JBCS



8:28, seg out 20

Acesso Aberto/TP



Artigo


Análise do teor e da qualidade dos lipídeos presentes em sementes de oleaginosas por RMN de baixo campo
Analysis of oil content and oil quality in oilseeds by low-field NMR

André F. ConstantinoI; Valdemar Lacerda Jr.*, I; Reginaldo B. dos SantosI; Sandro J. GrecoI; Renzo C. SilvaI; Alvaro C. NetoI; Lúcio L. BarbosaI; Eustáquio V. R. de CastroI; Jair C. C. FreitasII

IDepartamento de Química, Universidade Federal do Espírito Santo, Avenida Fernando Ferrari 514, 29075-910 Vitória - ES, Brasil
IIDepartamento de Física, Universidade Federal do Espírito Santo, Avenida Fernando Ferrari 514, 29075-910 Vitória - ES, Brasil

Recebido em 14/02/2013
Aceito em 10/09/2013
Publicado na web em 09/10/2013

Endereço para correspondência

*e-mail: vljuniorqui@gmail.com

RESUMO

To choose among the variety of oleaginous plants for biodiesel production, the oil content of several matrices was determined through different low-field 1H nuclear magnetic resonance (NMR) experiments with varied pulse sequences, namely single-pulse, spin-echo, CPMG, and CWFP. The experiments that involved the first three sequences showed high correlation with each other and with the solvent extraction method. The quality of the vegetable oils was also evaluated on the basis of the existing correlation between the T2 values of the oils and their properties, such as viscosity, iodine index, and cetane index. These analyses were performed using HCA and PCA chemometric tools. The results were sufficiently significant to allow separation of the oleaginous matrices according to their quality. Thus, the low-field 1H NMR technique was confirmed as an important tool to aid in the selection of oleaginous matrices for biodiesel production.

Palavras-chave: low-field NMR; biodiesel; oleaginous plants.

INTRODUÇÃO

Diante da necessidade da busca de novas fontes oleaginosas que sejam adequadas como matéria-prima para a síntese de biodiesel, devido à crescente demanda nacional de produção desse biocombustível, pesquisas têm sido voltadas para a seleção de sementes que atendam essa necessidade e possam ajudar a abastecer o mercado, altamente aquecido. Para realizar o processo de seleção é indispensável conhecer o teor e a qualidade do óleo das sementes. O método clássico utilizado na avaliação do teor de óleo é a extração por solvente, um processo demorado e destrutivo em relação às amostras. A ressonância magnética nuclear de hidrogênio (RMN de 1H) é um método alternativo que pode fornecer o teor de forma rápida, sem destruir a amostra. Além disso, os resultados são coletados, processados e armazenados diretamente em microcomputador.1-4

As análises para determinação do teor de óleo em sementes por RMN de baixo campo se baseiam na correlação que existe entre a intensidade do sinal ou do eco - que é proporcional à concentração de hidrogênio na amostra - e a concentração de óleo no produto a ser analisado. Nos experimentos com aplicação da sequência de pulso único (90º) o sinal de decaimento (FID - free induction decay) é governado pela constante de tempo T2*, que consiste no tempo de relaxação transversal (T2) sofrendo influência da inomogeneidade do campo magnético (ΔB0), Equação 1. Nessa equação, γ representa a razão magnetogírica dos núcleos de 1H.3

 

 

Para suprimir o efeito da inomogeneidade do campo magnético nas medidas de T2 por campo pulsado, Hahn (1950) propôs a sequência de spin-eco, que consistia na aplicação de dois pulsos de 90º separados por um intervalo de tempo τ.5 Pouco tempo depois, em 1954, essa técnica foi modificada por Carr e Purcell, que substituíram o segundo pulso de 90º por um pulso de 180º.6 Nos experimentos com uso dessa sequência, após o pulso de 90º, o sinal decairá com constante de tempo T2* (como na técnica de pulso único) e após o segundo pulso será gerado um eco do sinal.6

A intensidade do sinal do eco de spin é afetada pelo efeito de difusão molecular devido ao movimento Browniano, que corresponde à energia cinética das moléculas, o que pode inviabilizar as medidas de T2 em substâncias líquidas, ou em solução, em campos magnéticos inomogêneos.5,6 Sendo assim, a intensidade do sinal do eco é descrita pela Equação 2 que leva em consideração o efeito de difusão.

 

 

onde: D é o coeficiente de difusão da molécula e M0 a intensidade do sinal no equilíbrio térmico.

Na aplicação da sequência de CPMG (Carr-Purcell-Meiboom-Gill),7 a inomogeneidade do campo magnético não interfere na análise e o efeito de difusão pode ser desprezível com o uso de valores de τ suficientemente pequenos, dessa forma, o sinal de decaimento está relacionado ao tempo de relaxação transversal (T2). Nessa técnica, após o pulso de 90º e um intervalo de tempo τ são aplicados n pulsos de 180º, separados por 2τ. Assim, como na técnica de spin-eco, após o pulso de 90º, o sinal decairá com constante de tempo T2* e após o segundo pulso serão gerados ecos do sinal. O sinal de decaimento na técnica de CPMG, que é governado por T2, está relacionado ao decréscimo progressivo de intensidade dos ecos.7,8 A Equação 3 demonstra a dependência das amplitudes dos sinais dos ecos (Ieco) com τ, M0 e T2.8

 

 

Os experimentos de CWFP (Continuous Wave Free Precession) consistem na aplicação de n pulsos de 90º separados por um intervalo de tempo τ. Tais experimentos dependem dos dois tempos de relaxação, longitudinal e transversal (T1 e T2, respectivamente), e eles são caracterizados por atingirem um estado estacionário após alguns milissegundos, dessa forma a amplitude do sinal não decai a zero. A Equação 4 correlaciona a intensidade do sinal no estado estacionário com T1 e T2. Nessa equação MEE é a intensidade do sinal no estado estacionário.9,10

 

 

O sinal de CWFP é uma combinação das componentes do FID e eco de spin, que estão sempre defasados em 180º. Dependendo do ângulo de defasagem (Ψ), formado entre a projeção da magnetização no plano xy e o eixo y, essa combinação pode apresentar uma interferência construtiva ou destrutiva entre as componentes. Quando o ângulo de defasagem Ψ é múltiplo ímpar de π (Equação 5), a interferência é construtiva. Já quando o ângulo Ψ é múltiplo par de π a interferência entre o FID e o eco é destrutiva. Na Equação 5, n é um número inteiro, Δω é a frequência de offset em rad s-1 e τ é o tempo entre os pulsos. A frequência de offset representa a diferença entre a frequência de precessão do núcleo (ω) e a frequência do referencial rotativo (ω0), Δω = ω - ω0. Ou seja, a sequência de CWFP trata de pulsos fora de ressonância.11

 

 

As grandes vantagens do uso de CWFP em relação às outras técnicas são devidas às análises ultrarrápidas, podendo-se acumular vários sinais em intervalos de tempo muito curtos. O curto período de aquisição do sinal permite o uso dessa técnica em análises on-line.12,13

Na análise do teor de lipídeos é necessário fazer uma curva analítica entre a intensidade do sinal de RMN, ou do eco, e a concentração de amostras padrões, visto que esses parâmetros apresentam uma relação linear. Com a curva de calibração e a partir da equação matemática que rege a mesma, obtém-se a concentração de uma substância em uma amostra desconhecida somente com a medida da amplitude do seu sinal de RMN.1

Para a determinação da presença de apenas um dos componentes de uma amostra heterogênea, como a do teor de óleo em sementes, é necessário discriminar os vários constituintes da amostra que contêm hidrogênio, baseando-se nas diferenças de seus tempos de relaxação transversal (T2), para que se obtenha somente a intensidade do sinal do óleo. Os sinais devidos aos materiais sólidos, proteínas e carboidratos, ou a grupos com baixa mobilidade, como a umidade, apresentam tempo de relaxação curto, alguns microssegundos, decaindo rapidamente. Já os da água livre e do óleo, apresentam T2 longo, alguns milissegundos, decaindo mais lentamente. Assim, para analisar os componentes líquidos mede-se a intensidade do sinal de decaimento após o completo decaimento do sinal dos sólidos.1,3,13,14

O sinal da água livre é eliminado secando-se completamente as sementes ou com desidratação parcial, até que reste no máximo 5%, onde o tempo de relaxação da água é bem mais curto que o do óleo. Com isso, só o óleo contribui para o sinal de RMN após alguns milissegundos.1,3,14 Nesse ponto, as sequências de CPMG e spin-eco apresentam uma vantagem em relação às outras, pulso único e CWFP, uma vez que o teor de umidade não contribui para o sinal de RMN quando se aplica as técnicas de CPMG e spin-eco, com valores de τ suficientemente longos, tornando a etapa de desidratação desnecessária.3

No que tange à qualidade do óleo, sabe-se que ela interfere em várias propriedades do biodiesel, tais como: calor de combustão, qualidade de ignição, ponto de fluidez, estabilidade oxidativa, viscosidade, lubricidade, etc. Embora todos esses fatores contribuam para o bom desempenho do combustível, as principais características que determinam a qualidade e a identidade do combustível são a qualidade de ignição (determinada pelo índice de cetano, CN), a viscosidade cinemática (µ) e a estabilidade oxidativa (estimada pelo índice de iodo).15

Biodieseis de óleos poliinsaturados são menos estáveis à oxidação do que os de monoinsaturados e saturados.16,17 Como as posições das duplas ligações na cadeia também interferem no grau de estabilidade oxidativa, e não somente o número delas, oficialmente a avaliação da estabilidade oxidativa é realizada de acordo com a metodologia EN 14112, na qual utiliza-se o método de Rancimat a 110º C, com um tempo mínimo aceitável de indução de 6 h.16,18 Entretanto, a estimativa realizada pelo índice de iodo é suficiente para as discussões que serão aqui desenvolvidas.

No que tange à viscosidade, ela aumenta com o aumento da cadeia dos ácidos graxos e diminui com o aumento do número de insaturações. Além disso, os ácidos graxos saturados possuem maior tendência de se solidificarem em baixas temperaturas.16,19,20 Com relação ao índice de cetano, ele também aumenta com o aumento da cadeia dos ácidos graxos e diminui com o aumento de insaturações.16,20 Assim, os óleos vegetais mais estudados são os que apresentam elevada concentração de ácido oléico (C18:1), pois esse ácido graxo é pouco suscetível à oxidação e possui viscosidade e índice de cetano adequados.

A RMN de 1H também tem se apresentado como uma interessante ferramenta no estudo da qualidade dos óleos vegetais para produção de biodiesel.15 Nesses estudos, os pontos da curva de decaimento do sinal de RMN das amostras de óleo vegetal, obtida pela técnica de CPMG, podem ser utilizados nos métodos quimiométricos de HCA (Análise de Agrupamentos Hierárquicos - Hierarchical Cluster Analysis) e PCA (Análise de Componentes Principais - Principal Component Analysis). A partir desse procedimento, os agrupamentos das amostras podem ser relacionados aos seus valores de viscosidade cinemática, índice de cetano e índice de iodo.

Na técnica de HCA, cada amostra é considerada um ponto no espaço multidimensional descrito pelas variáveis escolhidas. No tratamento matemático são avaliadas as similaridades entre as amostras medindo-se as distâncias de um ponto ao outro. As amostras com menores distâncias entre si são, então, colocadas em um mesmo grupo.21 A PCA é uma técnica estatística de análise multivariada que possibilita investigações com um grande número de dados disponíveis. A análise tem por objetivo reduzir o número de variáveis que descrevem as amostras para apresentar as similaridades e diferenças entre elas. O método é considerado fatorial, pois a redução do número de variáveis não se faz por uma simples seleção de algumas variáveis, mas pela construção de novas variáveis sintéticas, obtidas pela combinação linear das variáveis iniciais, por meio dos fatores.21

Neste trabalho, inicialmente, correlacionou-se o método de extração por solvente com os resultados de diferentes experimentos de RMN de 1H de baixo campo. Em seguida, o teor de óleo em diferentes matrizes oleaginosas foi analisado utilizando esses mesmos experimentos. Além disso, os dados gerados por RMN também foram utilizados para avaliação da qualidade dos óleos vegetais com o auxílio de ferramentas quimiométricas. Sendo assim, a RMN de 1H é apresentada como uma técnica vantajosa para avaliar tanto o teor quanto a qualidade de óleos vegetais em sementes oleaginosas, devido aos curtos períodos de análise e à característica não destrutiva da técnica.

 

PARTE EXPERIMENTAL

O equipamento de RMN de baixo campo utilizado nas etapas de análise foi o MARAN Ultra - 2, da Oxford Instruments, operando com campo magnético de 52 mT (frequência de ressonância de 2,2 MHz para ¹H), conduzido por uma sonda de 51 mm de diâmetro. A temperatura de medida foi igual a 27,5 ± 0,5 ºC, sendo que, antes das análises, as amostras foram acondicionadas nessa temperatura durante quinze minutos. As sequências de pulsos utilizadas para análise foram as de pulso único (90º), spin-eco, CPMG e CWFP.

Em todas as etapas de análise nas quais se utilizaram as sequências de pulso único, spin-eco e CPMG, foram somados 32 transientes, com tempo de repetição de 2 s. Quando se aplicou pulso único, foram selecionados 4096 pontos da curva de decaimento do sinal (FID), com tempo de amostragem de 2 µs, totalizando um tempo de aquisição de 8,2 ms. Para as análises por CPMG utilizou-se um tempo τ de 100 µs, apenas os ecos pares foram utilizados e adquiriu-se um ponto por eco em um total de 2048 ecos. Nas análises por spin-eco, τ também foi de 100 µs e foram adquiridos 32 pontos do eco, com tempo de amostragem de 0,5 µs, totalizando um tempo de aquisição de 16 µs.

As análises com a sequência CWFP foram realizadas com um trem de 4096 pulsos de 90º de 8 µs separados por um tempo τ de 300 µs. Foram realizadas aquisições de todos os ecos, sendo selecionado um ponto por eco com tempo de amostragem de 1 µs. Utilizou-se uma frequência de offset de 5 kHz equivalente a um ângulo de defasagem (Ψ) de 3π e apenas uma aquisição foi realizada.

A Tabela 1 apresenta as matrizes oleaginosas selecionadas para estudo com a indicação dos respectivos experimentos realizados com as mesmas - determinação do teor e avaliação da qualidade do óleo presente em suas sementes ou somente avaliação da qualidade.

 

 

Primeiramente, para determinação do teor de óleo das matrizes, construíram-se quatro curvas analíticas para cada oleaginosa estudada, uma para cada sequência de pulsos aplicada, com amostras padrões do óleo vegetal extraído de cada uma delas. Na construção das curvas analíticas com uso da sequência de pulso único, relacionou-se a massa de óleo com a amplitude inicial da curva de decaimento do sinal de RMN de 1H, sendo coletados os valores de intensidade dos 16 pontos iniciais do FID e calculando-se uma média dos mesmos.

As curvas analíticas obtidas a partir da aplicação de CPMG relacionaram a massa de óleo com a média de amplitude dos 16 primeiros ecos gerados. Já com a aplicação de spin-eco, a massa de óleo foi relacionada com a média de intensidade dos 16 primeiros pontos do eco. Quando a sequência de CWFP foi utilizada, correlacionou-se, na curva analítica, a massa de óleo com a média de intensidade dos 16 últimos pontos da curva de decaimento do sinal (região de estado estacionário).

Após a construção das curvas analíticas, sementes de cada matriz foram cortadas ou trituradas (dependendo do tamanho das sementes) para formar três amostras para cada matriz, com aproximadamente 30 g cada uma. Então, tais amostras foram analisadas utilizando-se as sequências de CPMG e spin-eco, depois foram desidratadas em estufa a 100 ºC por 1 h. Em seguida, as amostras foram analisadas utilizando experimentos de pulso único, spin-eco, CPMG e CWFP. As análises por CPMG e spin-eco antes do processo de desidratação foram realizadas para investigar se essa etapa do processo é realmente necessária quando se aplicam essas sequências.

A extração do óleo das amostras ocorreu em sistema soxhlet sendo utilizado hexano como solvente extrator. O sistema ficou sob refluxo durante 48 h e, depois de resfriado, o material vegetal foi colocado para secar. A solução extratora resultante foi seca com sulfato de sódio anidro para eliminar os vestígios de água livre. Após filtrar a solução, o solvente foi removido no evaporador rotatório e a massa de óleo extraída foi devidamente pesada.

Depois de secas, as amostras de sementes foram novamente analisadas a partir das sequências de pulso único, spin-eco, CPMG e CWFP. As análises por RMN de 1H do teor de óleo das amostras de sementes, pré e pós-extração dos lipídios, permitiram calcular o rendimento do processo de extração por esse método, para comparação com o método clássico de extração por solvente.

No processo de avaliação da qualidade dos óleos das matrizes como matéria-prima para produção de biodiesel, aproximadamente 30 g de óleo de cada matriz foram analisados por CPMG em triplicata, utilizando os mesmos parâmetros anteriores. Selecionaram-se, então, os valores de amplitude dos 1000 primeiros ecos de cada matriz alocando-os em 1000 colunas. Esses valores foram autoescalados, ou seja, cada valor de intensidade de uma determinada coluna foi subtraído do valor de intensidade média e dividido pelo desvio padrão, ambos da referida coluna. Sendo assim, os estudos quimiométricos de análise de agrupamentos hierárquicos (HCA) e análise de componentes principais (PCA) foram realizados com esses dados autoescalados utilizando-se o software Minitab, versão 14.22

Os agrupamentos das matrizes oleaginosas foram justificados de acordo com os seguintes parâmetros dos biodieseis produzidos a partir delas: viscosidade cinemática, índice de cetano e índice de iodo. Apenas para avaliação qualitativa e confirmação dos agrupamentos, esses parâmetros de qualidade foram previstos de acordo com equações baseadas nas composições em ácidos graxos dos óleos vegetais.15,23

 

RESULTADOS E DISCUSSÃO

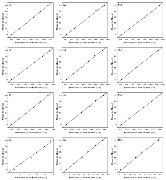
As curvas analíticas de três matrizes oleaginosas, construídas para relacionar a intensidade do sinal de RMN de 1H com o teor de óleo das amostras de sementes, são apresentadas na Figura 1, para exemplificação. Em tais curvas, a intensidade do sinal de RMN é a média das intensidades dos 16 pontos selecionados do FID, da curva de decaimento, do eco ou do sinal em regime estacionário, dependendo da sequência em questão, correspondentes aos experimentos realizados com cada amostra padrão. O processo de seleção dos pontos muda de acordo com a sequência de pulsos aplicada, conforme descrito na parte experimental. As curvas estão de acordo com o esperado, pois elas são resultado da relação linear existente entre a intensidade do sinal de RMN de 1H e a concentração de hidrogênio presente nas amostras.

 


Figura 1. Curvas analíticas para as sementes de cutieira (I), girassol (II) e soja (III), de acordo com a sequência de pulsos aplicada: a) pulso único; b) spin-eco; c) CPMG e d) CWFP

 

Os valores obtidos para os coeficientes de determinação (R2) das curvas analíticas de todas as matrizes analisadas foram muito satisfatórios, sendo exibidos na Tabela 2.

 

 

A partir das análises por RMN de 1H das amostras de sementes, pré e pós-extração do óleo, pôde-se calcular o rendimento do processo de extração, de acordo com a Equação 6, para posterior comparação com o rendimento calculado pelo método da extração por solvente (m/m).

 

 

Dados: Ti é o teor de óleo antes da extração, Tf é o teor após a extração e m é a massa da amostra de sementes. Vale ressaltar que Ti e Tf são obtidos através das equações lineares que descrevem as curvas analíticas das oleaginosas em estudo de acordo com a sequência de pulsos aplicada. Por exemplo, as equações para a soja são apresentadas a seguir:

 

 

Nas equações I representa a intensidade do sinal de RMN de 1H para a amostra de semente em estudo, a qual foi obtida da mesma forma que para as amostras padrões.

Assim, com base nas equações 6 a 10, calcularam-se os rendimentos dos processos de extração pelos dois métodos, extração por solvente (m/m) e RMN de 1H de baixo campo, para as amostras de soja. Os resultados obtidos, juntamente com os valores referentes às amostras das outras matrizes oleaginosas, foram correlacionados na Figura 2.

 


Figura 2. Comparaçao entre os valores dos rendimentos obtidos pelo método de RMN e por extraçao por solvente, de acordo com as respectivas sequências de pulsos: a) pulso único; b) spin-eco; c) CPMG e d) CWFP. Em cada gráfico as retas contínuas representam as curvas de correlaçao e as tracejadas correspondem à funçao identidade

 

Verifica-se que o método de extração por solvente produziu valores um pouco acima dos obtidos por RMN. Em termos de valores absolutos, constata-se que os erros médios nas predições dos rendimentos dos processos de extração por RMN foram de 15,0; 12,2; 10,1 e 23,1%, para as respectivas sequências de pulsos aplicadas: pulso único; spin-eco; CPMG e CWFP.

Apesar dos erros médios resultantes, as comparações entre os valores de rendimento obtidos pelos métodos de RMN e extração por solvente, Figura 2, indicam a alta correlação existente entre os dois métodos quando se utiliza as sequências de pulso único, spin-eco e CPMG, como pode ser observado em (a), (b) e (c). Já nos experimentos com aplicação da sequência de CWFP a correlação com o método de extração por solvente foi baixa, vide (d) na Figura 2.

A extração de substâncias das sementes que não contribuem para o sinal de RMN de 1H pela ocorrência de valores de T2 excessivamente baixos, como a mucilagem que apresenta em sua composição proteínas e carboidratos, podem aumentar os rendimentos dos processos de extração calculados pelo método clássico.1,3,13,14 Porém, a quantidade de mucilagem extraída é pequena e, portanto, essa contribuição não é a única responsável pelas diferenças dos rendimentos calculados entre os dois métodos. O teor de óleo das amostras após a extração também pode ter sido superestimado por algum offset no equipamento de RMN, o que provoca um decréscimo no rendimento calculado por esse método.

Nas análises por CWFP, o que contribui consideravelmente para o erro médio - muito superior aos obtidos pelo uso das outras sequências - são as baixas razões sinal/ruído nas etapas de análise (entre 10 e 30). Isso pode ser confirmado pela dispersão dos pontos na Figura 2d. Para contornar esse problema, os experimentos com uso de CWFP foram repetidos aumentando-se o número de transientes obtidas para 4. Sendo assim, a razão sinal/ruído foi elevada e o erro médio passou para 19,1%, uma pequena melhora. Outro aspecto relativo ao uso da sequência de CWFP é que a largura de pulsos deve ser finamente calibrada,9-11 e como as amostras apresentavam grande volume a calibração dos pulsos sempre vai apresentar imperfeições, já que o campo de radiofrequência (B1) apresentará naturalmente uma inomogeneidade ao longo do volume da amostra.

Para as análises com uso das sequências de pulso único e spin-eco, pode-se, ainda, listar mais um fator que contribui para os erros médios. Como os decaimentos do FID e do eco dependem da inomogeneidade do campo magnético (ΔB0), as alturas das amostras padrões, utilizadas para fazer as curvas de calibração, dentro dos tubos de análise, deveriam ser as mesmas das amostras de sementes. Dessa forma os sinais obtidos em todas as etapas de análise seriam afetados da mesma forma pela inomogeneidade do campo magnético, minimizando a contribuição desse efeito sobre os resultados.24

A alta correlação entre os métodos de extração por solvente e RMN de 1H de baixo campo, quando se utiliza pulso único, spin-eco e CPMG, confirma a eficiência dessas análises na determinação dos teores de lipídeos das sementes de matrizes oleaginosas. Dessa forma, os teores de óleo das matrizes estudadas foram obtidos a partir da Equação 11, sendo os resultados apresentados na Tabela 3. Para esses cálculos, os valores de Ti (teor de óleo antes da extração) foram obtidos por meio das equações lineares que descrevem as curvas analíticas de cada oleaginosa (Equações 7 a 10 para a soja).

 

 

 

 

A grande vantagem do uso das sequências de CPMG e spin-eco é a possibilidade de eliminar a etapa de desidratação das sementes.3 Conforme verificado pela diferença pequena entre os teores encontrados por CPMG, com ou sem desidratação, mostrados na Tabela 3, a etapa de desidratação pode ser eliminada quando se utiliza essa sequência. Entretanto, o mesmo não é válido quando se aplica a sequência spin-eco, visto que a água contribuiu para o sinal de RMN quando o processo de desidratação não foi realizado.

Essa diferença ocorre porque, quando se aplicou CPMG, a intensidade do sinal de RMN foi dada a partir da média de intensidade dos 16 primeiros ecos. Sendo assim, a água pode contribuir apenas para a intensidade dos primeiros ecos, relaxando depois devido ao tempo decorrido durante a aplicação dos pulsos. Logo, no resultado final essa contribuição acaba sendo pequena. Já quando a sequência de spin-eco foi utilizada, a intensidade do sinal de RMN foi calculada a partir da média dos 16 pontos de um único eco. Dessa forma, a água acabou contribuindo para o sinal porque τ foi pequeno (100 µs), não permitindo que a água relaxasse totalmente.

Além da correlação com o método de extração por solvente ter sido baixa quando se utilizou a sequência de CWFP, os teores de óleo das matrizes encontrados nesses experimentos não foram compatíveis com os obtidos a partir do uso das outras sequências de pulsos, apesar de em alguns casos os valores terem sido próximos. E, ainda, de acordo com a Tabela 3, os teores médios obtidos por CWFP são os que apresentam maior desvio padrão. Portanto, torna-se necessário fazer novos testes com o uso dessa sequência, de forma a encontrar os parâmetros adequados que tornem seu uso mais conveniente, uma vez que o uso de CWFP é interessante devido à possibilidade de alterar parâmetros do processo industrial e realizar seleção de amostras em tempo real, pois o período de análise é curto.12,13 Enquanto os experimentos com uso dessa sequência duraram em torno de 2 s para aquisição do sinal, as análises por pulso único, spin-eco e CPMG duraram de 60 a 180 segundos. Nos experimentos aqui descritos, essa diferença de tempo não é tão relevante, contudo, em análises on-line o curto tempo de aquisição do sinal por CWFP permite a análise de milhares de sementes por hora.13

Vale ressaltar que a quantidade de óleo extraída é inferior ao teor de lipídeos, conforme pode ser observado pelos resultados deste trabalho. As amostras de cutieira, por exemplo, com teor médio de 52,4% de lipídeos (valor obtido pela sequência de CPMG com desidratação, Tabela 3), resultaram em uma extração média de 45,7%. Nas indústrias, o método de prensagem é o mais utilizado para realizar os processos de extração com o objetivo de remover todo o óleo presente nas sementes.

As análises para avaliação da qualidade dos óleos vegetais foram realizadas com o uso da sequência de CPMG, uma vez que a curva de decaimento do sinal obtida por essa sequência é governada por T2, parâmetro que, em geral, apresenta correlação inversa com os valores de viscosidade dos óleos.15,25 Além disso, os melhores resultados apresentados nas análises de teor de lipídeos foram obtidos com o uso dessa sequência, tornando-a mais interessante.

A correlação inversa existente entre a viscosidade dos óleos vegetais e seus valores de T2 pode ser explicada a partir do tempo de correlação das moléculas (τc). O tempo de correlação é definido como o tempo médio necessário para a molécula rodar através de um ângulo de 1 radiano em torno de qualquer eixo. Moléculas com menor mobilidade apresentam maiores valores de τc, fazendo com que os spins nucleares tenham valores de T2 pequenos. Por outro lado, moléculas em um ambiente de menor viscosidade terão τc curtos e, consequentemente, maiores valores de T2.26

A Figura 3 apresenta os sinais obtidos para seis amostras oleaginosas, nas quais curvas com decaimento mais rápido apresentam menores valores de T2. Verifica-se que a ordem crescente de viscosidade para as amostras é a seguinte: cutieira (0,140 s) < soja (0,122 s) < amendoim (0,095 s) < dendê (0,077 s) < tungue (0,031 s) < mamona (0,016 s). Os valores entre parênteses são as constantes de relaxação transversal das amostras.

 


Figura 3. Sinais de decaimento de seis amostras obtidos pela sequência de pulsos de CPMG

 

A viscosidade dos óleos vegetais é dependente da composição em ácidos graxos dos mesmos. O aumento da cadeia dos ácidos graxos eleva a viscosidade e, para compostos com mesmo tamanho de cadeia, quanto maior o grau de insaturações menor a viscosidade.19,23

O maior valor de T2 do óleo de cutieira indica sua menor viscosidade, que é devida ao seu alto percentual de ácido linoleico (C18:2), 76,6%.27 Já o óleo de mamona, com o menor valor de T2, é o mais viscoso, uma consequência da presença de 86,0% de ácido ricinoleico (C18:1-OH) em sua composição.28 A presença da hidroxila no carbono 12 desse ácido graxo aumenta as ligações de hidrogênio intermoleculares incrementando a viscosidade do óleo. Comparando a soja e o amendoim, que apresentam composições químicas semelhantes, com os principais ácidos graxos apresentando 18 átomos de carbono, as diferenças de viscosidade são devidas ao grau de insaturação. A soja é mais rica em ácido linoleico (C18:2),29 apresentando maior valor de T2 e menor viscosidade, enquanto o amendoim é rico em ácido oleico (C18:1),23 possuindo menor T2 e maior viscosidade.

Com relação às análises quimiométricas, o dendograma e o gráfico de escores obtidos pelas análises de HCA e PCA são apresentados nas Figuras 4 e 5, respectivamente. No gráfico de escores a divisão dos grupos foi realizada com base nos clusters gerados por HCA. Em tais figuras, os números representam as amostras de acordo com a classificação da Tabela 1.

 


Figura 4. Dendograma resultante da análise de HCA dos dados obtidos por CPMG

 

 


Figura 5. Gráfico de escores resultante da análise de PCA dos dados obtidos por CPMG

 

Verifica-se a partir do dendograma que com um grau de similaridade de 44,3% são formados 4 grupos distintos de matrizes oleaginosas. Essa divisão pode ser diretamente correlacionada às composições em ácidos graxos das amostras e consequentemente à qualidade dos óleos. O gráfico de escores apresenta a mesma divisão dos grupos e ressalta-se que a soma das duas primeiras componentes principais (PC1 e PC2) corresponde a 99,5% de variância acumulativa do modelo, sendo 94,2% de PC1 e 5,3% de PC2.

O sentido do aumento da viscosidade das amostras está diretamente relacionado à PC1, sendo da direita para a esquerda. Já os aumentos dos índices de cetano e de iodo estão relacionados à PC2: o índice de cetano aumenta de cima para baixo e o de iodo segue o sentido oposto. O posicionamento das matrizes do Grupo D, entretanto, se enquadra apenas na tendência de aumento da viscosidade. Vale ressaltar que a viscosidade e o índice de iodo apresentam correlação inversa com a qualidade dos óleos para produção de biodiesel, já o índice de cetano apresenta correlação direta.

No grupo A estão presentes as matrizes que apresentam elevados teores de ácido oleico: amendoim, canola, dendê e nabo forrageiro.23,30 Esse ácido graxo confere aos biodieseis, originados dessas matrizes, viscosidades adequadas, baixos índices de iodo e elevados índices de cetano. No mesmo grupo encontra-se o babaçu que é rico em ácido láurico.31 Esse ácido graxo, por possuir cadeia mais curta e saturada, também apresenta viscosidade adequada, baixo índice de iodo e alto índice de cetano, entretanto, ele apresenta maior possibilidade de se solidificar durante o armazenamento e uso do biocombustível.16

As matrizes do grupo B: girassol, milho, soja e pinhão manso; apresentam menor proporção de ácido oleico do que as do grupo A, porém são compostas por uma maior concentração de ácido linoleico.28,29 Sendo assim, os biodieseis provenientes das matrizes do grupo B serão menos viscosos e apresentarão maiores índices de iodo e menores índices de cetano do que os oriundos do grupo A.

Cutieira, linhaça e nogueira de iguape constituem o grupo C: as matrizes com menor viscosidade. Ambas apresentam elevado teor de ácidos graxos poli-insaturados, linoleico (C18:2) e/ou linolênico (C18:3).27,28,32 Apesar da baixa viscosidade originada pela composição relativa desses ácidos graxos, o alto grau de insaturação eleva muito os índices de iodo e baixa consideravelmente os índices de cetano das matrizes.

O grupo D é formado pelas matrizes oleaginosas mais viscosas: mamona, munguba e tungue. Conforme já mencionado anteriormente, a elevada viscosidade da mamona é devida a seu alto percentual de ácido ricinoleico, que é ausente nas demais matrizes.28 Nesse mesmo sentido, o tungue apresenta elevado teor de ácido α-eleosteárico (82,2%) que confere a alta viscosidade e também é ausente nas demais matrizes.33 Já a munguba apresenta elevado teor de ácido palmítico, 68,3%, que é saturado.34

A partir dos resultados obtidos, verifica-se que o método de RMN de 1H pode ser utilizado como ferramenta na escolha de novas matrizes que sejam adequadas para a produção de biodiesel. Nesse sentido, as avaliações devem levar em consideração não somente o teor e a qualidade do óleo presente nas sementes, mas também fatores como geografia, clima, economia e desenvolvimento social.35 Isso porque fatores como alta viscosidade do biodiesel, por exemplo, podem ser contornados no processo de mistura com o diesel ou até mesmo na mistura com outros biodieseis de viscosidade menores.36

 

CONCLUSÕES

As análises de RMN de 1H de baixo campo por pulso único, spin-eco e CPMG mostraram-se métodos eficientes na determinação dos teores de óleos das sementes de matrizes oleaginosas e, também, na previsão, com boa precisão, dos rendimentos dos processos de extração por solvente, por meio da correlação existente entre os dois métodos. A sequência de CPMG ainda apresentou a vantagem de poder eliminar a etapa de desidratação do processo de análise.

Com relação aos experimentos conduzidos por CWFP, os teores de óleo encontrados não foram compatíveis com os das outras sequên­cias para a maioria das matrizes, além disso, os valores apresentaram desvios padrões superiores. Outro ponto negativo foi a baixa correlação com o método de extração por solvente.

Os estudos por RMN de 1H também confirmaram a correlação existente entre os dados obtidos por CPMG e parâmetros de qualidade dos óleos. Nesse sentido as análises quimiométricas de agrupamentos hierárquicos (HCA) e de componentes principais (PCA) realizadas com esses dados foram ferramentas importantes para discriminação dos grupos de oleaginosas de acordo com sua composição em ácidos graxos e, consequentemente, de acordo com seus parâmetros de viscosidade, índice de iodo e índice de cetano, que caracterizam a qualidade dos óleos.

Assim, somando-se a vantagem de que a técnica de RMN de baixo campo é rápida e não destrutiva em relação às amostras, essa técnica pode ser usada como ferramenta para auxiliar no processo de seleção de novas sementes oleaginosas como matéria-prima para a produção de biodiesel.

 

AGRADECIMENTOS

Nós agradecemos aos órgãos financiadores pelo suporte, CAPES, CNPq e FAPES, ao Núcleo de Competências em Química do Petróleo pela disponibilização do equipamento de RMN e ao Programa de Pós Graduação em Química ao qual somos vinculados.

 

REFERÊNCIAS

1. Colnago, L. A.; Embrapa-CNPDIA, Circular Técnica 1996, 3, 14 p.

2. Godoy, I. J.; Teixeira, J. P. F.; Nagai, V.; Rettori, C.; Bragantia 1986, 45, 161.

3. Gambhir, P. N.; Trends Food Sci. Technol. 1992, 3, 191.

4. Belton, P. S.; Delgadillo, I.; Gil, A. M.; Webb, G. A.; ed. Magnetic resonance in food science, The Royal Chemistry Society: London, 1995.

5. Hanh, E. L.; Phys. Rev. 1950, 80, 580.

6. Carr, H. Y.; Purcell, E. M.; Phys. Rev. 1954, 94, 630.

7. Meiboom, S.; Gill, D.; Rev. Sci. Instrum. 1958, 29, 688.

8. Andrade, F. D.; Netto, A. M.; Colnago, L. A.; Talanta 2011, 84, 84.

9. Kronenbiter, J.; Schwenk, A.; J. Magn. Reson. 1977, 25, 147.

10. Venâncio, T.; Engelsberg, M.; Azeredo, R. B. V.; Alem, N. E. R.; Colnago, L. A.; J. Magn. Reson. 2005, 173, 34.

11. Azeredo, R. B. V.; Colnago, L. A.; Engelsberg, M.; Anal. Chem. 2000, 72, 2401.

12. Azeredo, R. B. V.; Engelsberg, M.; Colnago, L. A.; Phys. Rev. E. 2001, 6401, 6309.

13. Colnago, L. A.; Engelsberg, M.; Souza, A. A.; Barbosa, L. L.; Anal. Chem. 2007, 79, 1271.

14. Azeredo, R. B. V.; Colnago, L. A.; Souza, A. A.; Engelsberg, M.; Anal. Chim. Acta 2003, 478, 313.

15. Prestes, R. A.; Colnago, L. A.; Forato, L. A.; Vizzotto, L.; Novotny, E. H.; Carrilho, E.; Anal. Chim. Acta 2007, 596, 325.

16. Knothe, G.; Fuel Process. Technol. 2005, 86, 1059.

17. Gobinath, A.; Puhan, S.; Nagarajan, G.; Renewable Energy 2009, 34, 1806.

18. Resolução ANP Nº 7, de 19/03/2008, Diário Oficial da União, 20/03/2008.

19. Knothe, G.; Steidley, K.; Fuel 2005, 84, 1059.

20. Ramírez-Verduzco, L. F.; Rodríguez-Rodríguez, J. E.; Jaramillo-Jacob, A. R.; Fuel 2012, 91, 102.

21. Moita Neto, J. M.; Moita, G. C.; Quim. Nova 1998, 21, 467.

22. Minitab Inc.; Minitab 14; Statistical Software, State College, EUA, 2004.

23. Allen, C. A. W.; Watts, K. C.; Ackman, R. G.; Pegg, M. J.; Fuel 1999, 78, 1319.

24. Tiwari, P. N.; Gambhir, P. N.; Rajan, T. S.; J. Am. Oil Chem. Soc. 1974, 51, 104.

25. Constantino, A. F.; Lacerda Jr., V.; Santos, R. B.; Greco, S. J.; Neto, A. C.; Barbosa, L. L.; Freitas, J. C. C.; Castro, E. V. R.; Resumos da 35º Reunião Anual da Sociedade Brasileira de Química, Águas de Lindóia, Brasil, 2012.

26. Claridge, T. D. W.; High-resolution NMR techniques in organic chemistry, 2nd ed., Elsevier: Amsterdam, 2009.

27. Santos, R. B.; Souza, T. S.; Lacerda Jr., V.; Castro, E. V. R.; Resumos da 30º Reunião Anual da Sociedade Brasileira de Química, Águas de Lindóia, Brasil, 2007.

28. Martín, C.; Moure, A.; Martín, G.; Carrillo, E.; Domínguez, H.; Parajó, J. C.; Biomass Bioenergy 2010, 34, 533.

29. Jorge, N.; Soares, B. B. P.; Lunardi, V. M.; Malacrida, C. R.; Quim. Nova 2005, 28, 947.

30. Domingos, A. K.; Saad, E. B.; Wilhelm, H. M.; Ramos, L. P.; Bioresour. Technol. 2008, 99, 1837.

31. Lima, J. R. O.; Silva, R. B.; Silva, C. C. M.; Santos, L. S. S.; Santos Jr., J. R.; Moura, E. M.; Moura, C. V. R.; Quim. Nova 2007, 30, 600.

32. Dixit, S.; Kanakraj, S.; Rehman, A.; Renewable Sustainable Energy Rev. 2012, 16, 4415.

33. Chen, Y. H.; Chen, J. H.; Luo, Y. M.; Renewable Energy 2012, 44, 305.

34. Brum, M. C.; Santos, L. S.; Santos, R. B.; Lacerda Jr., V.; Greco, S. J.; Castro, E. V. R.; Resumos da 32º Reunião Anual da Sociedade Brasileira de Química, Águas de Lindóia, Brasil, 2009.

35. Ferrari, R. A.; Oliveira, V. S.; Scabio, A.; Quim. Nova 2005, 28, 19.

36. Thomas, T. P.; Birney, D. M.; Auld, D. L.; Ind. Crops Prod. 2012, 36, 267.

On-line version ISSN 1678-7064 Printed version ISSN 0100-4042
Qu�mica Nova
Publica��es da Sociedade Brasileira de Qu�mica
Caixa Postal: 26037 05513-970 S�o Paulo - SP
Tel/Fax: +55.11.3032.2299/+55.11.3814.3602
Free access

GN1