JBCS



17:09, seg out 13

Acesso Aberto/TP



Artigo

Postsynthesis of titanium incorporated with amino-functionalization UiO-66 for enhancing CO2 uptake

Jinlong Ge*; Zhong Wu; Qiuqin Wang; Shanshan Yang

School of Material and Chemistry Engineering, Bengbu University, Bengbu 233030, P. R. China

Recebido em: 23/03/2018
Aceito em: 28/06/2018
Publicado em: 28/11/2018

Endereço para correspondência

*e-mail: jinlongge2005@126.com

RESUMO

Metal-organic frameworks (MOFs) are promising nanomaterials with unprecedented capacity to store small molecules. Titanium cooperated with NH2-UiO-66 were prepared via post synthesis modifications approach and their structures and properties were characterized by X-raydiffraction,Fourier transform infrared spectroscopy, thermogravimetric analysis, nitrogen adsorption isotherms, and scanning electron microscopy. The resultant titanium cooperated with NH2-UiO-66 showed excellent performance for CO2 adsorption via the formation of oxo-bridged hetero-Zr-Ti clusters. This result clearly demonstrates that the smaller Ti ions exchanged with the Zr ions of NH2-UiO-66 may decrease the pore sizes within the framework to be closer to the ideal pore sizes for CO2 adsorption.

Palavras-chave: metal-organic frameworks; NH2-UiO-66; CO2 uptake;Titanium.

INTRODUCTION

As a new class of hybrid porous crystalline materials, metal-organic frameworks (MOFs) typically constructed from metal oxo-clusters interconnected by polydentate organic ligands, have a definite composition and structure.1 Permanent microporosity, adjustable porosities, tunable pore suface,typically very high internal surface areas and low densities make MOFs material promising candidates in the area of gas storage,2 separation, heterogeneous catalysis, chemical sensing and drug delivery. 3 Additionally,porous MOF compounds provide distinct advantages over other classes of adsorbents and heterogeneous catalysts.4

Nowadays, the rising level of carbon dioxide in the atmosphere has become one of the biggest problems worldwide.5 Therefore, reducing carbon dioxide emission from the burning processes by capture and storage has been proposed as one of the control strategies and thus has been studied by many researchers throughout the world using different technologies.6 With current technology, the most effective method of CO2 capture from flue gases is chemical absorption in an aqueous solution of an amine based organic, such as mono- or diethanol-amine.7 Furthermore, the degradation of the amine absorbent leads to corrosive mixtures.Among these methods, recent advances have shifted towards adsorption technology using novel materials such as MOFs to controlling the CO2 emission from flue gases.8 In addition to a high surface area and pore volume, MOFs chemical nature can be fine-tuned by selecting the appropriate building blocks and/or by post-synthetic modification, thus leading to tailored porous materials with great promise for the CO2 adsorption.9

Recently, Zr-based MOFs (UiO-66) , which with free diameter of octahedral cage is 11 Å and tetrahedral cage is 8Å, and the cages are connected by triangular windows with a diameter of 6 Å, have been found to have good thermal stability and adsorption capacity toward CO2. Different ligand linkers have been tested for adsorption of CO2 such as NH2-BDC and Br-BDC.10 Possess high surface areas, large cavity volumes, robust and stable at high temperatures and in atmospheric moisture, NH2-UiO-66 is an ideal candidate for CO2 capture.11

The partial substitution of metal cations in MOFs can lead to the formation of oxo-bridged heterometallic assemblies within the same MOFs. Such bimetallic assemblies with more flexibility and tunability due to the availability of different MOF structures, are expected to show enhanced photocatalytic performance.12The incorporation with metal ions in MOFs is considered one of the effective ways to modify the pore sizes of MOFs. Post-synthesis modifications of preconstructed MOFs by replacement of the organic cation with smaller inorganic cation have been performed to tune the pore size and provide desired surface chemistries in MOFs.This postsynthetic exchange of ligands occurred with full retention of crystallinity and porosity as gas sorption measurements.13

NH2-UiO-66 is suitable for postsynthetic modification with a variety of anhydrides to generate new functionalized frameworks.The amine tagged NH2-UiO-66 has been explored in post-synthesis modifications reactions, Cohen and Lillerud14 independently reported the acylation of NH2-UiO-66 via the use of anhydride reagents.The aziridination of the amino group has been performed in NH2-UiO-66 with acetaldehyde. Wang et al.15 reported via a facial modified post-grafting method prepared UiO-66 fabricated with titanium. Ti-substituted NH2 -UiO-66(Zr/Ti) prepared by Sun et.al. using a post-synthetic exchange method showed enhanced photocatalytic performance for both CO2 reduction.

We herein report the synthesis of titanium cooperated with NH2-UiO-66 via a facial modfied post-grafing method. The CO2 adsorption performance of the as-synthesized NH2-UiO-66(Ti) nanocomposites was evaluated.

 

EXPERIMENTAL

Materials

Zirconium chloride (ZrCl4), 2-aminoterephthalic acid (Sigma-Aldrich.>99%), N,N-dimethylformamide (DMF) and ethanol were purchased from Shanghai Chemical Reaent Inc. of the Chinese Medicine Group. Tetrabutyl titanate(Ti(OBu)4 ) were ordered from Aladdin,All chemicals were used without further purification.

Synthesis of amino-functionalized NH2-UiO-66

A standard up scaled synthesis of NH2-UiO-66was performed by dissolving ZrCl4 (1.50g,6.4mmol) and 2-aminoterephthalic acid (1.56 g, 6.4 mmol) in DMF (180 mL) at room temperature in a volumetric flask.16 The resulting mixture was placed in a preheated oven at 80 °C for 12 h and then held at 100 °C for 24 h. After the solution was cooled to room temperature in air, the resulting solid was filtered and repeatedly washed with absolute ethanol for 3 days while heated at 60 °C in a water bath. The resulting yellow powder was filtered and dried under vacuum at ambient temperature.

Synthesis of TiCl4 (THF)2

TiCl4 (THF)2 was synthesized according to the patent of Francesco et al.17 5.0 g TiCl4 was dissolved in 50 mL of dichloroethane in a 250mL RBF under inert conditions. 7.62 g dried tetrahydrofuran (THF) was added at 0 °C to form a yellow solution. 100 mL of sodium dried n-hexane was used to precipitate a yellow powder, which was filtered and washed with n-hexane. It was dried for 2-3 hours over a Schlenk line, and used immediately for post-synthetic exchange.

Post-synthetic exchange of UiO-66 with TiCl4 (THF)2

The post-synthetic exchange of UiO-66 with TiCl4(THF)2 was carried out according to the work of Cohen and co-workers. 0.17 g TiCl4 (THF)2 was dissolved in 10 mL of DMF. 0.14 g of NH2-UiO-66 was added. (denoted as NH2-UiO-66 (Ti)-0.2, 0.4, 0.6, 0.8, 1.0, respectively). The mixture was incubated for 5 and 15 days. The solids were separated from the solvent via centrifugation, and washed with fresh DMF. The washed solids were immersed in a methanol bath for 3 days. The methanol was replaced every 24 hours. The solids were dried at 40 °C in a vacuum for 24 hours.

Characterizations

Powder X-ray diffraction (PXRD) patterns were collected by using an X-ray diffract meter with Cu target (36 kV, 25 mA) from 5 to 70°. Ultraviolet-visible (UV-vis) absorbance spectra were collected on a Shimadzu UV 3600 plus spectrophotometer over a range of 200-800 nm. Infrared (IR) spectra (KBr pellets) were obtained in the 400-4000 cm-1 rang with a resolution of 4 cm-1 using a Nicolet Nexus 870 FTIR spectrometer. Nitrogen sorption-desorption isotherms were obtained at 77 K on a Micromeritics ASAP 3020 analyzer. The samples were heated at 150 °C for 12 h prior to each test. Morphology and microstructure were observed by a field emissions scanning electron microscope (FE-SEM: Hitachi S-4800) and high resolution transmission electron microscopy (TEM: JEOL JEM 2100). Transmission electron microscope was operated at 200kV. Thermogravimetric Analysis was performed on an in the tempteature range of 30-900 °C under nitrogen at a heating rate of 20°C min-1,using a Pyris1 TGA-1.

 

RESULTS AND DISCUSSION

Characterization of Ti/NH2-UiO-66

XRD,FI-IR measurements

XRD patterns of the NH2-UiO-66 and UiO-66(Ti) nanocomposite was presents as Figure 1. All the NH2-UiO-66(Ti) exhibited a similar XRD pattern as reported in the literature. The samples present sharper and narrower diffraction peaks at 2θ=7.3°, 8.5°, 17.1°, 25.8° and 30.8°, indicating the higher crystallinity.18 Peaks corresponding to newly emerged phases cannot be observed even at higher Ti concentration. It suggested that the introduction of titanium does not result in any destruction or disorder in comparison to the NH2-UiO-66 sample.19 Additionally, with the increasing of the Ti to Zr molar ratio, the partial substitution of larger Zr in Zr-O oxoclusters replaced by smaller Ti, this suggests that Zr in the original NH2-UiO-66 has been substituted by Ti.NH2-UiO-66 framework was reformed and substituted by the titanium species with Ti-O clusters,NH2-UiO-66 shows not well-ordered porous structure.20

 


Figure 1. XRD spectra of Ti incorporated with NH2-UiO-66

 

The FTIR spectra of these Ti/NH2-UiO-66 samples exhibit similar characteristic peaks, as shown in Figure 2.The two intense bands around 1569.15 and 1386.53 cm-1 are associated with the C-O asymmetric and symmetric stretch vibrations in the carboxylate group in NH2BDC, respectively.21 The small band around 1497.35cm-1 represents the vibration of C-C in the benzene ring. The 1361.25 cm-1 absorption band is attributed to the C-N stretching. Additional peaks between 664.89-964.80 cm-1 are associated with bending and twisting of the Zr node.22 Shoulder peaks are associated with the loss of symmetry at the Zr node, but are difficult to distinguish. The Zr-Cl stretch is difficult to assign to one specific mode but occurs in the same frequency range as the Zr-O stretches between 483.20 and 582.96 cm-1.

 


Figure 2. FTIR spectra of Ti incorporated with NH2-UiO-66

 

TG,BET measurements

Thermogravimetric analyses were carried out in an air atmosphere for investigation of the thermal stability of the compound. As displayed in Figure 3, the Ti incorporated with NH2-UiO-66 was accordance with previous studies.23 The framework decomposition is occurs over a temperature range of 540 °C. All the samples are occur loss of physisorbed water molecules and solvent molecules hosted in the pores over a temperature range of 35-100 °C. The progressive structured weight loss up to 200-350 °C are the removal of monocarboxylate ligands and dehydroxylation of the Zr 6 cornerstones.24 However, increasing the Ti concentration in the post-synthetic metal results in the plateau increasing toward ideality, indicating that more Ti have been exchange in NH2-UiO-66 structure. The TGA plateau is in fact found to systematically increase with the ratio of Ti to Zr.25

 


Figure 3. TG spectra of Ti incorporated with NH2-UiO-66

 

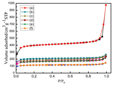
The N2 adsorption-desorption isotherm measurement and the pore-size was performed distribution curve are shown in Figure 4. We can see that the nitrogen adsorption capacity varies significantly depending on content of Ti.

 


Figure 4. N2 adsorptiondesorption isotherms of Ti incorporated with NH2-UiO-66

 

The specific BET surface area of 1227 m2 g-1 of NH2-UiO-66 and varied to 627,563,509,484,350 m2 g-1 with increasing of the Ti concentration, respectively.

NH2-UiO-66(Ti) presents the lowest BET of 350 m2 g-1. The decreased BET indicates that the pores in the NH2-UiO-66 nanocomposites are smaller than the parent NH2-UiO-66.26 Such phenomena are frequently observed over inorganic semiconductor solid solutions and suggest the substitution of larger Zr4+ in Zr-O oxo-clusters by smaller Ti4+, which results in the shrinking of the crystal lattice in the porous material.27

 

 

UV-vis measurements

The UV-visible absorption spectra are presented in Figure 5. It shows that two main absorption peaks at around 265 and 365 nm. The peak at 265 nm is ascribed to the absorption of Zr-O clusters in the NH2-UiO-66. The peak is broader than the unsubstituted NH2-UiO-66, this result may be attributed to the absorption of Ti-O oxo-clusters generated by Ti substitution in NH2-UiO-66.28 The main peak at 365 nm is ascribed to the ligand based absorption influenced by the nearby metal centers. However, these two peaks become broader and more intense after the titanium was incorporated into NH2-UiO-66.29 In addition, the UV-vis absorption edges of the as-prepared NH2-UiO-66(Ti) nanocomposites are shifted to longer wavelengths compared with that of NH2-UiO-66. The absorption bands in the near visible and visible regions in NH2-UiO-66(Ti) are mainly attributed to the ligand to metal charge transfer and can be assigned to the interaction between the ligand and substituted Ti.30

 


Figure 5. UV-vis spectra of Ti incorporated with NH2-UiO-66

 

XPS measurements

The X-ray photoelectron spectroscopy (XPS) is a highly sensitive technique to explore the chemical changes in the element surroundings. The XPS spectra of the elements of interest Zr3d, Ti2p, N1s, O1s are shown in Figure 6.The survey scan of the NH2-UiO-66 and NH2-UiO-66(Ti) was shown in Figure 6(a), new peaks associated with Ti2p appeared in the XPS spectrum of the UiO-66(Ti) composites, and their relative peak intensities to that of Zr3p increased with an increasing Ti content. These observations confirmed that the titanium moieties were successfully.The analysis Figure 6(c) of NH2-UiO-66(Ti) indicated a small shift in the binding energy of the Zr3d peaks (from 185.08 and 182.78 eV to 185.28 and 182.88eV,respectively).31 Figure 6(d) shows two peaks of the Ti2p region at 458.7 eV and 464.5 eV,corresponding to Ti2p3/2 and Ti2p1/2 respectively, The increasing Ti contents could be explained by the enhanced electron density around the O atoms. All these features imply that the titanium moieties be introduced to the framework of UiO-66 as electron donor via the formation of oxo-bridged hetero-Zr-Ti clusters.and provided that another confirmation of the successful incorporation of the Ti moiety in NH2-UiO-66.32

 


Figure 6. XPS spectra of Ti incorporated with NH2-UiO-66

 

SEM and TEM measurements

The morphology of NH2-UiO-66 and the NH2-UiO-66(Ti) nanocomposite were investigated by SEM. According to Figure 7, it can be clearly seen from (a) that NH2-UiO-66 nanocrystals were more angular, revealing the increased definition of facets and vertices that are common in larger crystals, indicating that the presence of the NH2 group on the organic linker affects the growth mechanism of the framework.33 The materials have the typical octahedral morphology, with homogeneous particle diameters about 200 nm. Obviously, NH2-UiO-66(Ti) retained the similar morphology as NH2-UiO-66.Furthermore, no obvious differences of the morphologies could be observed from the TEM images (g and h). These observations suggest that Ti was truly incorporated into the UiO-66 framework to replace Zr as skeleton.34 No change in the octahedral morphology of the crystals could be observed. Furthermore, EDS elemental analysis was also conducted to study the elemental distribution. The EDS spectrum of NH2-UiO-66(Ti) reveals N, Zr, Ti, and O elements.

 


Figure 7. SEM and TEM spectra of representative Ti incorporated with NH2-UiO-66

 

CO2 adsorption

The CO2 adsorption isotherms for NH2-UiO-66(Ti) are shown in Figure 8. All MOFs exhibited a type I isotherm, which is indeed characteristic of microporous materials. NH2-UiO-66(Ti)-0.2 and NH2-UiO-66(Ti)-0.4 samples presented higher CO2 adsorption than NH2-UiO-66 sample. And the two samples show the highest CO2 adsorption capacities.NH2-UiO-66(Ti)-0.6 has the similar adsorption capacity as NH2-UiO-66. The rate of 0.8 and 1.0 are lower than NH2-UiO-66. Considering the moderate BET surface area and pore volume of Titanium incorporated with NH2-UiO-66, it is likely that the high CO2 capacity is due to the average pore diameter being of an optimal size to confine CO2 molecules.35 This suggests that Zr in the original NH2-UiO-66 has been substituted by Ti. The Ti-O ring sterically hinders access to the stronger adsorption sites at the metal cluster.36 It is noted that Ti has produced a higher affinity for adsorption of CO2.37 Ti incorporated with NH2 functional groups can provide more CO2 adsorption sites and increase the affinity toward CO2.Several studies have been reported that the presence of micropores (<0.8 nm) in porous carbons showed superior CO2 adsorption capacity, particularly for CO2 capture at atmospheric pressure and room temperature. The results of CO2 adsorption indicate that not only the amount of defects but also their charge compensating groups within the materials have a marked effect on the loading of guest molecules.38,39 An important observation is the amount of uptake that occurs within the small cavities. This is remarkable considering that the small cavities of ~5 Å appear to have a large role in the uptake of CO2.The Titanium cooperated with NH2-UiO-66 herein illustrate the importance of reactive side groups, introduced in post-synthetic modifications, converted in high yields to functionalities through post-synthetic methods.40 Moreover, our work highlights the strategies of tailoring host-guest interactions through post-synthetic method, therefore, enabling applications in CO2 uptake.

 


Figure 8. CO2 adsorption isotherms of Ti incorporated with NH2-UiO-66

 

Metal organic framework NH2-UiO-66 fabricated with titanium was successfully prepared via a facial modified post synthesis method. Zr ions in NH2-UiO-66 were post synthetically exchanged with Ti ions at different loading rate. The Ti-exchanged NH2-UiO-66 enhanced CO2 adsorption could be attributed to the the substituted Ti center. This result clearly demonstrates that the Ti ions may decrease the pore sizes within the framework to be closer to the ideal pore sizes for CO2 adsorption,which are critical to the enhancing of the CO2 adsorption.

 

ACKNOWLEDGEMENTS

This work was supported by Funding of High Research for High Talents (BBXY2018KYQD08, BBXY2018 KYQD16) and the Project for Excellent Talents Visiting (No.gxfx2017134).

 

REFERENCES

1. Huang, Y. H.; Lo, W. S.; Kuo, Y. W.; Chen, W J.; Lin, C. H.; Shieh, F. K.; Chem. Commun. 2017, 43, 5818.

2. Zhou, H. F; Liu, B.; Hou, L.; Zhang, W. Y.; Wang, Y. Y.; Chem. Commun. 2018, 54, 456.

3. Zhu, S. Y.; Yan, B.; Dalton Trans. 2018, 47, 1674.

4. Hu, Z.; Zhao, D.; Dalton Trans. 2015, 44, 19018.

5. Han, Y. T; Liu, M.; Li, K. Y; Sun, Q.; Zhang, W. S.; Song, C. S.; Zhang, G. L.; Zhang, Z. C.; Guo, W; Inorg. Chem. Front. 2017, 4, 1870.

6. Yang, J.; Zhang, F. J.; Wang, X.; He, D. S.; Wu, G.; Yang, Q. H.; Hong, X.; Wu, Y.; Li, Y. D.; Angew. Chem. Int. Ed. 2016, 55, 12854.

7. Yao, B. J.; Jiang, W. L.; Dong, Y.; Liu, Z. X.; Dong, Y. B.; Chem. Eur. J. 2016, 22, 10565.

8. Zhong, Z. W; Pang, S. L.; Wu, Y. W.; Jiang, S.; Ouyang, J.; J .Chem. Technol. Biotechnol. 2017, 92, 1841.

9. Liu, J. L.; Zhu, D. D.; Guo, C. X.; Vasileff, A.; Qiao, S. Z.; Adv. Energy. Mater 2017, 1700518.

10. Taddei, M.; Dau, P. V.; Cohen, S. M.; Ranocchiari, M.; Bokhoven, J.; Costantino, F.; Sabatino, S.; Vivani, R.; Dalton. Trans. 2015, 44, 14019.

11. Zou, G. Z.; Hou, H. S.; Zhao, G. G.; Ge, P.; Yin, D. L.; Ji, X. B. J. Mater. Chem. A 2015, 6, 4839.

12. Ragon, F.; Chevreau, H.; Devic, T.; Serre, C.; Horcajada, P.; Chem. Eur. J. 2015, 21, 7135.

13. Wu, M. X.; Yang, Y. W.; Adv. Mater 2017, 29, 1606134.

14. Zhang, X. P; Sun, W. D; Du, H. T; Kong, R. M.; Qu, F. L.; Inorg. Chem. Front. 2018, 5344.

15. Wang, A. N.; Zhou, Y. J.; Wang, Z. L.; Chen, M.; Sun , L. Y.; Liu, X. RSC. Adv. 2016, 6, 3671.

16. Peng, Y. G.; Huang , H. L.; Zhang, Y. X.; Kang, C. F.; Chen, S. M.; Song, L.; Liu, D. H.; Zhong, C. L.; Nature Commun. 2018, 9, 187.

17. Sutrisna, P. D.; Hou, J. W.; Zulkifli, M. Y.; Li, H. Y.; Zhang, Y. T.; Liang, W. B.; DAless, D. M.; Chen, V.; J. Mater. Chem. A 2018, 6, 918.

18. Han, Y. T.; Liu, M.; Li, K. Y.; Zuo, Y.; Wei, Y. X.; Xu, S. T.; Zhang, G. L.; Song, C. S.; Zhang, Z. C.; Guo, X. W.; CrystEngComm. 2015, 17, 6434.

19. Hu, Z. G.; Nalaparaju, A.; Peng, Y. W.; Jiang, J. W.; Zhao, D.; CrystEngComm. 2015, 17, 6434.

20. Sadeghzadeh, S. M.; Zhiani, R.; Emrani, S.; New. J. Chem. 2018, 42, 988.

21. Anjum, M. W.; Vermoortele, F.; Khan, A. L.; Bueken, B.; DeVos, D.; Vankelecom, I.; ACS Appl. Mater. Interfaces. 2015, 5, 25193.

22. Xian, S. K.; Wu, Y.; Wu, J. L.; Wang, X.; Xiao, J.; Ind. Eng. Chem. Res. 2015, 54, 11151.

23. Nguyen, H.; Mao, L.; Peters, A. W.; Audu, C. O.; Brown, Z. J.; Farha, O. K.; Hupp, J. T.; Nguyen, S. T.; Catal. Sci. Technol. 2015, 5, 4444.

24. Shearer, G. C.; Chavan, S.; Ethiraj, J.; Vitillo, J. G.; Svelle, S.; Olsbye, U.; Lamberti, C.; Bordig, S.; Lillerud, K. P.; Chem.Mater 2014, 26, 4068.

25. Shearer, G. C.; Chavan, S.; Bordig, S.; Svelle, S.; Olsbye, U.; Lillerud, K. P.; Chem. Mater. 2016, 28, 3749.

26. Valenzano, L.; Civalleri, B.; Chavan, S.; Bordig, S.; Nilsen, M .H.; Jakobsen, S.; Lillerud, K. P.; Lamberti, C.; Chem. Mater 2011, 23, 1700.

27. Miao, Z. C.; Qi, C.; Wensley, A. M.; Luan, Y.;RSC Adv. 2016, 6, 67226.

28. Sun, D. R.; Liu, W. J.; Mei, Q. M.; Zhang, Y. F.; Li, Z. C.; Commun. 2015, 51, 2056.

29. Ghalei, B.; Sakurai, K.; Kinoshita, Y.; Wakimoto, K.; Isfahani, P.; Song, Q. L.; Doitomi, K.; Furukawa, H.; Hajime, H.; Kitagawa.S.; Sivaniah, E.; Nature Energy 2017, 2, 17086.

30. Karagiaridi, O.; Vermeulen, N. A.; Klet, R. C.; Wang, T. C.; Moghadam, P. Z.; Farha, O. K.; Inorg.Chem. 2015, 54, 1785.

31. Buragohain, A.; Biswas, S.; CrystEngComm. 2016, 18, 4374.

32. Sava, G. F.; Harvey, J.; Pearce, C.; Hall, M.; De Coste, Jared.; Kinnan, M.; Greathouse,J.; J.Mater.Chem.A 2018, 6, 3038.

33. Yang, J.M.; Ying, R. J; Han, C. X; Hu, Q. T; Xu, H. M.; Li, J. H.; Wang, Q.; Zhang, W.; Dalton Trans. 2018, 47, 3913.

34. Gao, X. C; Hai, X; Baigude, H.; Guan, W. H.; Liu,Z. L.; Scientific Reports 2016, 6, 37705.

35. Kaposi, M.; Cokoja, M.; Hutterer ,C. H.; Hauser, S. A.; Kaposi, T.; Klappenberger,F.;Pötg, A.; Barth, J.; Herrmanna, W.; Kühn, F. E.; Dalton Trans. 2015, 44, 15976.

36. Trickett, C. A.; Gagnon, K. J.; Lee, S.; Felipe, G.; Bîrgi , H. B.; Yaghi, O. M.; Angew. Chem. Int. Ed. 2015, 54, 11162.

37. Ye, G.; Qi, H.; Li, X. L.; Leng, K. Y.; Sun, Y. Y.; Xu, W.; ChemPhysChem. 2017, 18, 1903.

38. Gadipelli, S.; Guo, Z. X.; Chem. Mater 2014, 26, 6333.

39. Gascón,V.; Miguel, E. C.; García, M. D.; Blanco, R. M.; Sanchez, S. M.; J Chem Technol Biotechnol. 2017, 92, 2583.

40. Kronast, A.; Eckstein, A.; Altenbuchner, P.T.; Hindelang, K.; Vagin, S.; Rieger, B.; Chem. Eur. J. 2016, 22, 12800.

On-line version ISSN 1678-7064 Printed version ISSN 0100-4042
Qu�mica Nova
Publica��es da Sociedade Brasileira de Qu�mica
Caixa Postal: 26037 05513-970 S�o Paulo - SP
Tel/Fax: +55.11.3032.2299/+55.11.3814.3602
Free access

GN1