JBCS



11:52, sáb nov 15

Acesso Aberto/TP



Educação


O método de Hylleraas para átomos de dois elétrons
The Hylleraas method for two electrons atoms

Felipe S. Carvalho; Joao P. Braga*

Departamento de Química, Universidade Federal de Minas Gerais, 31270-901 Belo Horizonte - MG, Brasil

Recebido em 25/05/2017
Aceito em 08/08/2017
Publicado na web em 02/10/2017

Endereço para correspondência

*e-mail: jpbraga@ufmg.br

RESUMO

The quantum mechanics of two electrons atoms, as suggested by E. A. Hylleraas in the period between 1928-1930, is discussed in the present work. Hylleraas introduced explicit correlations in the wavefunction by treating the coordinates between the electrons as an independent variable of the problem, an approach that gives very precise energy values. Solution of the problem is given for one, two, three and six basis functions, as in the original work. The solution is also carried out with 140 basis functions, showing that the energy for two electron atoms can be calculated with seven significant figures. Numerical methods presented here are accessible to undergraduated level students.

Palavras-chave: Hylleraas method; two-electrons atom; electronic correlation.

INTRODUÇÃO

Egil A. Hylleraas publicou, entre 1928 e 1930, uma serie de três artigos1-3 em que trata da mecânica quântica de átomos de dois elétrons. Resultados extremamente precisos, com um desenvolvimento relativamente simples, podem ser obtidos por essa abordagem. A correlação entre os elétrons é introduzida de forma explícita na função de onda, considerando não somente as coordenadas elétron-núcleo, mas também a coordenada relativa entre os elétrons. Ao escalonar a função de onda, Hylleraas simplifica consideravelmente o cálculo variacional, pois o parâmetro variacional aparece na forma quadrática e linear, ao contrario da forma exponencial. A versão em inglês do trabalho de E.A. Hylleraas pode ser encontrada nas referências.4,5

A história da mecânica quântica de átomos de dois elétrons é contada pelo próprio Hylleraas no excelente artigo autobiográfico, Reminiscences form the Early Quantum Mechanics of Two-Electron Atoms.6 O cálculo da energia de átomos de dois elétrons foi um teste crucial para dar credibilidade à mecânica quântica, pois resultados corretos já haviam sido obtidos para o átomo de hidrogênio por E. Schrödinger no seu trabalho original da mecânica ondulatória7,8 e por W. Pauli usando a mecânica matricial.9,10 Era natural que se perguntasse como seriam os resultados para átomos de dois elétrons e essa era a pergunta que E.A. Hylleraas tentava responder.

O presente texto é baseado nos trabalhos originais de Hylleraas, com a intenção de tornar esses trabalhos mais acessíveis para estudantes de graduação. Após uma introdução teórica do hamiltoniano nas coordenadas de Hylleraas, o cálculo da energia do átomo de hélio é realizado com uma, duas, três e seis funções de base, como tratado originalmente. O cálculo das integrais nessas coordenadas é feito, com exemplos em uma dimensão, para ilustrar integrais mais elaboradas, resumidas nas equações de Chandrasekhar-Herzberg.11 As energias calculadas serão comparadas com os resultados estabelecidos em 1966 por Frankowski e Pekeris12 que obteve o resultado, E = -2,903724377 au, com todos algarismos significativos.

Para efeito de comparação com o trabalho original, toma-se a energia de referência em E = -2,9037 au, pois os cálculos em 1929 foram feitos nessa precisão. Entretanto, um resultado para 140 funções de base será discutido e comparado com o trabalho de Frankowski e Pekeris. Os métodos numéricos aqui apresentados são acessíveis a um estudante de graduação, possibilitando de forma simples a reprodução do trabalho original de Egil A. Hylleraas.

 

COORDENADAS DE HYLLERAAS E ELEMENTOS DE MATRIZ

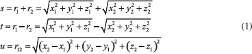
Com as coordenadas cartesianas dos dois elétrons denotadas por (x1, y1, z1) e (x2, y2, z2), r1 e r2 as distâncias dos elétrons ao núcleo e r12 a distância entre os elétrons, Hylleraas define as novas coordenadas,

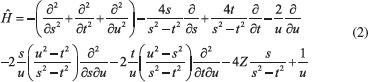
transformando, assim, um problema originalmente em seis coordenadas para três coordenadas relativas. O cálculo do hamiltoniano nessas novas coordenadas requer uma transformação de coordenadas, seguindo uma lógica análoga à apresentada em textos básicos de química teórica.13,14 Nas coordenadas de Hylleraas o hamiltoniano tem a forma

com o elemento de volume igual a, dv = u(s2 - t2)dsdtdu, com 0 ≤ tus ≤ ∞.

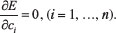
Os autovalores da equação de Schrödinger, Ĥψ = E ψ, serão determinados pelo método variacional linear. Nesse método a função de onda total ψ é expandida nas funções de base, fi, na forma e os coeficientes são otimizados para minimizar a energia total, isto é, procura-se satisfazer a condição, Procurar a solução não trivial desse mínimo é equivalente a estabelecer as raízes do determinante, |H- ES| = 0, com Hij = ∫ fi Ĥ fj dv e Sij =fi fj dv. Para n funções de base as matrizes simétricas envolvidas terão dimensão n × n, podendo-se dizer que o problema foi representado com n funções de base, ou seja, um problema de n estados. Para maiores detalhes do método variacional linear o leitor deve consultar livros básicos de mecânica quântica.14

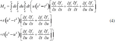
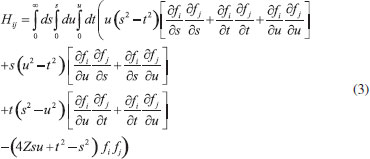
Por ser o problema linear, constantes comuns, como no elemento de volume ou nas funções de base, não precisam ser consideradas. Para se estabelecer os elementos de matriz do hamiltoniano na base desenvolve-se a expressão, ∫ fi Ĥ fj dv +fj Ĥ fi dv. Ao se usar a condição de contorno da função de onda juntamente com a propriedade hermitiana do operador, retira-se13

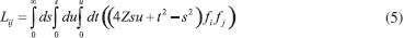
Para uso posterior, define-se

observando que os elementos de matriz da energia cinética são dados por Mij, da energia potencial por -Lij, enquanto os elementos de matriz da integral de superposição equivalem a Nij. Os elementos de matriz do hamiltoniano total serão, por conseguinte, equivalentes a Hij = Mij - Lij. A notação usada para as matrizes de energia cinética, energia potencial e integral de superposição é a mesma do trabalho original.

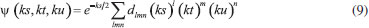
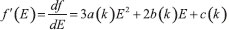
As três matrizes , e serão utilizadas no cálculo da energia de átomos de dois elétrons. As funções propostas por Hylleraas2 foram

com

sendo a função de base. Os inteiros l, m, n são positivos, com m podendo assumir somente valores pares. A notação fnlm = (nlm), indicando os expoentes nas variáveis s, t e u, será também utilizada ao longo do presente trabalho. Por exemplo, fooo = e-s/2 ou foo1 = e-s/2u.

 

ESCALONANDO A FUNÇÃO TOTAL

Sabendo-se que a energia cinética se escalona como k 2 e a energia potencial como k pode-se substituir s = ks, t = kt e u = ku, para transformar a função de onda na forma

com a consequente equação secular

A forma escalonada da função de onda simplifica muito o cálculo teórico, pois o parâmetro aparece no determinante e não explicitamente na função de onda, além de satisfazer implicitamente o teorema do virial.4

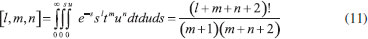
Todas as integrais envolvidas para o estabelecimento do calculo variacional serão analíticas e do tipo,

A prova dessa relação é simples, bastando observar que as passagens envolverão as integrais elementares

A generalização dos elementos de matriz para o hamiltoniano e para a integral de superposição é possível. Entretanto, antes de abordar essa generalização, ilustra-se o cálculo das integrais para alguns casos.

 

CÁLCULO DA ENERGIA COM UMA FUNÇÃO DE BASE

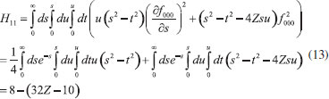
Para o problema unidimensional, com a função de base fooo = e-s/2, desenvolve-se

e,

mostrando que, para o caso do átomo de hélio (Z = 2), M = 8, L = 32 × 2 - 10 = 54, N = 32. Portanto, de acordo com a equação geral (10), tem de se resolver a equação 8k2 - 54k - 32E = 0, ou

O mínimo da energia em relação ao parâmetro variacional, , fornece  e, por conseguinte, E(kmin ) = -2,8477 au.

Esse resultado é igual a , como obtido em livros básicos de mecânica quântica.14 Entretanto, enfatiza-se que o caminho aqui apresentado, seguindo o trabalho de Hylleraas, simplifica consideravelmente os cálculos, pois o parâmetro variacional aparece como k2 e k, e não no exponencial da função de onda, como já enfatizado. Observa-se que o significado de k/2 é o mesmo de Zef, a carga atômica efetiva.

 

AS EQUAÇÕES DE CHANDRASEKHAR-HERZBERG

Expressões analíticas para as matrizes M, L e N são possíveis para qualquer conjunto de expoentes l, m, n na função de base flmn = e-s/2sltmun . O caso geral pode ser encontrado no trabalho original de Hylleraas, mas de uma forma mais didática no trabalho de Chandrasekhar e Herzberg.11

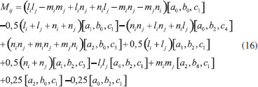
Definindo-se a0 = li + lj, a1 = li + lj + 1, a2 = li + lj + 2, a3 = li + lj - 1, a4 = li + lj - 2, com expressões semelhantes para m (letra b) e n (letra c) tem-se

com [a, b, c] já definido. No que se segue essas três equações serão denominadas de relações de Chandrasekhar-Herzberg. A prova dessas relações envolve uma álgebra trabalhosa e longa, com utilização do resultado da equação (11).

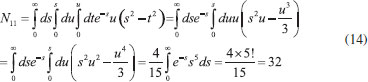
Para um exemplo da aplicação das relações de Chandrasekhar-Herzberg considera-se o cálculo do elemento de matriz N11, como desenvolvido na equação (14). Nesse caso, l1 = m1 = n1 = l2 = m2 = n2 = 0 e

confirmando o resultado feito diretamente por integração, equação (14). Os elementos de matriz podem ser calculados de forma análoga. Um programa geral para calcular essas matrizes conterá por volta de 20 comandos, como desenvolvido pelos autores do presente artigo.

 

SOLUÇÃO PARA DUAS FUNÇÕES DE BASE

As três matrizes necessárias para o cálculo variacional na base {e-s/2, e-s/2u} são dadas por

o que pode ser confirmado pelas equações de Chandrasekhar-Herzberg. Pela equação básica deve-se resolver o determinante

Uma solução analítica desse problema de dois estados pode ser desenvolvida, resolvendo-se o problema quadrático em E:

Que admite soluções

Já que k é positivo, tem-se para a raiz de menor valor:

O mínimo de E(k) fornece Kmin = 3.6994 com Emin = -2,8911 au, coincidindo com o resultado de 1929. Essas equações quadráticas não aparecem no trabalho original de Hylleraas, mas o problema certamente foi resolvido dessa maneira.

É importante observar que esse resultado analítico é simples e fornece uma precisão maior do que cálculos numéricos em estrutura eletrônica. O limite Hartree-Fock para o átomo de hélio foi calculado, usando uma base de alta qualidade, e é estabelecido em E = -2,8616 au, um resultado pior do que o aqui encontrado.

 

CÁLCULO DA ENERGIA COM TRÊS FUNÇÕES DE BASE

Para três estados com a base, f000 = e-s/2, f001 = ue-s/2, f020 = t2e-s/2, é necessário resolver

Para esse problema pode-se escrever a equação do terceiro grau e resolvê-la pelo método de Cardano,15 mas como a expressão obtida não e trivial, decidiu-se tomar outro caminho numérico.

Desenvolvendo-se o determinante, obtém-se

com

A raiz desse polinômio, que será a solução do problema, foi calculada pelo método de Newton:

Com . Com a condição inicial de Bohr (-3 au)16 e k = 3,69 obteve-se E = -2,9024 au, com apenas cinco iterações. Novamente esse resultado foi obtido por Hylleraas em 1929.2 O resultado é surpreendente: a solução de um problema com três funções de base já fornece três algarismos significativos se comparados com os exatos.12

 

O PROBLEMA DE SEIS FUNÇÕES DE BASE

Hylleraas resolveu também o problema com as seis funções de base

Para facilitar o uso da teoria apresentada e tornar o presente trabalho mais didático, são apresentadas as matrizes para essa base

Como esses cálculos eram feitos em 1929? O próprio Hylleraas responde, no seu artigo autobigráfico: os cálculos numéricos foram realizados em uma máquina de calcular Mercedes-Euclid, cuja figura pode ser apreciada em livros sobre a historia da computação,17 que também dava choques quando os cálculos eram realizados (... with the faculty of giving out not only veritable acoustic waves, but even respectable shock waves).6

Um programa numérico (em Matlab), de somente uma linha, pode reproduzir esse trabalho gigantesco de 1929. Se essas matrizes são substituídas no programa

obtém-se kmin = 3,5113 e Emin = -2,9033 au, um resultado preciso com 4 significativos, confirmando o trabalho de 1929.

O programa apresentado se presta para qualquer dimensão. Para ilustrar, considere m = [8]; l = [54]; n = [32], obtendo-se o resultado já calculado. Com esse mesmo programa e com as matrizes correspondentes, incluindo todos os termos na expansão ate os expoentes máximos lmax = 3, mmax = 8 e nmax = 6, tamanho da base igual a 140, calculou-se kmin = 3,983178 e E = -2,903724 au, indicando uma precisão de sete significativos. A Tabela 1 resume os resultados dos cálculos do presente trabalho.

 

 

RESULTADOS E DISCUSSÃO

O trabalho original de Hylleraas sobre o cálculo da energia no átomo de hélio foi apresentado e discutido de forma didática. Os resultados foram apresentados para as mesmas bases empregadas em 1929 e adicionalmente com 140 funções de base.

O cálculo com um conjunto de função de base, {e-s/2, e-s/2}, é equivalente ao cálculo apresentado em livros textos de mecânica quântica, apesar de uma abordagem mais simples. Com a base {e-s/2, e-s/2u} obtém-se um resultado analítico e simples, com uma precisão maior do que o limite Hartree-Fock para esse sistema, calculado em E = -2,8616 au. Esse resultado serve também como um teste para o modelo do campo central com um determinante, empregando-se a base gaussiana.

Uma base simples, como a de Hylleraas, é superior a um cálculo computacional nessa aproximação, pois as funções de base de Hylleraas, ao contrário da aproximação com um determinante, levam em conta a correlação explícita entre os elétrons, ao se incluir u como variável da função de onda.

O resultado clássico de Hylleraas é obtido com três e seis estados, já fornecendo três e quatro algarismos significativos, respectivamente. Ao se aumentar o tamanho da base a precisão tende a aumentar e obteve-se sete significativos com uma base modesta, de 140 funções de base.

Para apreciar ainda melhor os resultados obtidos, calculou-se a energia do hélio pelo método MRCI, extrapolando para o limite de base completa, obtendo-se E = -2,903784 au, teoricamente uma base infinita. Ainda assim o resultado com seis funções de base fornece um algarismo significativo a menos do que esse resultado com base infinita.

Cálculos foram realizados para outros átomos de dois elétrons com a mesma base de 140 termos. Para a sequência H-, Li+, Be2+ e B3+ foram obtidos, respectivamente, os resultados para as energias, -0,527750 au, -7,279913 au, -13,655565 au e -22,03097 au. Todos os resultados se encontram com sete algarismos significativos.

Variações do método discutido podem ser adaptadas, como por exemplo uma análise sensitiva das funções de base. Qual a importância relativa de cada termo na expansão seria uma pergunta fácil de se responder com o formalismo aqui apresentado. Os cálculos para os sistemas apresentados servem também para elucidar a equação apresentada por Hylleraas:

O resultado pode ser verificado, fornecendo três algarismos significativos. A série pode ser aumentando para se obter um resultado mais preciso, usando-se os dados fornecidos no presente trabalho.

O método de Hylleraas aqui discutido pode ser ensinado em cursos básicos de química quântica, especialmente no que se refere à aplicação do método.

 

AGRADECIMENTOS

Gostaríamos de agradecer ao CNPq pela ajuda financeira.

 

REFERÊNCIAS

1. Hylleraas, E. A.; Z. Phys. 1928, 48, 469.

2. Hylleraas, E. A.; Z. Phys. 1929, 54, 347.

3. Hylleraas, E. A.; Z. Phys. 1930, 65, 209.

4. Hylleraas, E. A. Em Advances in Quantum Chemistry; Lowdin, P.-O., ed.; Academic Press: New York, 1964, cap.1.

5. Hettema, H.; Quantum Chemistry: Classic Scientific Papers, World Scientific Publishing, 2000.

6. Hylleraas, E. A.; Rev. Mod. Phys. 1963, 35, 421.

7. Schrödinger, E.; Ann. Phys. 1926, 79, 361.

8. Schrödinger, E.; Collected Papers on Wave Mechanics. Blackie and Sons Limited: London and Glasgow, 1928.

9. Pauli, W.; Z. Phys. 1926, 36, 336.

10. Van Der Waerden, B. L.; Sources of Quantum Mechanics, Dover Publications: New York, 1967.

11. Chandrasekhar, S.; Herzberg, G.; Phys. Rev. 1955, 98, 1050.

12. Frankowski, K.; Pekeris, C. L.; Phys. Rev. 1966, 146, 46.

13. Hylleraas, E. A.; Mathematical and Theoretical Physics, 1st ed., John Wiley and Sons: Hoboken 1970.

14. Braga, J. P.; Fundamentos de Química Quântica, 1a ed, Editora UFV: Viçosa, 2007.

15. Lemes, N. H. T.; Oliveira, J. M.; Braga, J. P.; Quim. Nova 2010, 33, 1325.

16. Braga, J. P.; Filgueiras, C. A. L.; Lemes, N. H. T.; Quim. Nova 2013, 36, 1078.

17. Martin, E.; The Calculating Machines, The MIT Press: Cambridge, 1992.

On-line version ISSN 1678-7064 Printed version ISSN 0100-4042
Qu�mica Nova
Publica��es da Sociedade Brasileira de Qu�mica
Caixa Postal: 26037 05513-970 S�o Paulo - SP
Tel/Fax: +55.11.3032.2299/+55.11.3814.3602
Free access

GN1