JBCS



8:59, qua out 22

Acesso Aberto/TP



Artigo


Avaliação do radical N,N-dietil-1,4-fenilenodiamino (DEPD•+) como sonda espectrofotométrica para determinação da capacidade antioxidante em bebidas
Evaluation of the radical N,N-diethyl-1,4-fenilenedianime (DEPD•+) as a spectrophotometric probe for determining antioxidant capacities in bevereges

Rosicleide Viturina dos Santos; Allysson Roberto Barbosa de Lima; Paulo César Costa de Oliveira; Isis Martins Figueiredo; Josué Carinhanha Caldas Santos*

Instituto de Química e Biotecnologia, Universidade Federal de Alagoas, Campus A. C. Simões, Tabuleiro dos Martins, 57072-970 Maceió - AL, Brasil

Recebido em 23/03/2015
Aceito em 30/04/2015
Publicado na web em 16/06/2015

Endereço para correspondência

*e-mail: jcarinhanha@yahoo.com.br

RESUMO

Many well-established methods for determining the antioxidant capacities in several samples have been described in literature. However, DPPH (2,2-diphenyl-1-picrylhydrazyl) and ABTS (2,2'-azino-bis(3-ethylbenzothiazoline-6-sulphonic acid)) are the main two methods that utilize radicals as spectrophotometric probes for analysis. Nevertheless, these methods have certain limitations because of their slower kinetics, solvent polarity effects, the hydrophilicity and lipophilicity of the compounds, chemical costs, etc. In this study, a spectrophotometric method for determining the antioxidant capacity in beverages was developed based on an exploration of the cation radical derived from DEPD. This method was based on the oxidation of aromatic amines with Fe(III) ions at pH 4.0, which leads to their corresponding purple cation radicals (DEPD+) with λmax values at 500 and 540 nm. The addition of an antioxidant after the formation of the radical leads to a reduction in color intensity that is proportional to the antioxidant concentration in the medium. Results obtained using this method were compared with the Folin-Ciocalteau, ABTS and DPPH methods in terms of applications in wines, teas, and infusions samples. Linear correlation analysis at a 95% confidence level was employed to compare the results, which were in good agreement with a correlation coefficient of r > 0.9000. Thus, the developed method was simple, accurate, and consistent with other assays for the determination of the total amount of phenolic compounds and antioxidant capacity.

Palavras-chave: cation radical; aromatic amines; spectrophotometric probe; wines; teas and infusions.

INTRODUÇÃO

A aplicação de ensaios para avaliação da capacidade e atividade antioxidante visando obter informações químicas de caráter exploratório ou comparativo em diferentes sistemas como extratos ou compostos isolados de plantas,1 substâncias sintéticas,2 amostras de fluidos biológicos (plasma, por exemplo),3 bebidas4 e alimentos5 vem tendo uma demanda cada vez maior. Neste sentido, os ensaios analíticos mais empregados para esta finalidade que empregam radicais não biológicos como sondas espectrofotométricas são o ABTS (ácido 2,2'-azino-bis(3-etilbenzotiazolina-6-sulfônico) e DPPH (2,2-difenil-1-picrilhidrazil).6 Contudo, apesar dos métodos baseados no sequestro (ou geração) dos radicais derivados do ABTS e DPPH em geral serem simples e não necessitarem de instrumentação elaborada, estes ensaios apresentam como principais limitações: longos tempos de reação para alguns compostos ou amostras, dificultando a determinação do ponto final; tempo de geração do radical (em relação ao ABTS); restrições quanto a solventes e pH do meio (DPPH solúvel somente em meio orgânico); reversibilidade da reação com alguns compostos fenólicos; padronização dos resultados; influência de fatores estruturais e estéricos dos compostos avaliados, além de não serem similares a radicais ou espécies reativas de oxigênio ou nitrogênio que participam de processos biológicos.6-8

Como alternativa, Fogliano e colaboradores propuseram um método para determinação da capacidade antioxidante empregando a formação do radical derivado do DMPD (N,N-dimetil-p-fenilenodiamino).9 Neste método, a molécula de DMPD quando oxidada (pH 5,2) produzia o respectivo radical cátion DMPD•+ de cor púrpura (λmáx = 505 nm). Este radical, na presença de compostos antioxidantes (HCA), reagia preferencialmente via transferência de átomos de hidrogênio levando a formação de cátion DMPD+, incolor. A redução da intensidade da cor da solução contendo o radical era proporcional à concentração do HCA avaliados, a qual era monitorada espectrofotometricamente.

O método do DMPD vem sendo aplicado em diferentes amostras, todavia alguns autores apontaram a instabilidade do radical formado como uma das principais limitações. Em geral, os trabalhos empregam o protocolo de geração do radical segundo Fogliano e colaboradores, o qual indicava que o sinal analítico referente ao radical formado mantinha-se estável por 12 h. Todavia, Rivero-Pérez e colaboradores fizeram um estudo cinético da formação do radical durante 48 h e concluíram que o sinal analítico referente ao DMPD•+ manteve-se estável somente durante 18 a 21 h após sua formação.10 Já Lachman e colaboradores afirmaram que o radical formado foi instável nas condições ambientes. Desta forma, ocorriam variações acentuadas no sinal de referência sendo inviável o emprego deste procedimento.11 Rodríguez-Nogales e colaboradores, em estudo similar em tampão acetato (pH = 5,3) e solventes orgânicos (etanol e metanol), apontaram que o radical só podia ser usado entre 50 e 120 min após sua geração.12 Por fim, Asghar e colaboradores substituíram o Fe(III) por K2S2O8 como oxidante e perceberam que após 3 h a mistura mantinha o sinal constante por algumas horas, se estocada a 4 ºC.13

Além dos aspectos associados a estabilidade, destaca-se uma maior tendência do radical DMPD•+ em reagir com espécies hidrofílicas e diminuição da sua reatividade em meio orgânico. Apesar das restrições apontadas, em estudo recente de Çekiç e colaboradores comparando o método do DMPD frente ao CUPRAC, ABTS e TBARS (thiobarbituric acid reactive substances), os autores indicaram que este método seria o mais adequado para avaliar o consumo de espécies reativas de oxigênio em meio biológico,14 o que mostra a potencialidade do método, mesmo com as limitações indicadas anteriormente. Adicionalmente, apesar da não semelhança do radical DMPD•+ com espécies biológicas reativas, o TMPD (N,N,N',N'-tetrametil-1,4-fenilenodiamina), um composto estruturalmente similar ao DMPD, foi utilizado em testes bioquímicos relacionados a cadeia respiratória mitocondrial, uma vez que o TMPD atua como doador de elétrons para o citocromo c, possibilitando o estudo da cadeia respiratória em mitocôndrias isoladas.15 Apesar de não ser uma molécula natural aos sistemas biológicos, dependendo das condições, moléculas como o TMPD e DMPD podem atuar mimetizando espécies naturais em sistemas (bio)químicos, o que mostra a versatilidade e aplicabilidade desta classe de moléculas.

Desta forma, o objetivo deste trabalho foi a avaliação do radical cátion formado a partir da amina aromática N,N-dietil-1,4-fenilenodiamino (DEPD) visando contornar aspectos quanto a estabilidade do radical, reatividade e sensibilidade analítica, em função do aumento da cadeia alquílica da molécula de DEPD quando comparado ao DMPD. Por fim, após otimização dos parâmetros químicos e físicos, o método espectrofotométrico foi aplicado em amostras de vinhos (tintos e brancos), infusões e chás, sendo os resultados obtidos comparados estatisticamente com os métodos de Folin-Ciocalteau, DPPH e ABTS.

 

PARTE EXPERIMENTAL

Reagentes e soluções

Todos os reagentes utilizados são de grau analítico de pureza. Todas as soluções aquosas foram preparadas com água desionizada (condutividade < 0,1 µS cm-1) obtidas a partir de purificador Millipore Millipak Gamma Gold. Para o preparo da solução de DEPD (2,0 mmol L-1) foram pesados 0,0524 g da amina (C6H4NH2N(C2H5)2.H2SO4, Sigma). Em seguida, utilizou-se solução tampão (ácido acético (HAc)/acetato de sódio (NaAc) 0,2 mol L-1, pH 4,0) para solubilizar a amina e avolumar a referida solução em um balão volumétrico de 100 mL. Para o preparo da solução de Fe(III) (0,2 mmol L-1 em HCl 0,02 mol L-1) foi pesado 0,0482 g do sal NH4Fe(SO4)2.12H2O (Merck) e solubilizado em 10 mL de uma solução de HCl 1 mol L-1. A solução resultante foi transferida para um balão volumétrico de 500 mL e o volume completado com água desionizada.

As soluções estoque (200 mg L-1) dos compostos antioxidantes ácido ascórbico (Sigma), ácido gálico (Sigma) e ácido tânico (Sigma) foram preparadas a partir da pesagem de 0,0100 g de cada composto, sendo solubilizado diretamente em solução tampão (HAc/NaAc 0,2 mol L-1, pH 4,0), transferido para um balão volumétrico de 50 mL e avolumado com solução tampão acetato. A solução estoque (200 mg L-1) de quercetina (Sigma) foi preparada a partir de 0,0100 g do composto solubilizado em etanol. A solução resultante foi adicionada a um balão volumétrico de 50 mL, o volume final do balão foi completado com etanol. As soluções de trabalhos de todos os compostos utilizados foram diluídas de forma apropriada empregando solução tampão acetato.

O reagente de Folin-Ciocalteu (Vetec) foi obtido comercialmente. O mesmo, antes do uso, foi diluído em água desionizada na proporção de 1:10 (v/v).16 Para o preparo da solução de carbonato de sódio (75 g L-1) foram pesados 7,5 g de Na2CO3 (Reagen Quimibrás) e solubilizado em água. A solução resultante foi transferida para um balão volumétrico de 100 mL e o volume completado com água desionizada. Por fim, esta solução foi armazenada em frasco de polietileno. Para o preparo da solução estoque do radical DPPH (0,61 mmol L-1; Sigma) foi pesado 0,0120 g e solubilizado em metanol. A solução resultante foi transferida para um balão volumétrico de 50 mL e o volume completado com álcool metílico.17 A solução estoque do radical ABTS•+ (1 mmol L-1; Sigma) foi preparada pela dissolução de 0,0260 g de ABTS em água desionizada, em seguida foram acrescentados à solução resultante 3,0 mL de K2S2O8 1 mmol L-1. O conteúdo foi adicionado a um balão volumétrico de 10 mL, o qual foi aferido com água desionizada. Após 16 h de incubação ao abrigo da luz, a solução foi diluída para 25 mL com tampão fosfato 0,05 mol L-1 (pH = 7,2).18

Equipamentos utilizados

Para as medidas espectrofotométricas foi empregado espectrofotômetro Femto 700 Plus (SP, Brasil) equipado com cubetas de vidro com 1,0 cm de caminho óptico. Para as medidas de pH foi utilizado um medidor de pH Marte MB-10 (Brasil, incerteza de ± 0,01) acoplado a um eletrodo combinado de vidro. Para as medidas de massas superiores a 10 mg foi empregada balança analítica Bel Mark M254-AI (Itália, incerteza de ± 0,1 mg), enquanto que para massas inferiores a 10 mg se utilizou balança analítica Mettler Toledo AG245 (Suíça, precisão de 0,01 mg).

Amostras de vinhos, chás e infusões

As amostras de vinhos (brancos e tintos), chás e infusões analisadas foram adquiridas no comércio local. As amostras de vinhos, antes de serem analisadas, foram apenas diluídas em solução tampão (HAc/NaAc 0,2 mol L-1, pH = 4,0). As amostras de chás e infusões foram preparadas como determinado em suas embalagens, a saber: cada sachê (de chá ou infusão) foi colocado em um erlenmeyer de 250 mL, em seguida adicionou-se 100 mL de água aquecida (~ 95 ºC). Após 10 min do início do processo de extração, o sachê foi retirado da mistura. Quando o sistema atingiu a temperatura ambiente procedeu-se a filtração. O filtrado foi acondicionado em frascos de vidro âmbar e o resíduo descartado. Após abertas (vinhos) ou preparadas (chá e infusões) as amostras foram acondicionadas em refrigerador a 4 ºC por um período máximo de 48 h, para evitar/reduzir degradação das mesmas.

Procedimentos gerais

O ácido gálico foi empregado como referência para obtenção da curva analítica em todos os métodos, enquanto os respectivos brancos ou sinais de referência foram obtidos com água em substituição ao ácido gálico. O consumo dos radicais foi medido quanto a redução do sinal analítico (%I, percentual de consumo do radical) pela presença de substâncias antioxidantes frente ao ABTS•+, DPPH e DEPD•+, sendo calculado a partir da equação: %I = (1 - Aamostra/Areferência) x 100; em que Aamostra correspondia a absorvância após a adição da amostra ou padrão a solução contendo o radical e Areferência a absorvância relativa a solução de referência (branco analítico).

Para realização do ensaio de Folin-Ciocalteau (compostos redutores totais)6 foi adicionado, a um balão volumétrico de 5,0 mL, um volume de 0,5 mL do reagente de Folin-Ciocateu previamente diluído em água (1:10, v/v), 2,0 mL da amostra ou solução de referência e 0,5 mL de Na2CO3 (75 g L-1).16 O volume final de 5,0 mL foi completado com água desionizada e aguardou-se 15 min. As medidas espectrofotométricas foram realizadas em 770 nm.

Para o método do DPPH, foram transferidos 0,20 mL da solução estoque do radical DPPH (0,6 mmol L-1) para um balão volumétrico de 5,0 mL, seguido de 1,0 mL da amostra previamente diluída ou solução de referência e completando-se com água desionizada.17 Após 30 min procederam-se as medidas espectrofotométricas em 517 nm.

Para o método do ABTS, foram transferidos 0,22 mL da solução estoque do radical ABTS•+ (1 mmol L-1) para um balão volumétrico de 5,0 mL, seguidos de 1,0 mL da solução padrão ou da amostra previamente diluída e aferiu-se com água. Aguardou-se 15 min após a mistura dos reagentes e procedeu-se a medida espectrofotométrica em 734 nm.18

Método proposto (DEPD•+)

Para execução do ensaio, foram adicionados a um balão volumétrico de 5,0 mL uma alíquota de 1,0 mL da solução de DEPD (2,0 mmol L-1) e 1,0 mL da solução de Fe(III) (0,2 mmol L-1). Esta solução foi mantida em repouso por 10 min para máxima geração do radical cátion DEPD•+. Em seguida, foram adicionados 2,5 mL da amostra ou solução de referência. O volume final da solução foi ajustado para 5,0 mL com solução tampão acetato. Após 30 min foi realizada a medida espectrofotométrica em 540 nm. Os cálculos relativos aos limites de detecção (3σ) e de quantificação (10σ) foram realizados de acordo com as seguintes equações, LOD = Cbranco + 3sb/ac e LOQ = Cbranco + 10sb/ac, nas quais Cbranco = concentração relativa ao sinal do branco, sb equivale ao desvio padrão do branco analítico (N = 10), enquanto ac corresponde ao coeficiente angular da curva analítica empregada. O desvio padrão relativo (RSD) foi calculado de acordo com a equação: RSD = (sp/xp) x 100, na qual sp equivale ao desvio padrão referente a um determinado padrão analítico dentro da faixa linear e xp corresponde ao valor médio encontrado para este padrão (N = 10).19 A capacidade de consumir 50% do radical DEPD•+ (EC50) foi calculada a partir da curva analítica, na qual o %I era substituído por 50. Quando a curva analítica não apresentou faixa linear de concentração com %I superior ou igual a 50%, este valor era extrapolado.20

 

RESULTADOS E DISCUSSÃO

Princípio do método e parâmetros de otimização

O DEPD é uma amina aromática que em solução aquosa apresenta-se incolor. Quando oxidada, por uma espécie com propriedade oxidante, forma o cátion radical DEPD•+ de coloração púrpura (λmáx = 500 e 540 nm), desde que a amina esteja em excesso. Na presença de compostos com capacidade antioxidante (HCA) o cátion DEPD•+ é reduzido e a intensidade da coloração da solução diminui, assim, a capacidade antioxidante da amostra pode ser mensurada por meio de medidas espectrofotométricas. A Figura 1 apresenta as reações envolvidas neste processo, assim como o perfil espectral associado a cada etapa reacional. Nesta representação foi considerada a amina aromática na forma neutra (não protonada), a qual é mais efetiva na formação do radical DEPD•+.

 


Figura 1. Etapas envolvidas na formação e consumo do radical cátion derivado do DEPD e perfil espectral na região do visível antes e após reação com composto antioxidante. a) Produção do radical evidenciando duas bandas de máxima absorção em 500 e 540 nm, respectivamente e b) Reação do radical gerado DEPD•+ frente a um antioxidante (HCA), sendo empregado solução de ácido ascórbico 10 mg L-1 na avaliação espectral. Na parte interna do espectro são apresentadas duas fotografias correspondentes a solução do radical antes (a) e após adição (b) de ácido ascórbico, respectivamente

 

Para o desenvolvimento do método foram avaliados e otimizados parâmetros químicos e físicos quanto a geração e consumo do radical DEPD•+, sendo: comprimento de onda de máxima absorção (λmáx), oxidante, pH e tempo reacional, concentração da solução tampão, concentração da amina e do oxidante, proporção entre amina e oxidante, volume das soluções e efeito de diferentes solventes orgânicos. Por fim, após otimização das variáveis citadas de forma univariada, as figuras de mérito foram calculadas e o método foi aplicado em amostras de vinhos, chás e infusões, sendo os resultados comparados a outras metodologias descritas na literatura (Folin-Ciocalteau, DPPH e ABTS). Todos os parâmetros avaliados são apresentados e discutidos a seguir.

Avalição do comprimento de onda de máxima absorção do DEPD•+

Inicialmente avaliou-se o comprimento de onda de máxima absorção quanto a geração do radical cátion DEPD•+. Como observado na Figura 1 foram obtidos dois máximos, em 500 e 540 nm, respectivamente. O comprimento de onda de 540 nm foi selecionado para as avaliações posteriores visando reduzir ou eliminar possíveis interferências espectrais por parte de compostos presentes nas amostras, visto que vinhos (vinho tinto, por exemplo), chás ou infusões (quando coloridas) normalmente absorvem na faixa entre 400 a 500 nm. Desta forma, a seleção do λmáx = 540 nm apresenta vantagens quanto a um menor efeito da coloração natural das amostras, contudo, não houve ganho em relação à sensibilidade do método quando comparado com as avaliações realizadas em 500 nm.

Avaliação do oxidante

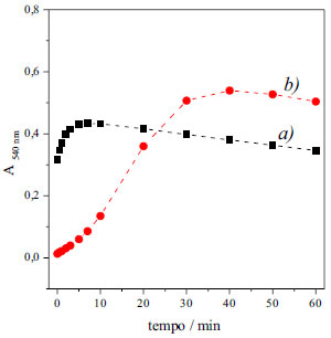
Para avaliação do oxidante na geração do cátion radical DEPD•+, foram avaliadas duas espécies capazes de oxidar a amina aromática ao respectivo radical, o Fe(III) (Fe3+ + e- Fe2+, E0 = 0,77 V) e o K2S2O8 (S2O82- + 2e- 2SO42-, E0 = 2,01 V). Estes compostos foram selecionados em virtude de já terem sido empregados na geração do radical para outras aminas, como no caso do DMPD,9,13 e compostos com a mesma finalidade analítica, como o ABTS.18 Os resultados para esta avaliação são apresentados na Figura 2.

 


Figura 2. Perfil de geração do radical cátion DEPD•+ monitorado a 540 nm em função do oxidante. a) Fe(III) e b) K2S2O8, ambos oxidantes foram avaliados a concentração de 0,2 mmol L-1 e DEPD a 2 mmol L-1.

 

A partir do perfil de geração do radical cátion DEPD•+ (Figura 2) pôde ser observado que a cinética da reação de oxidação do DEPD com o Fe(III) foi mais favorável em relação à mesma reação com o S2O82- nas condições reacionais avaliadas, pois próximo a 10 min já se observa uma estabilização do sinal referente a formação do DEPD•+ (Figura 2a), indicando que possivelmente todo o Fe(III) já reagiu com o DEPD, visto que os oxidantes foram avaliados em uma concentração menor que a da amina precursora. Para a geração do radical empregando S2O82-, a estabilização do sinal analítico foi observada após cerca de 30 min de reação. Uma vez que o persulfato é um poderoso agente oxidante, isso pode estar associado a uma possível formação de radicais em duas etapas: S2O82- + 2e- SO42- + SO4•- (etapa de ativação) e SO4•- + OH- SO42- + HO (etapa de propagação). Porém, a formação dessas espécies reativas constitui um processo lento,21 o que justifica o perfil cinético observado. Adicionalmente, nota-se que após 30 min o sinal analítico empregando S2O82- foi aproximadamente 25% superior quando comparado ao sistema gerador contendo íons Fe(III). Esta observação pode estar associada ao número de elétrons transferidos para geração do cátion radical, visto que para o ânion persulfato são transferidos dois elétrons, enquanto para os íons férricos apenas um. Desta forma, era esperado que o S2O82- formasse mais radical cátion DEPD•+ no meio reacional. Com base nos resultados, selecionou-se o Fe(III) como oxidante para a geração do radical cátion DEPD•+ em virtude do menor tempo de formação (10 min) e estabilização.

Efeito e avaliação do pH

Foi observado que o oxigênio atmosférico também atua como oxidante sobre a molécula de DEPD, levando à formação do radical cátion DEPD•+, mas a extensão dessa oxidação dependia do pH do meio e, por consequência, comprometia a estabilidade da solução da amina. Assim, foi realizado um estudo preparando a solução da amina em diferentes soluções tampão, variando-se o pH de 1 a 7, em escala unitária, a fim de avaliar o efeito do pH na estabilidade da solução de DEPD.

As soluções da amina preparadas nas soluções tampão com valores de pH de 1 a 5 foram mais estáveis e, por consequência, menos suscetíveis a oxidação pelo oxigênio atmosférico, quando comparada com os valores de pH 6 e 7 após decorridas seis horas do preparo das soluções (Figura 1S, material suplementar). Este comportamento se deve ao fato de que, em meio mais ácido, a amina aromática encontrava-se em maior fração na forma associada (protonada). Assim, a oxidação do DEPD pelo O2 foi menos eficiente em pH de 1 a 5 quando comparada com os valores de pH 6 e 7, nos quais a amina está preferencialmente na forma não associada (desprotonada), facilitando sua oxidação e diminuindo a estabilidade da solução em função do aumento do sinal (absorvância) em decorrência da produção do radical cátion DEPD•+.

Em função deste estudo inicial em relação ao pH da solução de DEPD selecionou-se o intervalo de pH de 1 a 5 para avaliação da produção do radical cátion DEPD•+ na presença de íons Fe(III). Os resultados relativos a este estudo são apresentados na Figura 3.

 


Figura 3. Avaliação da influência do pH na geração do radical DEPD•+em função do tempo

 

A partir dos resultados apresentados na Figura 3 observou-se em pH 1 uma reduzida formação do radical em função do baixo sinal de absorvância. Isso ocorreu em função da maior extensão da protonação do(s) grupo(s) amino (base) e, desta forma, a fração não protonada estava em baixa concentração no meio levando à menor formação do respectivo radical. Para a solução preparada em pH 2 foi observado um máximo no sinal seguido de uma redução do mesmo para tempos superiores a 5 min. Para os valores de pH na faixa de 3 a 5 foram observados sinais de absorvância superiores a 0,25 UA (unidade de absorvância) para tempos superiores a 5 min e uma estabilização do sinal analítico para os primeiros minutos após a mistura dos reagentes, com destaque para o pH 4, em que o sinal se manteve praticamente constante durante todo o período de avaliação (20 min). Como era esperado, o aumento do pH da solução da amina conduziu a um maior valor do sinal analítico de referência em função do aumento da fração não protonada do DEPD, favorecendo assim a formação do respectivo radical cátion. Desta forma, selecionou-se a faixa de pH de 3 a 5 para avaliação do consumo do radical DEPD•+ frente a compostos redutores e com capacidade antioxidante, a fim de se definir o valor de pH do meio reacional.

A avaliação da influência do pH (3, 4 e 5) da solução na geração e consumo do radical DEPD•+ foi realizada frente a compostos com comprovada capacidade antioxidante e ampla distribuição em alimentos, como: ácido ascórbico (AA, hidrofílico), ácido gálico (AG, hidrofílico) e ácido tânico (AT, hidrofobicidade intermediária). Os resultados quanto a esta avaliação são apresentados na Figura 4.

 


Figura 4. Influência do pH na geração (referência) e consumo (%I) do radical cátion DEPD•+. O consumo do radical foi monitorado frente ao ácido ascórbico (AA, 5 mg L-1 ou 28,4 µmol L-1), ácido gálico (AG, 1 mg L-1ou 5,88 µmol L-1) e ácido tânico (AT, 4 mg L-1 ou 2,35 µmol L-1)

 

A geração do radical DEPD•+ foi mais eficiente para maiores valores de pH, como já discutido anteriormente. Contudo, nota-se que, de forma geral, ocorreu redução do sinal de absorvância com o tempo e este fato foi associado a reações secundárias entre as diferentes espécies no meio (radical e amina) levando a formação de outros compostos.22,23 Para este trabalho, isso foi contornado aguardando-se 10 min após a adição da solução de Fe(III) para geração do radical cátion (DEPD•+), e somente após este tempo era realizada a adição da solução contendo o antioxidante. Este procedimento garantiu uma maior estabilidade da mistura reacional quando comparado com os procedimentos empregando o DMPD.9-13

De acordo com os resultados obtidos (Figura 4) verificou-se que o consumo do radical cátion (expresso em %I) para os compostos AA, AG e AT tiveram os menores valores quando o pH foi 3, provavelmente em virtude do maior grau de associação das moléculas redutoras e menor geração do radical cátion DEPD•+. Estas moléculas (ácido ascórbico: pKa1 = 4,2 e pKa2 = 11,6; ácido gálico: pKa1 = 4,0; pKa2 = 8,7; pKa3 = 11,4 e pKa4 > 13 e ácido tânico: pKa 4,4 - 10) são derivadas de ácidos fracos, assim como outros antioxidantes naturais, e dependentes do pH (grau de ionização) quanto aos processos de óxido-redução. Logo, neste valor de pH ocorreu uma menor oxidação destas e, por consequência, menor consumo do radical DEPD•+. Adicionalmente deve-se considerar que a concentração molar do AA, AG e AT foi diferente (Figura 4). Desta forma, cabe uma comparação em relação ao perfil de consumo do radical em função do mesmo composto em diferentes valores de pH.

Para os valores de pH 4 e 5 observou-se um aumento do consumo do radical cátion em relação ao pH 3 para todos os compostos avaliados. Este aumento foi mais pronunciado para o AG e AT, uma vez que o %I para o AA apresentou pouca variação durante o intervalo de tempo avaliado. O consumo do radical DEPD•+ pelo AG apresentou valores de %I e perfil similar para pH 4 e 5, ao passo que o AA apresentou maior consumo em pH 4. Assim, apenas AT apresentou percentual de consumo (%I) maior em pH 5, provavelmente em função de uma maior extensão da ionização em relação ao pH 4, mas manteve o mesmo perfil.

Desta forma, selecionou-se o pH 4 (tampão acetato) para estudos futuros baseando-se na maior sensibilidade obtida (para o AG e AA). Além disso, os outros valores de pH não conduziam a ganhos operacionais, pois para avaliação das amostras reais normalmente recorre-se a uma etapa prévia de diluição, de forma que o pH original das amostras não deve influenciar de forma apreciável nas análises.

Concentração da solução tampão (ácido acético/acetato)

Após a seleção do valor de pH, foi avaliado o efeito da concentração desta solução de 0,025 a 0,3 mol L-1 quanto à geração e consumo do cátion radical DEPD•+ frente aos compostos com capacidade antioxidante já mencionados. Os sinais relativos à geração do radical cátion foram semelhantes para a faixa de concentração avaliada, indicando que a concentração da solução tampão não influenciou na geração do radical cátion DEPD•+. Quanto ao consumo do radical cátion DEPD•+ foi observado para todos os compostos avaliados que para concentração de 0,2 mol L-1 da solução tampão resultou em um maior %I. Desta forma, este valor foi selecionado em virtude do elevado consumo do radical cátion DEPD•+ frente aos compostos fenólicos (AG e AT) e não fenólicos (AA). Além disso, uma maior concentração da solução tampão implica em alta capacidade tamponante, o que foi útil no processo de diluição das amostras, eliminando um possível efeito de alteração do pH da solução.

Concentração da solução de DEPD

A concentração da amina foi avaliada no intervalo de 0,5 a 8 mmol L-1 quanto à geração e ao consumo do radical cátion DEPD•+. Como esperado, o aumento da concentração da amina (DEPD) conduziu a valores mais elevados do sinal da solução de referência (branco), uma vez que existia em solução uma maior concentração do radical DEPD•+. Contudo, não era interessante empregar soluções de referência com elevados valores de absorvância, em virtude de conduzir a menores valores de %I. Por exemplo, caso houvesse um sinal de referência (branco) de 0,8 UA e após a adição de um composto redutor este sinal fosse reduzido em 0,2 UA, o consumo do radical calculado seria I = 25%. Contudo, caso o sinal de referência fosse da ordem de 0,5 UA e após adição da solução redutora conduzisse à mesma variação de absorvância (0,2 UA), o percentual de redução do sinal calculado seria I = 40% (considerando que a proporção estequiométrica entre DEPD•+ e redutor fosse mantida). Logo, percebeu-se que não era adequado empregar altos valores de absorvância para solução de referência, pois conduziria a valores reduzidos de %I, da mesma forma que baixos valores do sinal de referência levariam a altos %I para uma mesma concentração da espécie antioxidante. Desta forma, se estabeleceu como critério que os sinais de referência deveriam estar compreendidos entre 0,3 a 0,6 UA para se empregar valores intermediários de %I de consumo do radical, visando reduzir erros instrumentais em função da medição de valores muito baixos ou elevados de absorvância.

Na avaliação do consumo do radical cátion DEPD•+ na presença de compostos com capacidade antioxidante foi verificado que para concentrações superiores a 2 mmol L-1 da amina obteve-se uma variação máxima de 10% em relação a faixa de concentração de 3 a 8 mmol L-1. Este perfil se manteve para todos os compostos avaliados, assim, a concentração de 2 mmol L-1 da amina foi selecionada em virtude de um sinal de referência com valor intermediário (ca. 0,4 UA) e por apresentar %I superior a 60% para AA (5 mg L-1) e AG (1 mg L-1) e 30% para o AT (4 mg L-1).

Proporção Fe(III) e DEPD

A geração e estabilização do radical cátion DEPD•+ ocorreu preferencialmente quando a amina estava em excesso em relação ao oxidante, no caso os íons Fe(III). Esta condição deve ser mantida para garantir a estabilidade do radical formado em solução e ter como único oxidante no meio, a espécie DEPD•+, a fim de não produzir resultados equivocados quanto à capacidade antioxidante da molécula que estar se monitorando, ou seja, se a mesma está reagindo com o radical ou com os íons Fe(III). Em função disso, a relação entre Fe(III) e DEPD foi avaliada nas seguintes proporções 1:10, 2:10, 3:10, 4:10 e 5:10 (oxidante:amina). De acordo com os resultados, a única proporção avaliada que apresentou sinal da solução de referência dentro da faixa de absorvância anteriormente mencionada (0,3 a 0,6 UA) foi 1:10. Para maiores proporções de Fe(III) o sinal da solução de referência aumentou de forma proporcional à concentração de íons férricos até 10 min, sendo observado um decréscimo acentuado em seguida, sem estabilização.

Para o AA e AT a maior inibição observada foi na a proporção 1:10, enquanto que para o AG as proporções de 1:10 e 2:10 apresentaram resultados equivalentes. Desta forma, a proporção de Fe(III):DEPD em 1:10 foi selecionada pois tinha uma maior proporção da amina (garantindo o excesso do DEPD frente ao oxidante) e apresentou os maiores valores de %I para os compostos avaliados.

Volume das soluções

A avaliação dos volumes das soluções de DEPD, Fe(III) e da amostra ou solução padrão foi realizada quanto à velocidade de formação e inibição do radical DEPD•+ frente aos compostos fenólicos com capacidade antioxidante. O ácido ascórbico não foi considerado quanto a este parâmetro, visto que dentre os compostos avaliados ele apresentou uma elevada velocidade (cinética) de consumo do radical cátion (reação imediata) em relação aos compostos fenólicos. Logo, a variação do volume da solução de AA não conduziria a ganhos cinéticos.

Os volumes das soluções de DEPD e Fe(III) foram avaliados de forma conjunta para garantir que o excesso da amina em relação ao oxidante fosse mantido, variando-se de 1,0 a 2,5 mL em relação ao volume total amina e Fe(III). De acordo com os resultados, o aumento do volume das soluções de DEPD e íons Fe(III) conduziu ao aumento do sinal da solução de referência em virtude da maior quantidade de radical DEPD•+ produzido (Figura 2S, material suplementar).

O consumo do radical cátion DEPD•+ (%I) frente ao AG e AT mostrou perfil similar para todos os volumes avaliados. Em função disso, o volume de 1,0 mL da solução de DEPD e Fe(III) foi selecionado em função de apresentar um sinal de referência dentro da faixa de absorvância pré-estabelecida e conduzir aos maiores %I (Figura 2S, material suplementar). Em sequência, foi avaliado o volume da solução da amostra (antioxidante) no intervalo de 0,5 a 2,5 mL. De acordo com os resultados relativos ao consumo do radical cátion DEPD•+ frente AG e AT, notou-se que o volume de 2,5 mL conduziu aos maiores %I. Considerando que a quantidade de amostra no meio constitui um fator determinante para deslocar o equilíbrio no sentido de formação dos produtos, neste caso, maior consumo do radical, justifica-se a seleção do volume de 2,5 mL.

Efeito de solventes orgânicos

As amostras de vinho têm uma percentagem variada de etanol em sua composição (9 - 20% (v/v) a depender do tipo de vinho); no entanto, após as diluições a quantidade de etanol remanescente torna-se muito baixa, permitindo que as amostras sejam analisadas sem interferência do etanol. Contudo, com a intenção de expandir a aplicação do método desenvolvido para avaliação da capacidade antioxidante em extratos de plantas e compostos sintéticos ou naturais não solúveis em água fez-se necessário avaliar o comportamento do método frente a diferentes proporções de solventes orgânicos, uma vez que as amostras citadas podem conter grande quantidade desses solventes. Nesse sentido, a sensibilidade do método foi avaliada frente a diferentes solventes, variando-se a concentração percentual (v/v) na solução final. Os solventes selecionados para o estudo foram acetona, acetonitrila, etanol, metanol, dimetilformamida (DMF) e dimetilsulfóxido (DMSO), variando-se as proporções de solução tampão/solvente de 100/0 (somente solução tampão) a 0/100 (somente solvente) em diferentes incrementos dentro deste intervalo. Para o acetato de etila ocorreu precipitação da amina aromática, logo, este solvente não foi avaliado.

Em toda avaliação, o padrão utilizado foi o ácido gálico, sendo a faixa linear máxima obtida de 0,2 a 1,4 mg L-1 (em 100% tampão) e a mínima de 0,2 a 0,6 mg L-1 (em 100 % de acetonitrila). A variação da sensibilidade (coeficiente angular da curva analítica) em relação à concentração percentual (v/v) do solvente orgânico é apresentada na Figura 5. De forma geral, o aumento do percentual dos solventes orgânicos levou à redução da sensibilidade do método.

 


Figura 5. a) Variação da sensibilidade do método em função da concentração percentual (v/v) dos solventes orgânicos avaliados empregando ácido gálico e b) expansão do gráfico destacando a avaliação de 0 a 10% (v/v) dos solventes orgânicos avaliados

 

Considerando que o solvente orgânico foi adicionado ao meio reacional juntamente com o padrão, pode-se explicar esses resultados a partir da redução da polaridade e da hidrofobicidade do meio que contém o ácido gálico e o radical DEPD•+. O radical tem natureza majoritariamente hidrofílica, mas também se deve levar em consideração sua natureza orgânica, assim, ele pode apresentar interações fortes com moléculas de água, mas também com algumas moléculas orgânicas, desde que estas sejam preferencialmente polares.

Se o solvente orgânico consegue solvatar o ácido gálico e o radical DEPD•+ de forma mais eficiente do que a água, devido à natureza orgânica dessas espécies, pode-se ter uma esfera de solvatação que aumenta em função da concentração do solvente no meio e consequente diminuição da quantidade de água. Assim, a aproximação entre esse antioxidante e o radical fica dificultada, o que acaba comprometendo a reação entre estas espécies, reduzindo o consumo do radical e, consequentemente, a sensibilidade do método.

Outro fator que deve ser levado em consideração é a estabilização do radical gerado no solvente orgânico, tornando-o menos reativo. O processo de estabilização ocorreria por meio das interações existentes no processo de solvatação. Exemplo disso são as espécies denominadas radicais de Wurster, as quais são derivadas de compostos estruturalmente semelhantes ao DEPD, e que são estabilizadas em solventes orgânicos como tolueno, benzeno e clorofórmio.24 Assim, é possível que os dois fatores apresentados ocorram de forma conjunta levando à diminuição da sensibilidade do método, consistindo em uma limitação do mesmo.

A partir dos resultados apresentados nota-se que existem restrições quanto à sensibilidade deste método, a depender do tipo e da concentração do solvente orgânico no qual os compostos ou amostra estejam solubilizados. Assim, a depender do solvente (e sua respectiva concentração) o método pode ser implementado, contudo, a concentração do(s) analito(s) a ser quantificada é um fator a ser considerado em função de uma possível redução na sensibilidade, visto que para concentrações até 10% (v/v) dos solventes avaliados a redução da sensibilidade foi menos pronunciada, quando comparada com maiores concentrações. Em alguns casos, ocorreu aumento da sensibilidade neste intervalo. No entanto, deve-se levar em consideração que tal comportamento pode não ser válido para antioxidantes lipofílicos, uma vez que na avaliação realizada empregou-se apenas o AG, o qual é hidrofílico. A escolha pelo AG se deu em virtude deste composto e derivados (além de compostos semelhantes) estarem em maior concentração em amostras de alimentos como vinhos, chás e infusões. Adicionalmente, o radical derivado do DMPD mostrou-se instável em solventes como metanol e etanol,9 o que não foi observado para o DEPD, possivelmente em função do aumento da cadeia alquílica ligada ao nitrogênio.

Figuras de mérito do método proposto

Os compostos antioxidantes empregados para otimização do método apresentaram cinéticas de reação diferenciadas. Foi observado que o consumo do radical (redução do sinal analítico) pelo ácido ascórbico era rápido quando comparado com os outros compostos, ocorrendo quase que imediatamente após a adição do redutor ao meio reacional. Dessa forma, o AA foi excluído dessa etapa de otimização tendo seu tempo mínimo de reação estabelecido em 5 min. A quercetina (QC), um dos flavonóides presentes na dieta humana mais investigados por suas propriedades antioxidantes e terapêuticas, foi incluída nesta etapa devido ao seu caráter mais lipofílico,7 uma vez que compostos com tal natureza encontram-se presentes em muitas bebidas nas quais este método pode ser empregado.

Para estabelecer qual seria o tempo mínimo necessário para as espécies AG, AT e QC consumirem o radical DEPD•+ foi considerada a sensibilidade das curvas analíticas em função do tempo de reação (5 a 60 min). De acordo com os resultados obtidos percebeu-se que para tempos superiores a 30 min ocorreu estabilização do valor da sensibilidade para todos os compostos. Dessa forma, o tempo de 30 min foi selecionado para o AG e 20 min para o AT e QC. Após a otimização das variáveis (químicas e físicas) do método espectrofotométrico proposto para determinação da capacidade antioxidante foram estabelecidas as figuras de mérito para a sonda espectrofotométrica (DEPD•+) avaliada.

Para a obtenção das figuras de mérito foram selecionadas quatro moléculas (AA, AG, AT e QC) em função da estrutura (tamanho da molécula, número de sítios oxidáveis, número de elétrons transferidos e grau de hidro ou lipofilicidade), classe (composto fenólico ou não) e distribuição nas bebidas analisadas. Os limites de detecção (LOD) foram calculados em função dos sinais de absorvância e os limites de quantificação (LOQ) foram expressos considerando-os como sendo o primeiro ponto da curva analítica. O desvio padrão relativo (RSD) foi calculado para valores de concentração nos extremos da curva, visto que são as regiões com maior erro instrumental.

A Tabela 1 mostra os resultados obtidos para os compostos avaliados considerando o tempo de reação entre a sonda e o padrão utilizado, faixa linear, equação da curva, linearidade, RSD e LOD. Como pôde ser observado a faixa linear mais larga (mg L-1) foi registrada ao se utilizar AA como padrão, no entanto, a maior sensibilidade obtida foi com AG. Dessa forma, o AG foi selecionado como padrão para o método do DEPD proposto neste trabalho, além de ser amplamente distribuído nos alimentos na forma de AG ou como derivado.

 

 

De acordo com os resultados observados (Tabela 1) percebeu-se que o AT apresentou a maior eficiência quanto à inibição do radical DEPD•+ em função do menor valor de EC50, seguido do AG, QC e por fim o AA. As faixas lineares obtidas, precisão e linearidade indicam que o método é viável para ser empregado na avaliação da capacidade antioxidante em diferentes amostras de alimentos e bebidas.

Em uma avaliação comparativa, empregando-se as condições experimentais descritas no trabalho de Fogliano e colaboradores9 e os parâmetros otimizados neste trabalho (para DEPD), foram construídas curvas analíticas para a amina DMPD usando AG como padrão. Neste estudo se obteve as seguintes relações: %I = 16CAG + 2,8 (r = 0,9987) e %I = 22CAG + 3,2 (r = 0,9979), respectivamente. O método empregando o DEPD apresentou maior sensibilidade (Tabela 1), o que justifica o emprego desta amina na determinação da capacidade antioxidante, além da maior estabilidade do DEPD em relação ao DMPD, como já mencionado em estudos anteriores neste trabalho.

Análise das amostras

Para a aplicação do método proposto foram selecionadas amostras de vinho (tinto e branco), chá e infusão, estas foram utilizadas por apresentarem, em sua composição, compostos com reconhecida ação antioxidante. Essas amostras foram analisadas pelo método proposto e pelos métodos Folin-Ciocalteau (FC), DPPH e ABTS. Os resultados são apresentados na Tabela 2.

 

 

O método de FC tradicionalmente é empregado para determinação de compostos fenólicos totais. Contudo, este método pode responder a compostos não fenólicos, como ácido ascórbico, ácido cítrico, aminas aromáticas, dióxido de enxofre, Cu(I), Fe(II), entre outras espécies. Desta forma, se não ocorrer uma separação prévia dos possíveis interferentes o mais adequado seria considerar uma medida da capacidade redutora total.6 Neste trabalho, foi considerada esta última opção, sendo observado que os valores para o método de FC apresentaram correlação positiva (0,9471 < r < 0,9685), logo, quanto maior a concentração de compostos redutores (fenólicos ou não) presentes nas amostras analisadas, maior foi a capacidade antioxidante medida pelos diferentes métodos.

A concentração de compostos com ação antioxidante em amostras de vinhos (branco e tinto) está estritamente relacionada à procedência e tipo da uva utilizada, assim como ao processo de produção.25 Contudo, as diferenças nos valores obtidos para os métodos relacionados à medida da capacidade antioxidante estão relacionadas ao princípio de ação de cada ensaio, seletividade, polaridade e sinergismo dos compostos presentes nas amostras, efeito do solvente (DPPH foi realizado em meio aquo-orgânico), pH, cinética reacional, entre outros fatores.6-9

No que se refere às amostras de chás e infusões, deve se considerar que a denominação chá é restrita apenas à bebida obtida da planta Camellia sinensis, enquanto que infusão se refere às bebidas a partir de outras ervas, e apresentam em geral menor concentração de compostos com capacidade antioxidante em relação ao chá,26 como observado nos resultados obtidos. Por ser o menos processado, o chá branco apresenta maiores concentrações de compostos fenólicos, sendo rico em catequinas; ao contrário, o chá preto apresenta menor concentração desses compostos (3 a 10%) devido ao processo de fermentação das folhas da Camellia sinensis que liberam a enzima polifenol oxidase presente nas folhas. O processamento do chá verde, apesar de ser mais agressivo que o do chá branco, consegue preservar a maior parte dos compostos fenólicos, mantendo uma concentração de 30 a 40% devido à desnaturação da enzima polifenol oxidase no início do processamento.27 De forma geral, os resultados para o chá branco e verde foram superiores aos observados para o chá preto, corroborando com a literatura.

A partir da análise de correlação dos resultados obtidos para as diferentes amostras analisadas (Tabela 2) chegou-se às seguintes equações (95% de confiança):

De acordo com as equações acima todas as correlações foram positivas, indicando que quanto maior a capacidade antioxidante para os métodos DPPH e ABTS, maior também a capacidade antioxidante para o método utilizando o radical DEPD•+. Da mesma forma, a correlação para FC indicou que com o aumento da concentração de compostos redutores nas amostras maior foi a capacidade antioxidante estimada pelo método proposto. Considerando as relações obtidas, o método do DEPD teve melhor correlação e concordância dos resultados com o método do ABTS (Figura 3S, material suplementar), visto ter apresentado o maior coeficiente de correlação linear e coeficiente angular mais próximo à unidade entre os métodos avaliados.19,28 Este comportamento deve estar relacionado à similaridade entre estes radicais por compostos preferencialmente hidrofílicos, em função da natureza das amostras analisadas.

Por fim, para uma avaliação comparativa entre os resultados foi construído um gráfico tipo boxplot, (Figura 6) no qual se pode observar a variabilidade dos resultados de cada método. Verificou-se que o método de Folin-Ciocalteau apresentou maior dispersão dos resultados, possivelmente em função de ser um método menos seletivo, enquanto o método proposto foi o que apresentou menor dispersão dos resultados, provavelmente em função de sua maior seletividade frente a compostos hidrofílicos.

 


Figura 6. Gráfico do tipo boxplot (diagrama de caixa) referente aos resultados para as amostras analisadas em relação a cada método empregado. Limite inferior do retângulo corresponde a 25 e o superior a 75% dos resultados para cada método. O ponto central indica o valor médio, enquanto a linha no interior do retângulo a mediana dos resultados

 

CONCLUSÕES

O método proposto mostrou-se viável para determinação espectrofotométrica da capacidade antioxidante em amostras de vinhos (tinto e branco), chás e infusões empregando o radical cátion DEPD•+ em função de resultados concordantes com métodos descritos na literatura. O Fe(III) foi o oxidante mais efetivo para geração do DEPD•+ na proporção 1:10 (oxidante/amina). Os estudos realizados indicaram que a amina resiste à oxidação pelo oxigênio atmosférico em meio ácido, sendo inviável seu emprego em meio básico ou para valores de pH superiores a 6. O método foi otimizado empregando como parâmetro a capacidade de consumo do radical e, por consequência, redução do sinal relativo ao mesmo empregando quatro substâncias (ácido ascórbico, ácido gálico, ácido tânico e quercetina) frente a diferentes parâmetros. Após otimização das variáveis físicas e químicas foi observado menor EC50 para os compostos avaliados AT, AG, quercetina e ácido ascórbico, nesta ordem. Contudo, a presença de solventes orgânicos em concentrações superiores a 10% (v/v) no meio reacional levou à redução da sensibilidade do método proposto. Quanto a parâmetros como estabilidade do radical e sensibilidade em comparação com o método empregando a amina DMPD o método proposto apresentou melhor resultados. Por fim, a partir da comparação dos resultados obtidos para diferentes amostras por análise de correlação (r = 0,9970, para um intervalo de 95% de confiança), o método com o radical cátion DEPD•+ foi mais concordante com o ABTS em função do valor do coeficiente angular de 0,75(±0,02).

 

MATERIAL SUPLEMENTAR

Neste item consta: perfil da oxidação do DEPD frente ao oxigênio atmosférico, avaliação do volume de DEPD e Fe(III) para geração e consumo do radical cátion DEPD•+ frente aos compostos antioxidantes AG e AT e gráficos de correlação entre o método do DEPD em comparação com os métodos de FC, DPPH e ABTS para um nível de confiança de 95%. O conteúdo do Material Suplementar encontra-se disponível em formato .pdf, com acesso livre a partir do endereço http://quimicanova.sbq.org.br.

 

AGRADECIMENTOS

À CAPES, CNPq e a PPP-FAPEAL (Edital 02/2011) pelas bolsas concedidas e pelo apoio financeiro.

 

REFERÊNCIAS

1. Carvalho Júnior, A. R.; Gomes, G. A.; Ferreira, R. O.; Carvalho, M. G.; Quim. Nova 2014, 37, 477.

2. Lavanya, G.; Padmavathi, V.; Padmaja, A.; J. Braz. Chem. Soc. 2014, 25, 1200.

3. Lotito, S. B.; Frei, B.; Free Rad. Biol. Med. 2006, 41, 1727. DOI: http://dx.doi.org/10.1016/j.freeradbiomed.2006.04.033

4. Gallice, W. C.; Messerschmidt, I.; Peralta-Zamora, P.; Quim. Nova 2011 ,34, 397. DOI: http://dx.doi.org/10.1590/S0100-40422011000300006

5. Salgueiro, F. B.; Lira, A. F.; Rumjanek, V. M.; Castro, R. N.; Quim. Nova 2014, 37, 821.

6. Magalhaes, L. M.; Segundo, M. A.; Reis, S.; Lima, J. L. F. C; Anal. Chim. Acta 2008, 613, 1. DOI: http://dx.doi.org/10.1016/j.aca.2008.02.047 PMID: 18374697

7. Alves; C. Q.; David, J.M.; David; J. P.; Bahia, M. V.; Aguiar, R. M.; Quim. Nova 2010, 33, 2202; Huang, D.; Ou, B.; Prior, R. L.; J. Agric. Food Chem. 2005, 53, 1841. DOI: http://dx.doi.org/10.1590/S0100-40422010001000033

8. Prior, R. L.; Wu, X.; Schaich, K.; J. Agric. Food Chem. 2005, 53, 4290. DOI: http://dx.doi.org/10.1021/jf0502698 PMID: 15884874

9. Fogliano, V.; Verde, V.; Randazzo, G.; Ritieni, A.; J. Agric. Food Chem. 1999, 47, 1035. DOI: http://dx.doi.org/10.1021/jf980496s PMID: 10552412

10. Rivero-Perez, M. D.; Perez-Magarino, S.; Gonzalez-San José, M. L.; Anal. Chim. Acta 2002, 458, 169. DOI: http://dx.doi.org/10.1016/S0003-2670(01)01591-4

11. Lachman, J.; Sulc, M.; Schilla, M.; Food Chem. 2007, 103, 802. DOI: http://dx.doi.org/10.1016/j.foodchem.2006.09.024

12. Rodríguez-Nogales, J. M; Vila-Crespo, J.; Goméz, M.; Food Chem. 2011, 129, 1800. DOI: http://dx.doi.org/10.1016/j.foodchem.2011.05.105

13. Asghar, M. N.; Khan, I. U.; Arshad, M. N. Sherin, L.; Acta Chim. Slov. 2007, 54, 295.

14. Çekiç, S. D.; Çetinkaya, A.; Avan, A. N.; Apak, R.; J. Agric. Food Chem. 2013, 61, 5260. DOI: http://dx.doi.org/10.1021/jf3051297 PMID: 23647382

15. VanOrsdel, C. E.; Bhatt, S.; Allen, R. J.; Brenner, E. P.; Hobson, J. J.; Jamil, A.; Haynes, B. M.; Genson, A. M; Hemma, M. R.; J. Bacteriol. 2013, 195, 3640. DOI: http://dx.doi.org/10.1128/JB.00324-13 PMID: 23749980

16. Magalhaes, L. M.; Segundo, M. A.; Reis, S.; Lima, J. L. F. C.; Tóth, I. V.; Rangel, A. O. S. S.; J. Agric. Food Chem. 2006, 54, 5241. DOI: http://dx.doi.org/10.1021/jf060324s PMID: 16848501

17. Sharma, O. P.; Bhat, T. K.; Food Chem. 2009, 113, 1201.

18. Arts, M. J.T.J.; Dallinga, J. S.; Voss, H.; Haenen, G. M. M.; Bast, A.; Food Chem. 2004, 88, 567. DOI: http://dx.doi.org/10.1016/j.foodchem.2004.02.008

19. Ellison, S. R. L.; Barwick, V. B.; Farrant, T. J. D.; Practical Statistics for the Analytical Scientist: a bench guide, 2nd ed., RSC Publishing, Cambridge, 2009

20. Chen, Z.; Bertin, R.; Froldi, G.; Food Chem. 2013, 138, 414. DOI: http://dx.doi.org/10.1016/j.foodchem.2012.10.059 PMID: 23265506

21. Zhao, D.; Liao, X.; Yan, X.; Huling, S. G.; Chai, T.; Tao, H.; J. Hazard. Mater. 2013, 254, 228. DOI: http://dx.doi.org/10.1016/j.jhazmat.2013.03.056 PMID: 23618659

22. Wildgoose, G. G.; Giovanelli, D.; Klymenko, O. V.; Lawrence, N. S.; Jiang, L.; Jones, T. G. J.; Compton, R. G.; Electroanalysis 2004, 16, 337. DOI: http://dx.doi.org/10.1002/elan.200302859

23. Klymenko, O. V.; Giovanelli, D.; Lawrence, N. S.; Rees, N. V.; Jiang, L.; Jones. T. G. J.; Compton, R. G.; Electroanalysis 2003, 15, 949. DOI: http://dx.doi.org/10.1002/elan.200390115

24. Storle, C.; Eyer, P.; Chem.-Biol. Interact. 1991, 78, 321. DOI: http://dx.doi.org/10.1016/0009-2797(91)90062-C PMID: 1649011

25. Stockham, K.; Sheard, A.; Paimin, R.; Buddhadasa, S.; Duong, S.; Orbell, J. D.; Murdoch, T.; Food Chem. 2013, 140, 500. DOI: http://dx.doi.org/10.1016/j.foodchem.2013.01.006 PMID: 23601398

26. Wang, H; Provan, G. J.; Helliwell, K.; Trends Food Sci. Technol. 2000, 11, 152. DOI: http://dx.doi.org/10.1016/S0924-2244(00)00061-3

27. Sharangi, A. B.; Food Res. Int. 2009, 42, 529. DOI: http://dx.doi.org/10.1016/j.foodres.2009.01.007

28. Miller, J. N.; Miller, J. C.; Statistics and Chemometrics for Analytical Chemistry, 5th ed., Pearson: London, 2005.

On-line version ISSN 1678-7064 Printed version ISSN 0100-4042
Qu�mica Nova
Publica��es da Sociedade Brasileira de Qu�mica
Caixa Postal: 26037 05513-970 S�o Paulo - SP
Tel/Fax: +55.11.3032.2299/+55.11.3814.3602
Free access

GN1