JBCS



5:15, qua out 8

Acesso Aberto/TP



Educação


O critério de euler como ferramenta para o estudo e diferenciação entre funções de estado e variáveis de processo em termodinâmica química
Euler's criterion as a tool for the study and differentiation between state functions and process variables in chemical thermodynamics

Paulo F. R. Ortega*; Natal J. Pires; Cláudio P. Lima

Departamento de Formação Geral, Centro Federal de Educação Tecnológica de Minas Gerais - Campus IV, 38180-510 Araxá - MG, Brasil

Recebido em: 22/02/2018
Aceito em: 02/04/2018
Publicado em: 09/05/2018

Endereço para correspondência

*e-mail: pauloortega@cefetmg.br

RESUMO

In this work, we present a little explored alternative for the study and classification of thermodynamic variables. Some methods in the theory of ordinary differential equations not only support the use and calculation of these variables but also assists the physicochemical interpretation. We explore the Euler's criterion as a resource to study and differentiate the state functions and process variables useful in chemical thermodynamics. For this purpose, we carry out the development of the differentials and their analysis in a simple, rigorous, and progressive way, in accordance with the level of the topics treated in graduate courses of physical chemistry and classical thermodynamics.

Palavras-chave: Euler's criterion; state functions; process variables; thermodynamics.

INTRODUÇAO

A termodinâmica clássica é uma das teorias físicas de maior importância para as ciências da natureza e suas tecnologias, pelo fato de que suas leis gerais, de natureza empírica, regem sem nenhuma exceçao todos os processos em escala macroscópica. Em química moderna, a termodinâmica ainda pode ser considerada um de seus pilares, pois é capaz de descrever as transformaçoes dos sistemas, mudanças de estado e até definir critérios de equilíbrio e espontaneidade. Ainda neste último exemplo, temos que os métodos termodinâmicos sao capazes de apontar a direçao que um sistema macroscópico irá evoluir até atingir um estado energeticamente adequado, em condiçoes bem definidas, independentemente de sua natureza microscópica.

Para a análise da evoluçao de um sistema macroscópico, a termodinâmica necessita que inicialmente sejam especificadas suas características. Logo, sao definidas as propriedades termodinâmicas como grandezas macroscópicas mensuráveis, direta ou indiretamente, contendo uma definiçao operacional e um padrao conveniente. Em química, a massa, o volume, a composiçao, a densidade e a temperatura estao contidas dentro de um conjunto de propriedades termodinâmicas de grande importância experimental. Uma vez conhecidas, tal conjunto de propriedades define o estado termodinâmico de um sistema. Um estado especial, definido como o equilíbrio termodinâmico, ocorre quando um sistema, livre de campos de força e de trocas de matéria com meios externos, apresenta todas as suas propriedades inalteradas ao longo do tempo. Além disso, é uma consequência da segunda lei o fato de que todos os sistemas macroscópicos irao evoluir para o equilíbrio termodinâmico.

Levando-se em conta todas as definiçoes apresentadas, pode-se inferir que qualquer modificaçao no estado de um determinado sistema será percebida pela variaçao nos valores de suas propriedades, uma vez que estas o caracterizam. Neste sentido, as propriedades termodinâmicas ainda podem ser definidas como funçoes de estado ou coordenadas termodinâmicas. Além disso, nessa teoria ainda sao definidas as variáveis de processo, que nao especificam o estado de um sistema, mas estao associadas a eventos de transferência que causam alteraçoes nos estados. Calor (Q) e trabalho (W) sao as variáveis de processo que especificam e quantificam a maneira pela qual ocorre a transferência de energia entre sistemas ou entre sistema e vizinhança.

No ensino da termodinâmica química, frequentemente abordado nos primeiros semestres dos cursos de graduaçao como tópicos de físico-química, importantes funçoes de estado sao apresentadas aos estudantes. Algumas destas funçoes, tais como pressao, volume e quantidade de matéria, sao de fácil definiçao e demonstraçao física. Por outro lado, outras sao oriundas das leis da termodinâmica com definiçoes mais abstratas, tais como a entropia e as energias livres. Além disso, um número elevado de relaçoes matemáticas1 entre essas funçoes ainda pode ser derivado dos princípios da termodinâmica e, frequentemente, essas relaçoes mesclam variáveis de processo e as funçoes de estado. Essa mistura de grandezas mensuráveis, mas com definiçoes diferentes, deve receber atençao especial por parte dos educadores porque, em nao raras vezes, muitos estudantes nao se desvinculam de erros do senso comum quando, por exemplo, associam calor como uma "quantidade de energia contida em um corpo", ou seja, caracterizando um sistema com uma variável de processo.

A distinçao entre variáveis de processo e funçoes de estado é normalmente feita nos cursos de graduaçao calculando-se Q ou W em dois processos distintos (caminhos), mas com os mesmos estados termodinâmicos iniciais e finais. Desse modo, encontram-se valores diferentes para Q ou W em cada caminho e valores idênticos para qualquer propriedade termodinâmica. Apesar de ser uma abordagem válida, essa nao justifica o porquê de encontramos esses resultados. Aplicando-se o formalismo matemático normalmente contido nos cursos de cálculo diferencial e integral, pode-se fazer a distinçao sólida entre o que venha a ser uma variável de processo e o que é uma funçao de estado. Este é o ponto central da nossa crítica, de que tal abordagem geralmente nao é levada a cabo no ensino de termodinâmica nos cursos de química, física ou engenharias em nível de graduaçao, mesmo nas melhores universidades do país. Isso demonstra claramente a falta de correlaçao entre inúmeros tópicos matemáticos nas disciplinas químicas ofertadas em nossas instituiçoes. Talvez a ausência dessa conduta na prática docente seja reflexo do fato de que a maioria dos livros textos,2-15 comumente adotados para o ensino de termodinâmica química, apresentam minimamente ou até mesmo desprezam um tratamento adequado ao que propomos em termos de abordagem das equaçoes diferenciais em termodinâmica. Até mesmo em muitos livros de apoio matemático voltados para aplicaçao em físico-química acabam por realizar uma abordagem superficial ou bem próxima àquela já encontrada nos principais livros de cálculo diferencial e integral, ou seja, sem a devida contextualizaçao em termodinâmica.16-21

Nesse artigo nós distinguimos as funçoes de estado e variáveis de processo mais importantes da termodinâmica química com base no critério de Euler, uma relaçao-consequência das equaçoes diferenciais exatas. Nosso propósito nao é o de sugerir a substituiçao do ensino indutivo ou numérico para distinguir e definir as variáveis termodinâmicas, mas sim o de aproximar o formalismo matemático do ensino dessa teoria, bem como o de divulgar e trazer em relevo essa alternativa interessante. Outros professores e educadores brasileiros têm se dedicado também a esse papel, com importantes textos em termodinâmica química, divulgando suas extensoes, história, aplicaçoes e até mesmo os aspectos formais.22-25 Aqui, objetivamos apresentar um texto sem qualquer excesso de profundidade nesses quesitos, especialmente em rigor matemático, e esperamos contribuir com um conteúdo demonstrativo que auxilie no estudo das variáveis termodinâmicas e no nível dos cursos iniciais de graduaçao.

No que diz respeito à nossa prática docente temos constatado que o enfoque que defendemos neste artigo mostra-se bastante profícuo, pois quando de sua aplicaçao em nossos cursos foi nítida a postura de entendimento demonstrada pelos alunos acerca do que pretendíamos atingir. Observamos ainda uma atitude de valorizaçao por parte dos alunos em relaçao aos conceitos matemáticos obtidos no cálculo diferencial e integral de suas grades curriculares, uma vez que neste momento era mais uma ocasiao em que eles podiam perceber a aplicaçao do conhecimento adquirido em situaçoes de interesse específico.

Neste manuscrito será apresentada uma breve revisao das equaçoes diferenciais exatas focando nos pontos mais importantes para este estudo: o critério de Euler e o fator integrante. Em seguida, esses conteúdos matemáticos serao incorporados ao estudo das variáveis termodinâmicas mais importantes em química, com o desenvolvimento gradual de todas as diferenciais necessárias.

 

UM POUCO DE MATEMATICA: EQUAÇOES DIFERENCIAIS EXATAS E INEXATAS

Iremos considerar nesse texto apenas as funçoes de duas variáveis que sao as mais importantes em um curso inicial de termodinâmica. Um pouco do formalismo das equaçoes diferenciais fornece, como veremos, todas as ferramentas necessárias para o estudo das funçoes de estado e variáveis de processo.

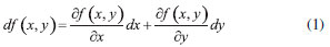
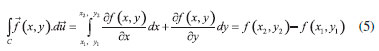
Seja uma funçao de duas variáveis f(x,y), cujas derivadas parciais sao contínuas em um plano R2 conexo. A diferencial total de f(x,y) é dada por:

para f(x,y) = c, onde c é uma constante arbitrária, temos que:

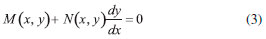
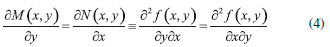
Nessas condiçoes podemos gerar uma equaçao diferencial de primeira ordem calculando a diferencial total de f(x,y). Inserindo as notaçoes M(x,y) = f(x,y)/x e N(x,y) = f(x,y)/y, podemos reescrever a Equaçao 2 na seguinte forma:

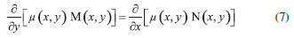
Logo, a Equaçao diferencial 3 e, consequentemente a Equaçao 2, é denominada uma equaçao diferencial exata se, e somente se, a igualdade entre as derivadas cruzadas em (4) for satisfeita em todos os pontos do plano R2 conexo.

A igualdade (4) também é conhecida como condiçao ou critério de Euler para a distinçao entre equaçoes diferenciais exatas e inexatas. A vantagem de uma dada funçao f(x,y) satisfazer o critério de Euler, quando sua diferencial pode ser escrita como na Equaçao 1, está no cálculo da integral sobre um caminho C, que se torna simplificado. Nesse caso, a integral de f nao depende do caminho, mas somente dos extremos especificados:

onde é o vetor que especifica o caminho percorrido por f no plano R2 conexo.

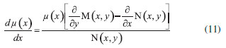
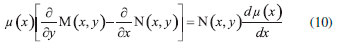
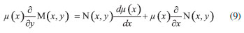
Algumas equaçoes diferenciais nao podem ser resolvidas diretamente. Entretanto, ao multiplicá-las por uma determinada funçao µ, conhecida como fator integrante, é possível obter uma soluçao para tal equaçao diferencial. Tal artifício é conhecido como método de Leibniz. Para algumas equaçoes diferenciais inexatas é possível utilizar o método de Leibniz para torná-las equaçoes diferenciais exatas. Para exemplificar, podemos considerar a Equaçao diferencial 3 e assumir que essa é inexata neste momento. Multiplicando essa equaçao por uma funçao µ(x,y) obtemos:

Para satisfazer a condiçao de Euler, temos que:

logo,

aqui o problema pode ser simplificado se o fator integrante, ou seja, a funçao µ(x,y), for de uma única variável, tal como µ(x,y) → µ(x). Sendo assim, a Equaçao 7 pode ser escrita como:

rearranjando os termos:

finalmente:

Sendo assim, se é funçao só de x, existe um fator integrante µ(x) possível de ser determinado e que, ao multiplicá-lo pela equaçao diferencial inexata, fará com que ela se torne exata.

 

APLICAÇAO DO CRITÉRIO DE EULER NAS DIFERENCIAIS DE FUNÇOES DE ESTADO E DE VARIAVEIS DE PROCESSO

Frequentemente, a diferenciaçao entre as funçoes de estado e variáveis de processo é feita de forma indutiva ou através de exemplos numéricos para evidenciar que as variaçoes nos valores dessas propriedades sao independentes do caminho, como resultado da Equaçao 5. O recurso mais utilizado é a criaçao de caminhos cíclicos para um sistema gasoso ideal e a realizaçao de cálculos em etapas reversíveis, cujo resultado levará a zero a integral cíclica da funçao de estado e a valores nao-nulos para a variável de processo:

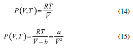
Aqui apresentamos o critério de Euler como uma alternativa matematicamente mais elegante, na qual trabalhamos diretamente com as diferenciais sem a necessidade da criaçao de processos cíclicos reversíveis e o cálculo das integrais. Nos cursos iniciais de físico química, o gás ideal é o sistema termodinâmico mais estudado devido principalmente à simplicidade da equaçao de estado , válida para qualquer sistema independente de sua natureza química, devido ao desprezo das interaçoes entre partículas. Logo, as diferenciais e as derivadas cruzadas para P, V e T podem ser obtidas facilmente com a equaçao dos gases ideais. Obviamente, equaçoes de estado mais complexas podem também ser abordadas.

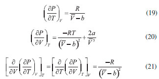
Considerando como exemplo a variável P e a isolando na equaçao de estado dos gases ideais (Equaçao 14) e de van der Walls (Equaçao 15), em que P é funçao de T e V em ambos os casos, temos:

Logo, calculando as derivadas primeiras para P no gás ideal, temos:

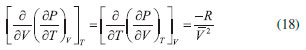
Finalmente, calculando as derivadas cruzadas, ainda no caso do gás ideal, tem-se a igualdade entre ambas e a prova de que P é uma funçao de estado:

Do mesmo modo, provamos que P é funçao de estado para o gás de van der Walls, encontrando-se as derivadas primeiras (Equaçoes 19 e 20) e, finalmente, a igualdade entre derivadas cruzadas (Equaçao 21):

Considerando que a pressao P especifica o estado macroscópico de um sistema, especialmente no caso de gases, além de compor as equaçoes de estado utilizadas, os resultados encontrados devem ser esperados. Entretanto, a manipulaçao das diferenciais solidifica o rigor matemático nos estudantes que estao em contato inicial com a termodinâmica. Além disso, o mesmo cálculo simples pode ser feito para as propriedades termodinâmicas V e T a partir das equaçoes de estado dos gases perfeitos e reais.

Considerando as variáveis de processo, estas nao estao contidas nas equaçoes de estado, pois nao descrevem um sistema termodinâmico. Porém pode-se obter suas diferenciais combinando expressoes convenientes no resultado da primeira lei (Equaçao 22):

Como ainda provaremos, as equaçoes diferenciais obtidas com as variáveis de processo sao inexatas e muitos livros textos diferenciam as notaçoes para representar as diferenciais de Q e W.9-15 Ressalta-se que a utilizaçao dessas diferentes notaçoes nao prejudica o entendimento da teoria e pode ser vista como um "artifício de ensino" para distinguir variáveis de processo e funçoes de estado. Entretanto, nós preferimos, assim como outros autores,25,26 a nao utilizaçao das diferentes notaçoes, pois entendemos que prejudica o elo necessário entre a teoria física e seu formalismo matemático. De fato, baseado em textos sobre equaçoes diferenciais, nao existe a distinçao entre as diferenciais (em exatas ou inexatas) porque esta é feita na soluçao das equaçoes e nao pela diferencial propriamente dita.27-29 Finalmente, o critério de Euler é mais do que suficiente para tal distinçao.

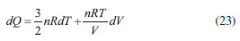
Para obter uma diferencial de duas variáveis para Q, podemos utilizar novamente o gás ideal como sistema modelo, donde . Para a diferencial da energia interna tem-se o resultado da teoria cinética dos gases para sistemas monoatômicos . Logo, substituindo as duas relaçoes na Equaçao 22, temos finalmente uma diferencial conveniente para dQ:

Considerando Q = f(T,V) e escrevendo dQ = (∂Q/∂T)VdT + (∂Q/∂V)TdV, encontramos diretamente as derivadas primeiras:

calculando as derivadas cruzadas encontramos:

Portanto, como as derivadas cruzadas de Q sao diferentes, o critério de Euler garante que seus valores finitos dependem do caminho de integraçao, ou seja, Q nao é uma funçao de estado. Do ponto de vista físico-químico, este é o motivo pelo qual temos expressoes diferentes para o cálculo de Q, dependendo do tipo de processo. Além disso, os valores de Q e W também nao podem ser calculados pela mesma expressao percorrendo caminhos reversíveis e irreversíveis.

Ainda considerando as diferenciais de Q, pode-se trabalhar com os estudantes de termodinâmica a obtençao de expressoes para sistemas mais complexos, nos quais consideram-se moléculas lineares, nao-lineares e as contribuiçoes das energias de vibraçao, rotaçao e de interaçao intermolecular. Os mesmos resultados serao encontrados sem muito esforço matemático. Em uma das obras aqui citadas, o autor demonstra as expressoes para energia interna de sistemas nao-ideais de forma simples e elegante.22

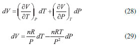
Para estudarmos a diferencial de trabalho podemos utilizar novamente a equaçao de estado dos gases ideais e reescrever a diferencial dV em duas variáveis. Sabemos que V = nRT/P e, portanto, V = f(T,P). Logo, podemos escrever:

uma vez que dW = -PdV, pode-se substituir a diferencial de dV (Equaçao 29) para obtermos uma nova expressao para dW em duas variáveis:

Considerando W = f(T,P), temos de imediato as derivadas primeiras: (∂W/∂T)P = –nR e (∂W/∂P)T = nRT/P. Calculando as derivadas cruzadas, mostramos finalmente que W nao é uma funçao de estado:

 

O FATOR DE INTEGRAÇAO EM TERMODINAMICA

O fator de integraçao tem sua importância revelada nesta seçao com a obtençao da diferencial de uma das funçoes de estado mais importantes: a entropia (S). No estudo da segunda lei, a definiçao de entropia é normalmente induzida com a análise de um processo cíclico, convencionalmente o de Carnot. Aplicando a equaçao 22 nesse ciclo, normalizada pela temperatura, obtém-se uma expressao para o cálculo de S para processos macroscópicos reversíveis e prova-se, imediatamente, que S é uma funçao de estado com o resultado da Equaçao 33:

Aqui o método de Leibniz pode ser explorado de uma maneira elegante para se obter a prova de que S é uma funçao de estado. Tomando a diferencial para calor (Equaçao 23), é fácil mostrar que o inverso da temperatura (1/T) atua como o fator integrante:

observando que S = f(T,V) e escrevendo dS = (∂S/∂T)VdT + (∂S/∂V)TdV , encontramos diretamente as derivadas primeiras:

calculando as derivadas cruzadas:

É interessante notar que o resultado encontrado para S, a partir da diferencial dQ, pode ser estendido para outras variáveis de processo em termodinâmica. O fator de integraçao nos garante que a razao entre qualquer variável de processo e qualquer propriedade termodinâmica irá resultar em uma nova funçao de estado. Aproveitando as diferenciais já escritas neste texto, vamos definir como exemplo uma funçao Z com a seguinte razao:

utilizando a Equaçao 30 para dW, obtemos uma diferencial de duas variáveis conveniente para dZ:

Notemos que a diferencial -dZ é equivalente à diferencial dV (Equaçao 29) e, portanto, dZ satisfaz o critério de Euler:

 

AS RELAÇOES DE MAXWELL

O uso do critério de Euler nao se limita, obviamente, à pesquisa e distinçao entre funçoes de estado e variáveis de processo. Sem dúvida, uma das mais importantes consequências do formalismo matemático das equaçoes diferenciais em termodinâmica reside nas relaçoes de Maxwell. Estas inter-relacionam as derivadas parciais das diferenciais das energias, fornecendo uma maneira útil e simples de mensurar taxas de variaçoes entre propriedades termodinâmicas de difícil acesso experimental em certas condiçoes de contorno.

As diferenciais de energia, aqui referidas, também conhecidas como equaçoes de Gibbs, sao também consideradas as equaçoes fundamentais mais importantes da termodinâmica química. Isso porque suas diferenciais contêm as consequências de todas as leis da termodinâmica e o cálculo de suas integrais fornece o valor da energia que pode ser extraída/fornecida de um sistema submetido a um processo reversível. Além disso, toda a informaçao acerca da espontaneidade do processo pode ser extraída dessas equaçoes considerando apenas o sistema e nao o universo.

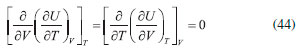
As diferenciais para a energia interna (U), entalpia (H), energia de Helmholtz (A) e de Gibbs (G) sao explicitadas a seguir, considerando um sistema homogêneo, fechado e em equilíbrio material. Pode-se notar que todas sao combinaçoes de funçoes de estado (T, P, V ou S) e, consequentemente, todas sao funçoes de estado. Provamos essa informaçao para a energia interna reescrevendo a Equaçao 22, sabendo que dQ = TdS e dW = -PdV:

substituindo dS pela sua diferencial (Equaçao 34), temos:

como nRT/V = P, a Equaçao 42 terá o coeficiente zero para dV:

logo, tomando U = f(T, V), temos:

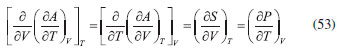
Tomando as quatro diferenciais de energia obteremos a seguir as relaçoes de Maxwell com o critério de Euler. Para as funçoes H, A e G, temos as seguintes diferenciais:

Calcularemos as derivadas primeiras e cruzadas apenas para G, entretanto, a obtençao para as demais se dá a partir de raciocínio análogo, e seus resultados se encontram em qualquer livro texto de termodinâmica.

Finalmente, de forma análoga, temos para U:

para H:

para A:

 

CONCLUSAO

Nesse artigo exploramos de forma gradual as consequências das equaçoes diferenciais exatas e inexatas em termodinâmica, especialmente na distinçao entre as funçoes de estado e variáveis de processo. Classificamos as principais variáveis de interesse da termodinâmica química segundo o critério de Euler e aplicamos na obtençao das relaçoes de Maxwell. Finalmente, esperamos que este trabalho, no contexto em que é trazido, preencha um lacuna dos nossos principais livros-textos, facilitando a conexao da teoria termodinâmica com tópicos matemáticos de ensino superior e contribuindo para uma formaçao mais sólida dos estudantes de graduaçao em química e de áreas em contato com a termodinâmica química.

 

REFERENCIAS

1. Ott, J. B.; Boerio-Goates, J.; Chemical Thermodynamics: Principles and Applications, 1st ed., Academic Press: London, 2000.

2. Atkins, P. W.; de Paula, J.; Físico-Química, 10ª ed., LTC: Rio de Janeiro, 2018, v.1.

3. Ball, D. W.; Físico-Química, 1ª ed., Pioneira Thomson Learning: Sao Paulo, 2005. v.1.

4. Glasstone, S.; Termodinámica para Químicos, 5ª ed., Aguilar: Madrid, 1978.

5. Levine, I. N.; Físico-Química, 6ª ed., LTC: Rio de Janeiro, 2012, v.1.

6. Moore, W. J.; Físico-Química, 1ª ed., Edgard Blücher: Sao Paulo, 1976, v.1.

7. Mortimer, R. G.; Physical Chemistry, 3rd ed., Academic Press: Amsterdam, 2008.

8. Pilla, L.; Físico-Química: Termodinâmica Química e equilíbrio químico, 2ª ed., UFRGS Editora: Porto Alegre, 2006.

9. Barrow, G. M.; Físico-Química, 4ª ed., Editora Reverté Ltda.: Rio de Janeiro, 1982.

10. Castellan, G. W.; Fundamentos de Físico-Química, 1ª ed., LTC: Rio de Janeiro, 1986.

11. Chang, R.; Físico-química: para as ciências químicas e biológicas, 3ª ed., AMGH: Porto Alegre, 2009. v. 1.

12. Engel, T.; Reid, P.; Physical Chemistry, 3rd ed., Pearson: Boston, 2013.

13. Laidler, K. J.; Meiser, J. H.; Fisicoquímica, 2ª ed., CECSA: Ciudad de México, 1998.

14. McQuarrie, D. A.; Simon, J. D.; Physical Chemistry: a molecular approach, 1st ed., University Science Books: California, 1997.

15. Silbey, R. J.; Alberty, R. A.; Bawend, M. G.; Physical Chemistry, 4th ed., John Wiley & Sons, Inc.: Massachusetts, 2005.

16. Barrante, J.; Applied Mathematics for Physical Chemistry, 2nd ed., Prentice Hall: New Jersey, 1998.

17. Metzger, R. M.; The Physical Chemist's Toolbox, 1st ed., John Wiley & Sons: New Jersey, Inc., 2012.

18. Monk, P.; Munro, L. J.; Matemática para Química: Uma caixa de ferramentas de cálculo dos químicos, 2ª ed., LTC: Rio de Janeiro, 2012.

19. Mortimer, R. G.; Mathematics for Physical Chemistry, 4th ed., Academic Press: Amsterdam, 2013.

20. Turrell, G.; Mathematics for Chemistry and Physics, 1st ed., Academic Press: San Diego, 2002.

21. Warren, W. S.; The physical Basis of Chemistry, 2nd ed., Academic Press: San Diego, 2001.

22. Braga, J. P.; Físico-Química: Aspectos Moleculares e Fenomenológicos, 1ª ed., Editora UFV: Viçosa, 2002.

23. http://chemkeys.com/br/2005/09/18/matematica-e-termodinamica, acessada em Abril 2018.

24. Nery, A. R. L.; Bassi, A. B. M. S.; Quim. Nova. 2009, 32, 522.

25. http://chemkeys.com/br/2006/05/24/o-conceito-de-propriedade-termodinamica, acessada em Abril 2018.

26. Sommerfeld, A.; Thermodynamics and Statistical Mechanics, 1st ed., Academic Press Inc.: New York, 1956.

27. Zill, D. G.; Cullen, M. R.; Differential Equations with Boundary-Value Problems, 7th ed., Brooks/Cole Cengage Learning: Belmont, 2009.

28. Granville, W. A.; Smith, P. F.; Longley, W. R.; Elementos de cálculo dife rencial e integral, 10ª ed., Editora Ambito Cultural: Rio de Janeiro, 2013.

29. Piskounov, N.; Cálculo diferencial e integral, 12ª ed., Ediçoes Lopes da Silva: Porto, 1988. v.2.

On-line version ISSN 1678-7064 Printed version ISSN 0100-4042
Qu�mica Nova
Publica��es da Sociedade Brasileira de Qu�mica
Caixa Postal: 26037 05513-970 S�o Paulo - SP
Tel/Fax: +55.11.3032.2299/+55.11.3814.3602
Free access

GN1