instrumento identificação de falhas no processo de ensino-aprendizagem.

A necessária formação diferenciada de futuros docentes deve ser sólida e pertinente, de forma a considerar a influência de suas representações da realidade (teorias implícitas - saberes impregnados pela história na acumulação de conhecimentos e as representações sociais) e como isso condiciona e contextualiza, de alguma maneira, suas práticas sociais. Segundo Valenzuela et al.,28 as representações e os conhecimentos teóricos pertencentes ao professor são relevantes para a sua prática pedagógica e lhe permite utilizar estratégias e ações concretas para o desenvolvimento da aprendizagem dos alunos. O modelo pedagógico tradicional tem o seu valor, porém, novas práticas se colocam necessárias como possibilidade de promoção de motivação intríseca/extrínseca dos alunos e como margem de manobra do professor para facilitar motivacionalmente a aprendizagem.

No presente estudo, a avaliação dissertativa direcionada associada à metodologia de correção que ponderou as competências desenvolvidas por meio de escores possibilitou ao docente estabelecer critérios claros para avaliação da aprendizagem, permitindo que a distribuição das notas seguisse um padrão que fugiu ao subjetivismo comumente presente em instrumentos pautados por questões dissertativas e/ou na apresentação de seminários, em que a atribuição da nota, em muitos casos, é conduzida sem a clara apresentação dos critérios adotados e nota final do estudante não se relaciona a competências a serem desenvolvidas.

Os autores reconhecem que a experiência aqui relatada apresenta fragilidade quando objetiva-se desenvolver outras competências importantes em nível de pós-graduação strictu-sensu, como a dialética oral e a prática da fala em público. Entretanto, a metodologia de correção por escores também pode ser estendida as apresentações de seminários, ponderando-se naturalmente competências diferentes das apresentadas no presente estudo, reduzindo-se assim também o caráter subjetivo da avaliação.

Por fim, objetivando sustentar a metodologia empregada, o professor conduziu, após a avaliação, um pequeno debate no qual as impressões dos alunos acerca do processo foram apresentadas e, de forma unânime, a mecânica quantitativa do processo foi avaliada como uma ferramenta positiva para melhoria do processo de avaliação-aprendizagem (dados não apresentados).

 

CONCLUSÃO

Há diversas formas de se orientar o processo formativo e é papel do professor, permanentemente, discutir a educação, avaliar e questionar os métodos estabelecidos e a sua eficácia na obtenção dos resultados planejados. Neste ínterim, é latente a necessidade de formulação de metodologias alternativas às tradicionais formas de exposição do currículo. Neste artigo foi proposto um modelo alternativo de avaliação em razão da necessidade de mudança do aspecto formativo em nível de pós-graduação stricto sensu, na área da química medicinal. As particularidades do contexto analisado se deviam a forma da construção do conhecimento na área (conhecimento em detrimento a simples tarefa de memorização de mecanismos reacionais ou farmacológicos) necessárias para a posterior transmissão desse saber na docência desses futuros professores. Numa perspectiva de transformação, objetivou-se, dentre as diversas metodologias a serem implementadas, priorizar aquelas que colocassem o aluno como protagonista, próximo do seu objeto de estudo, com ênfase na sua autonomia e sujeito cooperador na construção do conhecimento. Na experiência aqui proposta, a avaliação dos textos, seguindo a metodologia aqui proposta, deixa de ter um caráter subjetivo e assume a perspectiva objetiva a partir da utilização de instrumentos quantitativos de qualificação. A contribuição para formação do aluno, pode ser evidenciada na medida que os escores avaliados direcionam os estudos para pontos-chave do conteúdo estudado e, se estes forem previamente divulgados aos alunos, permitem um melhor direcionamento da aprendizagem com melhor aproveitamento. Por esta perspectiva, há uma aliança entre a motivação estabelecida por uma nova prática pedagógica e a aproximação teórica dos alunos - colocadas em prática com a escrita dos textos. A partir desta experiência é (foi) possível repensar estratégias que possam contribuir, apoiar e fomentar a motivação e aquisição da (pela) aprendizagem.

 

AGRADECIMENTOS

Os autores agradecem ao Fundo de Amparo à Pesquisa do Estado de Minas Gerais - FAPEMIG, que forneceu auxilio financeiro fundamental a esta publicação, e aos alunos que participaram do processo: Carla Júnia Santos, Pedro Emílio Salomão Amador, Karine Almeida Lage e Fernanda Magalhães de Oliveira Campos.

 

REFERÊNCIAS

1. Moraes, D. W.; Moreira, D. M.; Vieira, J. L.; Piccoli Jr., A. L.; Pellanda, L. C.; Revista Brasileira de Educação Médica 2014, 38, 403.

2. Alves, M. G.; Educar em Revista 2015, 31(57), 49.

3. Ocaña, A. O; Buitrago, J. O. S.; Fontalvo, I. M. S.; Revista Científica General José María Córdova 2015, 13, 183.

4. Castanho, M. I. S.; Scoz, B. J. L.; Psicologia em Estudo 2013, 18, 487.

5. Salvador, C. C.; Na aproximacion psicopedagogica a la el aboracion del curriculum escolar, 1a ed., Paidós Iberica, 1991.

6. Golan, D. E.; Armstrong, E. J.; Armstrong, A. W.; Principles of pharmacology: the pathophysiologic basis of drug therapy, 3th ed., Lippincott Williams & Wilkins: Philadelphia, 2011.

7. Goodman, L. S.; Gilman, A.; Brunton, L. L.; Lazo, J. S.; Parker, K. L.; Goodman & Gilman's The pharmacological basis of therapeutics, 12th ed., McGraw-Hill: New York, 2011.

8. Andrews, P. R.; Mark, L. C.; Anesthesiology 1982, 57, 314.

9. Bialer, M.; Epilepsia 2012, 53, 3.

10. Richter, L.; de Graaf, C.; Sieghart, W.; Varagic, Z.; Mörzinger, M.; de Esch, I. J. P.; Ecker, G. F.; Ernst, M.; Nat. Chem. Biol. 2012, 8, 455.

11. Dixon, C.L.; Harrison, N.L.; Lynch, J.W.; Keramidas, A.; Br. J. Pharmacol. 2015, 172, 3522.

12. Miranda, A.; Libânio, D.; Revista Portuguesa de Medicina Geral e Familiar 2016, 32, 155.

13. Garcia, A. A.; Franco, R. F.; Medicina (B. Aires) 2001, 34, 258.

14. Figueiró-Filho, E. A.; de Oliveira, V. M.; Breda, I.; Coelho, L. R.; Ferreira, C. M.; Rev. Bras. Ginicol. Obstet. 2012, 34, 459.

15. Johnston, S. C.; Amarenco, P.; Albers, G. W.; Denison, H.; Easton, J. D.; Evans, S. R.; Held, P.; Jonasson, J.; Minematsu, K.; Molina, C. A.; Wang, Y.; Wong, K. S. L.; N. Engl. J. Med. 2016, 375, 35.

16. El-Haggar, R.; Al-Wabli, R. Molecules 2015, 20, 5374.

17. Cornett, A. L.; Lutz, C. S.; RNA 2014, 20, 1419.

18. Balaji, B.; Hariharan, S.; Shah, D. B.; Ramanathan, M.; Eur. J. Med. Chem. 2014, 86, 469.

19. Lee, Y.; Rodriguez, C.; Dionne, R. A.; Curr. Pharm. Des. 2005, 11, 1737.

20. McGettigan, P.; Henry, D.; JAMA 2006, 296, 1633.

21. Michaux, C.; Charlier, C. Mini Rev. Med. Chem. 2004, 4, 603.

22. Consalvi, S.; Alfonso, S.; Di Capua, A.; Poce, G.; Pirolli, A.; Sabatino, M.; Ragno, R.; Anzini, M.; Sartini, S.; La Motta, C.; Di Cesare Mannelli, L.; Ghelardini, C.; Biava, M.; Bioorg. Med. Chem. 2015, 23, 810.

23. Alanazi, A. M.; El-Azab, A. S.; Al-Suwaidan, I. A.; ElTahir, K. E. H.; Asiri, Y. A.; Abdel-Aziz, N. I.; Abdel-Aziz, A. A.-M.; Eur. J. Med. Chem. 2015, 92, 115.

24. Foy, K.; Juethner, S. N.; Journal of the Association of Nurses in AIDS Care 2004, 15, 65.

25. Fung, H. B.; Guo, Y.; Clin. Ther. 2004, 26, 352.

26. Rockstroh, J. K.; Mauss, S.; J. Antimicrob. Chemother. 2004, 53, 700.

27. Prichard, M. N.; Kern, E. R.; Virus Res. 2011, 157, 212.

28. Valenzuela, J.; Muñoz Valenzuela, C.; Silva-Peña, I.; Gómez Nocetti, V.; Precht Gandarillas, A.; Estudios pedagógicos (Valdivia) 2015, 41, 351.

On-line version ISSN 1678-7064 Printed version ISSN 0100-4042
Qu�mica Nova
Publica��es da Sociedade Brasileira de Qu�mica
Caixa Postal: 26037 05513-970 S�o Paulo - SP
Tel/Fax: +55.11.3032.2299/+55.11.3814.3602
Free access

GN1