JBCS



18:29, dom nov 16

Acesso Aberto/TP



Artigo


Imobilização e caracterização de lacase e seu uso na biodegradação de efluentes de indústrias papeleiras
Immobilization and characterization of laccase and its use in the biodegradation of paper mill effluent

Sabrina M. V. PachecoI,*; Carlos Henrique L. SoaresII

IInstituto Federal de Santa Catarina, 88495-000 Garopaba - SC, Brasil
IIDepartamento de Bioquímica, Universidade Federal de Santa Catarina, 88040-900 Florianópolis - SC, Brasil

Recebido em 26/03/2013
Aceito em 04/09/2013
Publicado na web em 24/09/2013

Endereço para correspondência

*e-mail: sabrinap@ifsc.edu.br

RESUMO

Laccase from Aspergillus sp was immobilized on glutaraldehyde-activated chitosan beads. A comparative study between free and immobilized laccase was conducted and the potential of the resulting immobilized derivative in the biodegradation of pulp and paper mill effluent was evaluated. The immobilized laccase is more resistant to various denaturing conditions, which allows for the reduction of 65% of the phenols (total and low molecular weight) and loss of 60% of total color in the effluent. These results show the potential of the immobilized laccase in the biodegradation of phenols, the chemical agents responsible for the high toxicity of the effluent generated in cellulose pulp industries.

Palavras-chave: laccase; immobilization; paper mill effluents.

INTRODUÇAO

As indústrias de papel e celulose produzem um grande volume de efluentes, cujas características variam dependendo do processo de fabricaçao utilizado. O processo de fabricaçao do papel resume-se nas seguintes etapas: corte da madeira e peneiramento, polpaçao, branqueamento da polpa obtida e fabricaçao do papel, sendo que os efluentes mais tóxicos sao gerados na etapa de branqueamento da polpa.1 Para a realizaçao do branqueamento da polpa vários agentes podem ser utilizados, dentre os quais é possível citar o oxigênio, peróxido de hidrogênio, ozônio, ácido paracético, hipoclorito de sódio e o dióxido de cloro. Entre um estágio de branqueamento e outro, a polpa é lavada com elevada quantidade de água para a remoçao das substâncias responsáveis pela cor da mesma. Nos processos mais modernos, o oxigênio é normalmente utilizado no primeiro estágio de branqueamento. Neste aspecto, existe uma tendência geral em nao utilizar qualquer tipo de substância clorada utilizando o chamado branqueamento "total chlorine-free" (TCF) ou branqueamento totalmente livre de cloro.2 Contudo, o processo tradicional de branqueamento ainda é utilizado por algumas fábricas, que, por sua vez, ocorre quando as polpas sao branqueadas por cloro molecular (Cl2), seguido de sucessivas extraçoes alcalinas com NaOH concentrado. Dessa forma, os efluentes gerados na etapa de branqueamento sao constituídos de uma grande diversidade de compostos organoclorados. Esses compostos sao de difícil biodegradaçao, podem exercer significativo efeito tóxico à comunidade biológica e conferem aos efluentes cores e altas cargas de matéria orgânica consumidora de oxigênio.3 Além de compostos organoclorados, os efluentes também contêm ácidos carboxílicos aromáticos, clorados e nao clorados, ligninas de alta e baixa massa molar e seus produtos de degradaçao.3-5 Os tratamentos dos efluentes mais empregados por essas indústrias sao as lagoas de estabilizaçao, lagoas de aeraçao e o lodo ativado, que sao eficientes na reduçao de demanda química de oxigênio (DQO) e na fraçao de compostos fenólicos de baixa massa molar. No entanto, nao reduzem a fraçao de compostos fenólicos de alta massa molar. Os tratamentos convencionais também nao reduzem a cor dos efluentes, que por sua vez, é atribuída principalmente aos compostos fenólicos de alta massa molar.6-8 Considerando isso, outros métodos, principalmente relacionados à etapa de branqueamento das polpas e ao tratamento desses efluentes, vêm sendo estudados, dentre eles merecem destaque os processos enzimáticos que visam a utilizaçao de enzimas lignolíticas extracelulares obtidas de fungos degradadores de madeira. Dentre a vasta diversidade de enzimas lignolíticas existentes, encontram-se as lacases.5,9-12

As lacases (EC 1.10.3.2) sao enzimas que catalisam, por abstraçao de um elétron, uma grande variedade de substratos orgânicos e inorgânicos incluindo mono-, di- e polifenóis, aminofenóis, metoxifenóis e aminas aromáticas com concomitante reduçao de oxigênio para água. As lacases vêm sendo estudadas para várias aplicaçoes biotecnológicas, tais como a biotransformaçao de xenobióticos e efluentes industriais,13 a descoloraçao de corantes,13 a biorremediaçao de solos contaminados,13 a produçao de bioetanol,14,15 a clarificaçao de vinhos e chás e a produçao de biossensores.13 No entanto, as aplicaçoes citadas para as lacases possuem menor viabilidade com a utilizaçao das mesmas na forma livre, ou seja, seu uso efetivo é normalmente dificultado devido às mesmas estarem sujeitas a fatores químicos, físicos e biológicos que limitam sua vida útil durante uso ou estocagem. Muitas destas características indesejáveis podem ser removidas ou amenizadas com o uso das enzimas na forma imobilizada.13,16 A definiçao para enzimas imobilizadas recomendada pela Primeira Conferência sobre Engenharia Enzimática de 1971 diz que as enzimas imobilizadas sao enzimas ou sistemas enzimáticos fisicamente confinados ou localizados em uma certa regiao definida no espaço com retençao de suas atividades catalíticas e que podem ser usadas repetida e continuamente.16,17 O confinamento das enzimas em suportes sólidos proporcionam diversas vantagens sobre as enzimas livres, tais como promover maior estabilidade operacional, aumentar a vida útil da enzima e facilitar a separaçao do produto do catalisador, em processos analíticos e em reatores de fluxo contínuo.16 Vários tipos de suportes sólidos vêm sendo estudados para a imobilizaçao das lacases, dentre eles destaca-se a quitosana.18,19 A quitosana é o derivado mais importante da quitina, possuindo várias propriedades físicas, químicas e biológicas que tornam este polímero muito versátil quimicamente quando comparado à quitina.20 Dentro deste contexto, o objetivo deste trabalho foi promover a imobilizaçao da lacase em esferas de quitosana e avaliar seu potencial de biodegradaçao do efluente coletado de uma indústria papeleira de Santa Catarina.

 

PARTE EXPERIMENTAL

Materiais

A quitosana e a lacase de Aspergillus niger recombinante (DENILITE TMII BASE) foram doadas respectivamente pelo Laboratório QUITECH - Departamento de Química (UFSC) e NOVOZYMESr. A siringaldazina e o glutaraldeído 25% (v/v) foram adquiridos, respectivamente, da SIGMA e VETEC. A quitosana utilizada apresentou as seguintes características: Grau de desacetilaçao de 72,5%, massa molar média de 83,79 kDa e área específica de 4,86 m2/g. O efluente foi coletado da indústria de papel e celulose KLABIN S.A. da regiao de Correia Pinto - Santa Catarina, produtora de polpas nao branqueadas, e apresentou as seguintes características: pH = 8,1; condutividade = 1,225 mS; DQO = 1748 mg/L e DBO = 750 mg/L.

Preparo e ativaçao das esferas de quitosana

Foi preparada uma soluçao de quitosana 33,3 g/L utilizando como solvente ácido acético 5%. Esta soluçao foi gotejada em uma soluçao NaOH 1,0 mol L-1 com uma bomba peristáltica (PERIMAX- 12 SPETEC). Em seguida, as esferas permaneceram no banho de precipitaçao por 6h e, posteriormente, foram lavadas com água ultrapura até o pH da soluçao resultante ter atingido um valor próximo a 8,0.21,22 Para o processo de ativaçao, foi incubada uma proporçao aproximada de 10 g de esferas de quitosana por mL de soluçao de gluraraldeído 3% (v/v) por 6 h.23 Em seguida, as esferas foram lavadas com três volumes de 150 mL de água destilada.

Imobilizaçao da lacase nas esferas de quitosana ativadas

A imobilizaçao consistiu em incubar, uma proporçao aproximada de 10 g de esferas de quitosana por 1 mL de soluçao de lacase 0,5 g/L, por 5h, a 25 ºC e sob agitaçao de 100 rpm. O sistema permaneceu em um shaker (CERTOMAT - BS-1). Na sequência, as esferas foram lavadas com 150 mL de água destilada e armazenadas em geladeira até o uso. Para a enzima livre e imobilizada, foram realizadas as determinaçoes enzimáticas utilizando-se o método que se baseia na oxidaçao de siringaldazina para sua forma quinona, que apresenta absorçao à 525 nm (ε = 65.000 L mol-1 cm-1).24 Os dados foram obtidos com o auxílio de um espectrofotômetro Hewlett-Packard. Para determinaçao da atividade foram utilizados: 500 µL de tampao fosfato (0,1 mol L-1) pH 4,0, 50 µL de soluçao enzimática 0,5 g/L ou 0,07 g de suporte com enzima e 25 µL de soluçao alcoólica de siringaldazina (0,5 g/L) em uma cubeta de quartzo de 1 mL ou cubeta de vidro de 3 mL para o caso da enzima imobilizada. Uma unidade enzimática (U) foi definida como a quantidade de enzima livre ou imobilizada necessária para oxidar 1 µmol L-1 de substrato por minuto em 1 mL de soluçao ou 1 g de suporte.

Propriedades bioquímicas e cinéticas da lacase livre e imobilizada em quitosana

Para conhecer o pH que favorece a maior atividade enzimática, a reaçao citada anteriormente foi acompanhada a 25 ºC em tampoes tartarato (0,1 mol L-1) pH 3,0 a 5,5 e, em tampoes fosfato (0,1 mol L-1) pH 6,0 a 8,0. A determinaçao das propriedades cinéticas (KM e Vmáx) foi realizada com três substratos: ABTS (ácido 2,2-azinobis-3-etilbenzotiazole-6-sulfonato) (MERCK), siringaldazina (SIGMA) e vermelho de fenol (VETEC). Os parâmetros cinéticos KM e Vmáx foram calculados a partir do ajuste na equaçao de Michaelis-Menten dos dados de velocidade de oxidaçao e concentraçao de substrato usando o software ENZFITTER (Elsevier-Biosoft, Cambridge, UK).

Testes de estabilidade da lacase

Para a determinaçao da estabilidade enzimática frente a diferentes inibidores, os mesmos foram adicionados na soluçao usada para os ensaios de atividade enzimática descritos no item anterior. Os volumes dos inibidores foram adicionados na soluçao de modo que as concentraçoes finais da mesma variassem de 0 a 180 µmol L-1 no instante inicial em que todos os reagentes foram misturados. Os inibidores usados na mistura de reaçao para os ensaios de atividade enzimática foram: EDTA (CAAL), K3[Fe(CN)6] (CINÉTICA QUIMICA), NaN3 (DIFCO), K2Cr2O7 (CINÉTICA QUIMICA) e H2O2 (MERCK). Os inibidores citados foram escolhidos por serem os tipos de substâncias que sabidamente inibem a atividade das enzimas, de modo geral.

Para a determinaçao da estabilidade térmica, as enzimas livre (soluçao 0,5 g/L - 20 U) e imobilizada (0,07 g de suporte + enzima) foram adicionadas em 500 µL de tampao tartarato (0,1 mol L-1) pH 4,0 e pré-incubadas a temperaturas de 25 a 70 ºC. Para os ensaios de atividade enzimática relativa foram retiradas alíquotas de 50 µL após 30 minutos de incubaçao. Os cálculos dos ensaios de atividade enzimática relativa foram realizados levando-se em consideraçao a razao entre a atividade enzimática final (após o período de incubaçao) e atividade enzimática inicial (antes do período de incubaçao).

Para a determinaçao de estabilidade frente a diferentes solventes, as enzimas livre (soluçao 0,5 g/L - 20 U) e imobilizada (0,07 g de suporte + enzima) foram incubadas com soluçoes de etanol (NUCLEAR), dioxano (NUCLEAR), acetato de etila (GRUPO QUIMICA), acetona (NUCLEAR) e glutaraldeído (VETEC) em concentraçoes finais de soluçao entre 0 e 90%. Os ensaios de atividade enzimática foram realizados após 30 minutos de incubaçao da enzima com os solventes utilizando o mesmo método do item anterior.

O efeito do uso repetido foi determinado, no qual as esferas pesando aproximadamente 0,07 g e contendo a enzima imobilizada foram adicionadas em uma cubeta de 3 mL contendo 1 mL de tampao tartarato (0,1 mol L-1) pH 4,0 e 25 µL de siringaldazina (0,5 g/L) para a realizaçao dos ensaios de atividade enzimática. Após completa oxidaçao do substrato, as esferas foram lavadas com 100 mL de água destilada a 25 ºC em uma peneira plástica. A oxidaçao final do substrato foi avaliada por meio da queda total de absorbância, quando a leitura da soluçao foi realizada em 525 nm com o auxílio de um espectrofotômetro. Após a etapa de lavagem, o mesmo método para a realizaçao do ensaio de determinaçao de atividade enzimática foi repetido cinco vezes.

Ensaios de biodegradaçao do efluente com a enzima imobilizada

Em erlenmeyers de 1000 mL foram adicionados 412,5 mL de efluente misturados com 87,5 mL de tampao tartarato (17,5% v/v) 0,1 mol L-1, pH 5,5 e incubados com 2 g de suporte com enzima imobilizada ou equivalente a, aproximadamente, 120 esferas. Com base em uma amostra de 12 esferas foi possível estimar que, em média, cada esfera apresentou 0,5 U. Um segundo grupo de frascos foi incubado com os mesmos componentes, porém, com o suporte sem a enzima imobilizada, para a obtençao de valores do controle negativo. Os frascos foram mantidos sob aeraçao e temperatura de 25 ºC. A aeraçao nos frascos foi realizada com auxílio de uma bomba de aquário de 1,5 W. Para determinaçao das modificaçoes químicas causadas no efluente, após tratamento de 24h, foram analisados os seguintes parâmetros: fenóis totais,25 fenóis totais de baixa massa molar,25 medidas de cor,26 característica da cor,26 demanda química de oxigênio (DQO)25 e determinaçao de grupos ionizáveis utilizando titulaçao potenciométrica.4 Para os resultados observados foi realizado o teste ANOVA seguido pelo teste de Tukey utilizando o software STATISTICA 6.0.

 

RESULTADOS E DISCUSSAO

Propriedades bioquímicas e cinéticas da lacase livre e imobilizada em quitosana

Adotando as condiçoes de imobilizacao previamente otimizadas, foi obtido um derivado imobilizado com atividade enzimática de 20 U/g.23 A determinaçao do pH ótimo das lacases livre e imobilizadas em quitosana foi realizada pela variaçao do valor do pH do substrato numa faixa de 3,0 a 5,5, a 25 ºC (Figura 1).

 


Figura 1. Efeito do pH sobre a atividade da enzima livre (○) e imobilizada (●). A atividade a 25 °C. Os pontos das curvas representam as médias de 3 repetiçoes para cada análise

 

Verificou-se que o pH ótimo de 4,0 para a enzima livre foi deslocado para valores mais elevados no caso da enzima imobilizada (5,5). Esse comportamento tem sido atribuído à diferença na concentraçao de íons H+ entre o microambiente, no qual a enzima esta imobilizada (suporte polieletrólito), e a soluçao que envolve este suporte.26-29 Embora o conceito sobre a mudança de pH em relaçao a natureza elétrica do suporte seja uma ferramenta útil para explicar os deslocamentos de pH após a etapa de imobilizaçao, vale a pena ressaltar que essas mudanças podem estar associadas a outros fatores, além da carga do polímero. Cada sistema de enzima imobilizada apresenta características únicas dependentes de fatores como fonte de enzima, tipo de suporte, método de imobilizaçao e interaçao da enzima-suporte.16

O efeito da concentraçao do substrato sobre a atividade da enzima imobilizada foi investigado e comparado com o da lacase livre, sob as mesmas condiçoes de reaçao, empregando diferentes substratos ABTS, siringaldazina e vermelho de fenol em concentraçoes variando entre 5 a 12 µmol L-1. Para todos os substratos testados foi constatado um incremento significativo da velocidade de reaçao para enzima imobilizada em relaçao à enzima livre. Os valores de KM e Vmáx aparentes foram calculados e estao ilustrados na Tabela 1.

 

 

Os valores de KM encontrados foram mais elevados para enzima imobilizada, independentemente do substrato utilizado, indicando uma mudança da afinidade da lacase pelos substratos (ABTS, siringaldazina e vermelho de fenol) na forma imobilizada. Esta alteraçao de afinidade foi maior para o substrato ABTS (18,6 vezes superior ao da enzima livre). Foi também constatada uma relaçao entre os valores dos parâmetros cinéticos e a massa molar dos substratos, ou seja, o aumento da massa molar do substrato parece estar associado ao aumento da diferença dos valores obtidos para as constantes cinéticas de ambas as formas de enzima (livre e imobilizada). Dessa forma, a diferença aumenta em ordem crescente para os substratos: vermelho de fenol > siringaldazina > ABTS, que possuem, respectivamente, massas molares de 354, 360 e 548 g/mol. É relevante esclarecer que, apesar desta relaçao constatada, outros eventos também contribuem para o aumento dos valores de KM, como: a) perda de flexibilidade da enzima necessária para a ligaçao com o substrato;16 b) limitaçao difusional do substrato e produtos devido a natureza nao porosa do suporte;30 c) formaçao de uma camada de solvente ao redor da esfera (camada de Nernst), que pode conter concentraçao de substrato menor em relaçao a soluçao.16,31

Os efeitos de vários inibidores sobre a lacase livre foram investigados. Os resultados (Figura 2) demonstram que, nas concentraçoes estudadas, EDTA, K2Cr2O7 e K3[Fe(CN)6] nao provocaram inibiçao da atividade enzimática.

 


Figura 2. Efeito dos inibidores sobre a atividade da enzima livre a 25 °C em tampao tartarato 0,1 M pH 4,0. Foram avaliados: EDTA (■), K2Cr2O7 (□), K3[Fe(CN)6](●), H2O2 (▲) e NaN3 (▼). Os pontos das curvas representam as médias de 3 repetiçoes para cada análise

 

Um estudo realizado ilustrou uma comparaçao entre as lacases de Phlebia radiata e Cerrena versicolor com relaçao ao efeito inibitório de agentes quelantes. Os autores observaram que a lacase de P. radiata foi mais resistente à inibiçao devido ao menor conteúdo de átomos de cobre no centro catalítico. Outro estudo também ilustrou que o EDTA nao provocou inibiçao sobre lacase de Cerrena unicolor. Dessa forma, é possível supor que a lacase utilizada neste trabalho deve possuir um número reduzido de átomos de cobre, o que explica sua menor susceptibilidade a inibiçao pelo EDTA. Entretanto, os compostos H2O2 e NaN3 mostraram-se potentes inibidores. Desta forma, para avaliar se a imobilizaçao foi capaz de tornar a enzima menos vulnerável frente a tais inibidores, foram realizados experimentos adicionais visando determinar o efeito desses compostos na atividade da lacase imobilizada. Para concentraçao de 45 µmol L-1 de H2O2 verifica-se que a enzima livre foi capaz de reter apenas 10% de sua atividade original enquanto a lacase imobilizada foi menos suscetível à inibiçao do H2O2, retendo 50% de sua atividade original. No entanto, a lacase imobilizada foi vulnerável à inibiçao por NaN3 da mesma forma que a enzima livre. Esses resultados sao similares aos descritos na literatura utilizando lacase imobilizada em vidro de porosidade controlada,32 sendo observado que na presença de NaN3 o processo de imobilizaçao causou uma retençao de atividade desprezível em comparaçao a enzima livre.

Testes de estabilidade da lacase

Para análise da estabilidade térmica, as enzimas livre e imobilizada foram pré-incubadas com tampao tartarato pH 4,0 por 30 minutos em temperaturas variando entre 30-70 ºC. Os resultados revelaram que a imobilizaçao conferiu maior estabilidade térmica a enzima lacase. Na temperatura de 40 ºC a lacase imobilizada foi 70% mais ativa que a enzima livre e a 50 ºC a enzima livre foi completamente desnaturada, enquanto a enzima imobilizada ainda demonstrou atividade relativa de 40%. Esse resultado indica que a atividade da enzima tornou-se menos dependente da temperatura após o processo de imobilizaçao. Embora alguns autores tenham observado apenas um pequeno abrandamento da perda de atividade em temperaturas superiores a 60 ºC, outros estudos revelaram que o processo de imobilizaçao conferiu à enzima um aumento significativo da estabilidade térmica em relaçao à enzima livre. Após 210 minutos de incubaçao a 60 ºC, a lacase imobilizada possuia uma atividade relativa de 74% enquanto a lacase livre possuia atividade relativa de 19,4%. Constatou-se, desta forma, que a enzima adquiriu satisfatória estabilidade térmica após o processo de imobilizaçao, possibilitando possíveis aplicaçoes em processos industriais com temperaturas mais elevadas.

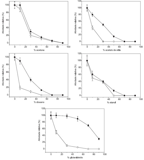
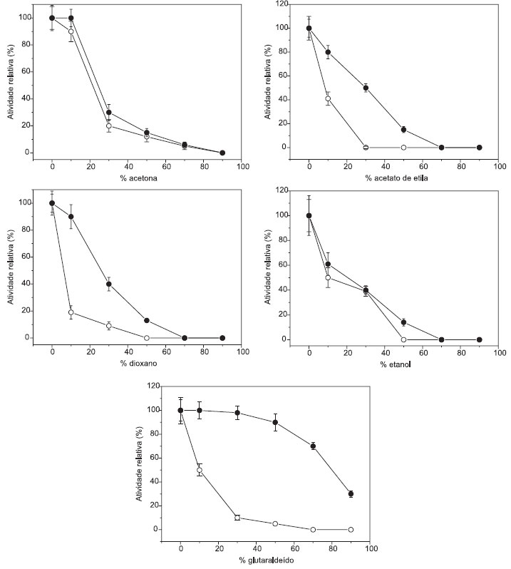
Testes de estabilidade das enzimas livre e imobilizada frente a solventes de diferentes características estruturais e hidrofóbicas (Figuras 3 a-e) foram efetuados.

 


Figura 3. Efeito do solvente + tampao fosfato (0,1 M) pH 4,0 (% v/v) sobre a atividade relativa da enzima livre (○) e a enzima imobilizada (●) a 25 °C

 

Esses estudos podem ser justificados pelo fato das lacases serem intensamente estudadas para biodegradaçao de uma série de xenobióticos que possuem pouca solubilidade em água. Verificou-se que a acetona foi o solvente que provocou maior desativaçao para ambas as formas de lacase (Figura 3a), embora a forma imobilizada tenha retido 100% de atividade em soluçao contendo 10% de acetona. Para soluçoes com porcentagens superiores a 30%, ambas as formas de lacases foram praticamente desnaturadas. A enzima imobilizada forneceu bons resultados de retençao de atividade em relaçao à enzima livre frente aos demais solventes (Figuras 3b-e). Os valores mais elevados de retençao de atividade foram obtidos em soluçoes de glutaraldeído (Figura 3e), sendo constatados valores de até 94,9% superiores para a lacase imobilizada em relaçao à lacase livre. De uma forma geral, os resultados obtidos mostraram que a lacase imobilizada tem a capacidade de reter boa parte de sua atividade na presença de solventes hidrofóbicos, como o dioxano e o acetato de etila, demonstrando a viabilidade de aplicaçao deste derivado imobilizado na biodegradaçao de compostos recalcitrantes, tais como ligninas comerciais insolúveis em água. Resultados satisfatórios de retençao da atividade em soluçoes contendo diferentes porcentagens de hexano, acetonitrila, tetrahidrofurano, dioxano e tampao citrato pH 4,5 foram descritos para lacase de Trametes versicolor imobilizada em Sepharose.33 Maiores valores de retençao de atividade foram constatados para enzima imobilizada quando incubada em dioxano em relaçao a incubaçao efetuada em tampao citrato pH 4,5. Dessa forma, é possível concluir que a enzima imobilizada foi cataliticamente ativa em ambientes hidrofóbicos, com eficiência similar, ou em certos casos até superior à obtida em ambientes aquosos. Essa característica deve-se, em parte, ao aumento das interaçoes entre os grupos integrantes da enzima em solventes orgânicos e ao aumento do numero de ligaçoes pontes de hidrogênio intramoleculares, além da estabilidade estrutural fornecida pelas ligaçoes cruzadas com glutaraldeído. No entanto, para que a enzima imobilizada tenha eficiência catalítica em meio orgânico, ela necessita ter uma quantidade mínima de água ligada, o que também deve assegurar a sua integridade.16

A estabilidade operacional da enzima imobilizada foi determinada em ciclos oxidativos consecutivos usando a siringaldazina como substrato. Os resultados revelaram que após cinco ciclos oxidativos a atividade residual da enzima imobilizada foi de apenas 2,25%. Esses resultados sugerem que o processo de imobilizaçao selecionado nao conferiu satisfatória estabilidade operacional à lacase imobilizada. A estabilidade operacional da enzima imobilizada pode ser diretamente relacionada ao suporte e o método de imobilizaçao, entretanto, comparando os resultados obtidos neste trabalho com dados descritos na literatura (Tabela 2) verificou-se estabilidades operacionais distintas para diferentes enzimas imobilizadas em quitosana. Desta forma, estudos adicionais deverao ser realizados visando identificar os fatores que limitaram a manutençao da atividade da lacase nos reciclos, entre os quais podem ser citados (a) o desprendimento da enzima do suporte; (b) a obstruçao dos poros por impurezas ou produtos secundários; (c) a perda do suporte por atrito ou dissoluçao e (d) crescimento de microrganismos.

 

 

Ensaios de biodegradaçao do efluente com a enzima imobilizada

A lacase utilizada neste trabalho é amplamente utilizada no setor têxtil, especialmente na área de beneficiamento têxtil. Devido ao fato do uso desta enzima ser muito comum nesta área, procurou-se saber como a mesma se comportaria com efluentes com características ligeiramente diferentes, como os efluentes das indústrias papeleiras.

Verificou-se que a enzima imobilizada degradou de forma eficiente, além dos compostos fenólicos totais (remoçao de 65%), compostos fenólicos de baixa massa molar (remoçao de 65%) e cor (remoçao de 60%) do efluente (Figura 4).

 


Figura 4. Determinaçao de fenóis de baixa massa molar (barras listradas), fenóis totais (barras claras) e cor (barras vermelhas) após 1, 3 e 24 horas de tratamento do efluente com a lacase imobilizada. As médias baseiam-se em 3 repetiçoes, onde as que sao representadas pela mesma letra sao estatisticamente nao significantes entre si, sendo a>b

 

Os resultados revelaram que o material orgânico contido no efluente sofreu intensa degradaçao, indicada por uma acentuada diminuiçao da área total obtida nos cromatogramas medidos a 240, 280 e 310 nm antes e após tratamento com a lacase.

As análises de DQO revelaram que nao houve alteraçao deste parâmetro durante o processo de biodegradaçao do efluente. Esse resultado corrobora o trabalho de outros autores que realizaram o tratamento do efluente de uma indústria de azeite de oliva com lacase e verificaram 65% de reduçao de fenóis totais, 86% de orto-difenóis e apenas 5% de reduçao de DQO.28 Essas constataçoes podem ser explicadas com base na composiçao química do efluente e no modo de açao das lacases, que, por sua vez, catalisam apenas a oxidaçao de compostos fenólicos, levando à biotransformaçao dos mesmos. A modificaçao do estado dos grupos ionizáveis, antes e após tratamento enzimático, também foi avaliada por meio de titulaçao potenciométrica. A curva de titulaçao potenciométrica (Figura 5) obtida para o efluente sem tratamento apresentou um ponto de inflexao no intervalo de pH 4,5 a 5,5, portanto, exibindo duas inclinaçoes, sendo a primeira delas (a) menos acentuada do que a segunda (b). A regiao da curva com inclinaçao mais acentuada (b) assinala uma variaçao mais brusca de pH, o que indica um maior número de grupamentos com pKa em torno de 8. A regiao da curva (a) ilustra um número menor de espécies com pKa em torno de 2. Estes valores de pKa podem ser inferidos a partir do tratamento de Henderson-Hasselbach, que descreve o comportamento de grupamentos ionizáveis a partir da curva de titulaçao. A titulaçao potenciométrica do efluente após tratamento da enzima imobilizada apresentou um perfil diferente. A regiao da curva (c) é mais inclinada que a segunda regiao da mesma (d). Essa mudança de perfil evidencia que o tratamento com a enzima modifica a natureza das espécies ionizáveis, onde as espécies com pKa em torno de 2 tornaram-se em número maior, enquanto as espécies com pKa em torno de 8 tiveram a sua quantidade reduzida. Possivelmente, as espécies com pKa em torno de 8 e que sofreram depleçao sao compostos fenólicos, e as espécies com pKa em torno de 2 sao ácidos carboxílicos.

 


Figura 5. Curva de titulaçao potenciométrica do efluente antes e após incubaçao com a lacase imobilizada por 24 horas utilizando como titulante soluçao de HCl 0,01 M. O (□) representa o efluente sem tratamento e o (■) após tratamento. Os pontos das curvas representam as médias de 3 repetiçoes

 

CONCLUSAO

Os ensaios de estabilidade da lacase livre e imobilizada em relaçao às condiçoes e meios desnaturantes revelaram que a enzima imobilizada em esferas de quitosana foi significativamente mais estável quando comparada com a enzima livre. Esses resultados indicam que o uso dessa enzima imobilizada apresenta-se como uma metodologia adequada para um grande número de processos industriais que normalmente envolvem reaçoes em condiçoes menos brandas de temperatura e pH. A enzima imobilizada também foi significativamente mais estável frente a diversas concentraçoes de solventes de diferentes características estruturais e hidrofóbicas. Esses resultados confirmam outras aplicaçoes para as lacases, como uso na biodegradaçao de xenobióticos em meios orgânicos. Apesar dos bons resultados de estabilidade relacionados a esses parâmetros, o processo de imobilizaçao acarretou pouca estabilidade operacional a lacase. A enzima imobilizada foi capaz de remover com muita eficiência compostos fenólicos de baixa massa molar, compostos fenólicos totais e a cor do efluente em estudo. Estes dados sao indicativos do uso potencial desta enzima para compor novas tecnologias para o tratamento dos efluentes das indústrias papeleiras.

 

AGRADECIMENTOS

Ao CNPQ pelo suporte financeiro.

 

REFERENCIAS

1. Biermann C. J.; Handbook of Pulping and Papermaking, 2th ed., Academic Press Limited: London, 1996.

2. Bajpai, P.; Biotecnology for Pulp and Paper Processing, 1th ed., Springer: New York, 2012.

3. Lora, E. E. S.; Prevençao e controle da poluiçao nos setores energético, industrial e de transporte, 1th ed., Aneel-Agência Nacional de Energia Elétrica: Brasília, 2000.

4. Soares, C. H. L.; Tese de Doutorado, Universidade Estadual de Campinas, Brasil, 1998.

5. Rydholm, S. A.; Pulping Process, 1th ed., Interscience Publishers: New York, 1965.

6. Melo, I. S.; Azevedo, J. L.; Microbiologia Ambiental, 1th ed., Embrapa: Jaguariúna, 1997.

7. Ali, M.; Sreekrishnan, T. R; Adv. Environ. Res. 2001, 5, 175.

8. Thompson, G.; Swain, J.; Kay, M.; Forster, C. F.; Bioresour. Technol. 2001, 77, 275.

9. Singh, P.; Sulaiman, O.; Hashim, R.; Rupani, P. F.; Peng, L. C.; Rev. Environ. Sci. Biotechnol. 2010, 9, 141.

10. Couto, S. R.; Herrera, J. L. T.; Biotechnol. Adv. 2006, 24, 500.

11. Widsten, P.; Kandelbauer, A.; Enzyme Microb. Technol. 2008, 42, 293.

12. Mayer, A. M.; Staples, R. C.; Phytochemistry 2002, 60, 551.

13. Durán, N.; Rosa, M. A.; D'annibale, A.; Gianfreda, L.; Enzyme Microb. Technol. 2002, 31, 907.

14. Moreno, A. D.; Ibarra, D.; Fernández, J. L.; Ballesteros, M.; Bioresour. Technol. 2012, 106, 101.

15. Plácido, J.; Imam, T.; Capareda, S.; Bioresour. Technol. 2013, 139, 203.

16. Zanin, G.: Moraes, F. F. Em Enzimas como agentes biotecnológicos; Said, S.; Pietro, R. C. L. R., eds.; Legis Summa: Ribeirao Preto, 2004.

17. Jesus, P. C.; Tese de Doutorado, Universidade Federal de Santa Catarina, Brasil, 1998.

18. Adriano A. M.; Pedro C. O.; Heizir F. C.; Raquel L. C. G.; Quim. Nova 2011, 34, 831.

19. Krajewska, B.; Enzyme Microb. Technol. 2004, 35, 126.

20. Tharanathan, R. N; Kittur, F. S.; Crit. Rev. Food Sci. Nutr. 2003, 1, 61.

21. Goy, R. C.; Assis, O. B. G.; Campana-Filho, S. P.; Rev. Bras. Biotecnol. 2004, 33, 30.

22. Adriano, W. S.; Filho, E. H. C.; Silva, J. A.; Giordano, R. L. C.; Braz. J. Chem. Eng. 2005, 22, 529.

23. Villela, S. M.; Dissertaçao de Mestrado, Universidade Federal de Santa Catarina, Brasil, 2006.

24. Ander, P.; Eriksson, K.; Arch. Microbiol. 1976, 109, 1.

25. Apha Awwa. Standard Methods for examination of water and wasterwater 550B, 17th ed., American Public Health Association: New York, 1989.

26. Yang, R. D.; Humphrey, A. E.; Biotechnol. Bioeng. 1975, 17, 1211.

27. Goldstein, L., Levin, Y., Katchalski, E.; Biochemistry 1964, 3, 1913.

28. D'annibale, A.; Stazi, S. R.; Vinciguerra, V.; Di Mattia, E.; Sermanni, G. G.; Process Biochem. 1999, 34, 697.

29. Cetinus, S. A.; Öztop, H. N.; Enzyme Microb. Technol. 2003, 32, 889.

30. Cetinus, S. A.; Öztop, H. N.; Enzyme Microb. Technol. 2000, 26, 497.

31. Jiang, D.; Long, S.; Huang, J.; Xiao, H.; Zhou, J.; Biochem. Eng. J. 2005, 25, 15.

32. Rogalski, J.; Jóźwik, E.; Hatakka, A.; Leonowicz, A.; J. Mol. Catal. A: Chem. 1995, 95, 99.

33. Milstein, O.; Nicklas, B., Hüttermann, A.; Appl. Microbiol. Biotechnol. 1989, 31, 70.

On-line version ISSN 1678-7064 Printed version ISSN 0100-4042
Qu�mica Nova
Publica��es da Sociedade Brasileira de Qu�mica
Caixa Postal: 26037 05513-970 S�o Paulo - SP
Tel/Fax: +55.11.3032.2299/+55.11.3814.3602
Free access

GN1