JBCS



8:18, sáb dez 6

Acesso Aberto/TP



Artigo


Influência da força iônica na estimativa de pKa por método voltamétrico
Influence of ionic strength in determination of pKa by voltammetry

Priscila A. Liberato; Astréa F. de S. Silva*; Leonardo L. Okumura; Juliana A. Diniz; André Fernando de Oliveira

Departamento de Química, Universidade Federal de Viçosa, 36570-900 Viçosa - MG, Brasil

Recebido em 27/04/2020
Aceito em 29/07/2020
Publicado na web em 10/09/2020

Endereço para correspondência

*e-mail: astrea@ufv.br

RESUMO

The voltammetry is an important analytical technique and also useful for pKa determination. It is a usual procedure of this technique to employ inert electrolyte concentration 100 times higher than redox compound concentration further a pH buffer. However, the ionic strength changes with the solution pH. In this work, we study the consequences of this procedure by using a model system, aniline. A differential pulse voltammetry was used with a glass carbon electrode in 4.0 x 10-3 mol L- 1 aniline, 0.04 mol L-1 Britton-Robinson Buffer, NaNO3 as inert electrolyte and pH from 2.0 up to 7.0. The first oxidation peak (0.67V ca.) was used. The pKa determination was performed by using intersection lines at Epeak versus pH. This method was also theoretically discussed for both the oxidant or reducing compound with Brönsted acid-base behavior. For the cited procedure, the ionic strength changed from 0.418 to 0.528 mol L-1, and the experimental pKa (5.691) was far from theoretical one (4.722), still a good fit of lines to experimental data. Using the correct procedure, the experimental pKa (4.938) was near the theoretical one. Therefore, we have proved the need for a more careful adjust of ionic strength in this application.

Palavras-chave: voltammetry; aniline; pKa; ionic; strength.

INTRODUÇÃO

A voltametria é uma técnica eletroanalítica na qual se mede a variação de corrente elétrica resultante da reação redox que ocorre na superfície de um eletrodo devido a aplicação de potencial elétrico controlado. Qualquer substância (moléculas, íon, radicais livres, etc.) passível de sofrer oxidação ou redução, dentro da janela de potencial aplicado, pode ser analisada por voltametria, possibilitando a quantificação de compostos químicos de interesse devido à relação da corrente elétrica com a concentração da espécie eletroativa.1

Além de possibilitar o estudo do comportamento oxi-redutivo da espécie de interesse, no caso particular de compostos com comportamento ácido-base de Brönsted, a voltametria pode ser utilizada para determinação da constante de acidez (pKa). Esse é um parâmetro físico-químico de grande importância para a estimativa da fração de equilíbrio das espécies (catiônicas, neutras ou aniônicas) presentes em equilíbrio. Consequentemente, ajuda a prever qual a espécie do sistema conjugado predominará em um pH específico.2-4 Essas espécies podem diferir em propriedades químicas e físicas como: solubilidade em água, interação com o adsorvente, seletividade da substância com outros compostos, reatividade, volatilidade e toxicidade.3,5-9

A determinação de pKa tem sido realizada com várias técnicas analíticas. A espectrofotometria UV-visível é um dos métodos mais utilizados para estimativa de pKa, no entanto, no caso de compostos pouco solúveis em água, muitas vezes há dificuldade em se encontrar solventes orgânicos polares ou apolares que não absorvam radiação no mesmo comprimento de onda do analito. A potenciometria também é muito utilizada para determinação do pKa de compostos. Porém, para sistemas com baixa solubilidade em água é necessário o uso mistura de solventes (água + solvente orgânico) e, assim, o desenvolvimento de uma escala de pH adequada a mistura de solvente utilizada. O método requer cálculos extensos e o conhecimento de propriedades físico-químicas das soluções, incluindo densidades, constantes dielétricas e pKsolvente (constante de autoprotólise).10

A voltametria se torna particularmente útil na determinação de pKa de compostos pouco solúveis em água, sendo possível trabalhar com soluções preparadas em solvente misto (água + solvente orgânico) em proporções de até 60% de solvente orgânico.11 Mesmo que o solvente orgânico seja eletroativo, basta que o valor de potencial redox do solvente seja distinto e de preferência maior do que o valor referente ao composto de interesse.1 As técnicas voltamétricas mais utilizadas para determinação do pKa são a voltametria cíclica (CV), voltametria de pulso diferencial (DPV) e voltametria de onda quadrada (SWV).12-16

Cavanilhas et al.12 determinaram o pKa1 e pKa2 do captopril, fármaco usado para tratamento da hipertensão arterial em casos de insuficiência cardíaca. Os valores obtidos foram 3,94 e 10,09, respectivamente, em solução de KNO3 (0,1 mol L-1), com eletrodo de carbono vítreo, o que está em boa concordância com os valores obtidos por UV-visível e potenciometria. Afkhami et al.13 estimaram em 6,78 o pKa do anabolizante sintético oximetalona em etanol 75:25 (v/v) usando tampão BR e eletrodo de carbono vítreo modificado com nanotubos de paredes múltiplas. Lima et al.14 estudaram a influência do pH no potencial de pico da sulfentrazona em força iônica 0,2 mol L-1. Foram utilizados DPV e eletrodo de carbono vítreo modificado com nanotubos de paredes múltiplas.

Jovanović et al.15 estimaram em 9,98 o pKa da capsaicina, componente ativo das pimentas do gênero Capsicum. Os autores usaram SWV, eletrodo de trabalho de grafite suportado em parafina e como eletrólito KNO3 0,1 mol L-1. Karadas et al.16 estimaram em 9,0 o pKa do anticancerígeno irinotecan usando SWV, tampão BR 0,04 mol L-1 e eletrodo de carbono vítreo modificado com azul de metileno/nanotubos de carbono de paredes múltiplas.

Como em qualquer outro método utilizado para estimativa do pKa em voltametria é necessário o controle de alguns parâmetros experimentais, entre eles: temperatura, constante dielétrica do solvente e força iônica da solução.17 Em todos os exemplos citados, independentemente do valor do pH, foi utilizado o procedimento tradicional em voltametria que utiliza a concentração do eletrólito igual a 100 vezes a concentração analítica do composto eletroativo. A metodologia empregada para determinar o pKa consistiu na variação do pH das soluções do composto com comportamento ácido-base de Brönsted, dentro de uma faixa de interesse, e o deslocamento do potencial de pico (Ep) de oxidação ou redução da espécie eletroativa.12-19

Dessa maneira, o objetivo deste trabalho foi estudar a influência da força iônica na estimativa do pKa de compostos com comportamento ácido-base de Brönsted por voltametria de pulso diferencial, usando como composto modelo a anilina. Esse estudo foi realizado por duas maneiras diferentes de ajuste da força iônica: com o método tradicional em voltametria e com o ajuste da força iônica para um valor fixo por adição de um eletrólito, considerando todas as espécies iônicas presentes em solução.

Adicionalmente, os trabalhos que empregam essa metodologia para estimativa de pKa, no melhor de nosso conhecimento, não explicam de maneira clara a relação teórica entre a variação de potencial de pico Ep e o valor de pKa. Dessa maneira, neste artigo, inicialmente foram abordados aspectos teóricos importantes para explicar tal relação.

 

ASPECTOS TEÓRICOS

Determinação de pKa baseado na variação do potencial de pico em função do pH

O potencial elétrico em qualquer ponto de um voltamograma pode, a priori, ser descrito pela equação de Nernst20 considerando uma semi-reação do tipo;

na qual HOx(Om/2) representa a espécie na forma oxidada; HRed representa a forma reduzida; a, m, n e b representam coeficientes estequiométricos.

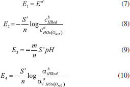
Na Equação 2, Eº' representa o potencial padrão condicional, que engloba os termos de coeficiente de atividade e os potenciais de junção. O parâmetro S' representa a inclinação nernstiana condicional, que considera os mesmos fatores da inclinação S (Equação 3) e também eventuais fatores associados à cinética envolvida, transporte etc.,

ou seja:

As concentrações no equilíbrio da espécie oxidada e da espécie reduzida, que possuem comportamento ácido-base de Brönsted, estão relacionadas com a concentração analítica do sistema conjugado por meio do parâmetro fração de equilíbrio α, de acordo com a Equação 5:

na qual [A] representa a concentração no equilíbrio da espécie oxidada ou espécie reduzida; ci representa a concentração analítica do sistema; ai representa a fração de equilíbrio da espécie, sendo que a convenção de numeração das frações inicia com n igual a zero para a espécie totalmente protonada. Com base nessas considerações, a Equação 2 pode ser reescrita como:

Cada parcela da Equação 6, por sua vez, pode ser associado a um parâmetro Ex, sendo então separada em quatro termos. Considerando:

A Equação 6 pode ser reescrita como

na qual E3 e E4 representam, respectivamente, termos de influência direta e indireta sobre o pH.21

A Equação 6 é adequada independentemente do número de prótons que possam ser liberados (ou recebidos) no sistema ácido-base de Brönsted do redutor ou do oxidante, uma vez que a fração de equilíbrio é função apenas do pH e das constantes de acidez (pKa).

Para o caso de um sistema monoprótico:

Na Figura 1A é apresentado um exemplo de diagrama de distribuição de espécies para um sistema com comportamento ácido-base de Brönsted cujo pKa igual a 4,6 e na Figura 1B, o mesmo diagrama em escala logarítmica.

 


Figura 1. Diagramas de distribuição de espécies em função do pH para um sistema com comportamento ácido-base de Brönsted com pKa igual a 4,6. (A) escala linear (B) escala logarítmica

 

A forma oxidada e a forma reduzida podem ou não apresentar comportamento ácido-base de Brönsted. Em caso positivo, a soma dos termos E1, E2 e E3 da Equação 10 explicará apenas parcialmente a dependência do potencial medido com o pH do meio. A contribuição do termo E4 é importante nesse caso.

Em relação ao termo E4, tanto pela interpretação da Figura 1B quanto pela análise matemática das Equações 13 e 14, pode-se observar que quando αi tende a zero, log αi aumenta ou diminui linearmente com o pH. Quando αi tende a 1, log αi tende a zero. Assim, a função linear na região antes do ponto onde pH é numericamente igual ao pKa apresentará uma inclinação diferente da função linear após esse ponto.

Pode-se então generalizar a resposta E versus pH mediante a Equação 15:

Embora a região não linear entre esses dois comportamentos esteja no intervalo próximo a pKa ± 1, o cruzamento das extrapolações das duas regiões lineares ocorre no valor de pH numericamente igual ao pKa do sistema envolvido.

As inclinações (I) de cada região, "antes" e "depois" do valor de pKa podem ser deduzidas a partir da combinação das Equações 9, 10, 13 e 14. Na Tabela 1 são apresentados valores de inclinação considerando apenas um sistema ácido-base de Brönsted, tanto para a forma oxidada quanto para a forma reduzida. Quando ambas as formas têm comportamento ácido-base, os valores de pKa de cada sistema são muito importantes para definir a curva obtida e esta deve ser analisada caso a caso.

 

 

A Equação 16 representa o equilíbrio ácido base da anilina, que em solução aquosa se comporta como um sistema ácido-base de Brönsted monoprótico:

cujo valor de pKa termodinâmico (força iônica µ = 0) é igual a 4,601.22

Diversos mecanismos para explicar a oxidação da anilina e os possíveis produtos gerados têm sido propostos.23-25 Segundo os autores, o pH do meio reacional influencia fortemente o tipo de subproduto obtido no processo de oxidação. Mediante a abstração de um elétron da anilina neutra, deve ocorrer a formação de um intermediário cátion radical, o qual pode passar por diferentes tipos de acoplamento, levando a formação de p-aminofenilamida, benzidina, azobenzeno etc. Parece haver um consenso em relação à primeira etapa do processo, radicalar, com a abstração de um elétron:

A formação do dímero apresentado na Equação 18 foi provada por Bacon.26

 

PARTE EXPERIMENTAL

Reagentes

Todos os reagentes utilizados nesse trabalho foram de grau analítico de pureza (P. A.) e não foram submetidos a nenhum processo posterior de purificação. O ácido clorídrico 1,00 mol L-1 e tampão Britton Robson (BR) 0,04 mol L-1 foram utilizados para ajuste do pH, respectivamente, nos estudos exploratórios iniciais e no estudo da influência da força iônica por voltametria de pulso diferencial. O tampão Britton Robson foi preparado a partir da mistura de quantidades apropriadas de soluções estoque padronizadas de ácido fosfórico 0,9897 mol L-1, ácido bórico 0,5059 mol L-1 e ácido acético 1,334 mol L-1 e hidróxido de sódio 8 mol L-1 para o valor de pH desejado no intervalo compreendido entre 2,00 e 7,00, com variações de 0,5000 unidades de pH.

A padronização do ácido cítrico, fosfórico e acético, que compõem o tampão BR, foi realizada com os padrões primários Riedel-De-Haenag tetraborato de potássio deca-hidratado, ftalato ácido de potássio e indicador fenolftaleína da Sigma-Aldrich®, seguindo as recomendações da literatura.27 O cloridrato de anilina (> 99%) usado como composto modelo neste trabalho, foi obtido da Sigma-Aldrich®. Os demais reagentes mencionados foram de procedência da Vetec.

A força iônica das soluções foi ajustada de duas maneiras, denominadas de condição A e B:

Condição A: Desta maneira, para solução de cloridrato de anilina 4,00 x 10-3 mol L-1 no intervalo de pH compreendido entre 2,00 e 7,00 (ajustado com tampão BR) foi realizada a adição de massa necessária do eletrólito nitrato de sódio de maneira que a concentração na solução final de NaNO3 fosse de 0,400 mol L-1. Para cada valor de pH foi preparada também uma solução em branco com todas as espécies mencionadas exceto o cloridrato de anilina.

Condição B: Para cada valor de pH no intervalo de 2,00 à 7,00 ajustado com tampão BR foi realizada a adição de massa de eletrólito necessária para manter a força iônica µ final da solução em um valor constante igual 0,5000 mol L-1, considerando nessa situação, a contribuição de todas as espécies ionizadas presentes na solução, sendo estas provenientes da solução - tampão, da solução de hidróxido de sódio e do cloridrato de anilina 4,00 x 10-3 mol L-1. Para cada valor de pH foi preparado uma solução em branco com todas as espécies mencionadas exceto o cloridrato de anilina.

Instrumentação

As medidas voltamétricas foram realizadas em temperatura de (25±1) °C em um potenciostato/galvanostato μAutolab Type III (Eco-Chemie, Utrecht, Países Baixos) interfaciado a um computador pelo software GPES (versão 4.9), utilizando uma célula eletroquímica de aproximadamente 50 mL com arranjo de três eletrodos, sendo um eletrodo de trabalho de carbono vítreo (GCE) com área superficial de 0,127 cm2, um eletrodo auxiliar de platina e um eletrodo de referência Ag|AgCl,KCl (3,0 mol L-1), todos da Metrohm. O polimento da superfície do eletrodo de trabalho foi realizado por 1 minuto antes de cada medida utilizando-se um feltro metalográfico contendo uma suspensão de α-alumina de granulometrias 0,3 e 0,05 μm (Buehler, EUA).

A voltametria cíclica (CV) foi realizada em uma janela de potencial entre 2,0 V e - 2,0 V vs Ag|AgCl, KCl (3 mol L-1) a uma velocidade de varredura de 100 mV s-1, com soluções que continham apenas o analito (4,0 x 10-3 mol L-1) e o eletrólito (NaNO3 0,4 mol L-1). O pH das soluções foi ajustado para 3,5 com HCl.

Para as condições A e B de ajuste de força iônica, a varredura de potencial na técnica voltametria de pulso diferencial (DPV) foi realizada no intervalo de zero a +1,7 V vs Ag|AgCl, KCl, 3 mol L-1. Os parâmetros usados foram: velocidade de varredura (v) 20 mV s-1, amplitude de pulso (A) 175 mV e tempo de pulso (tp) 5 ms.

O pH de todas soluções foi aferido com pHmetro Metrohm modelo 827PLab e eletrodo de vidro combinado previamente calibrado a 25 ºC, em temperatura de (25±1) °C.

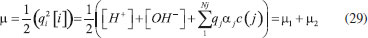
Cálculos da força iônica em cada condição experimental

A solução formada pelo cloridrato de anilina em meio de tampão BR e nitrato de sódio como eletrólito inerte pode ser descrita pelas equações químicas apresentadas nas Equações 18 a 27. As equações 20, 22 e 23 representam processos de dissociação completa, respectivamente, do cloridrato de anilina, hidróxido de sódio e nitrato de sódio. As equações 19, 21 e 24-28 representam respectivamente os equilíbrios de autoionização da água, equilíbrios ácido base da anilina e dos componentes do tampão BR.

A força iônica foi calculada a partir da Equação 29:

A força iônica total em cada condição foi dividida em duas contribuições. A primeira (µ1), associada aos componentes do tampão BR, anilina e água, e a segunda (µ2), associada ao eletrólito inerte, nitrato de sódio. Para a condição A, o cálculo de µ2 por sua vez, considerou apenas a contribuição do eletrólito nitrato de sódio em concentração equivalente a 100 vezes a concentração do cloridrato de anilina. Para a condição B, o valore de µ2 foi obtido pela diferença entre a força iônica desejada, igual a 0,500 mol L-1 e a contribuição µ1

Na Equação 30b, os símbolos P, B, C e N apresentados como superíndices nos valores de α, são representações para distinguir entre os sistemas fosfato, borato, acetato e anilina, respectivamente.

Cálculo do valor de pKa teórico esperado para força iônica µ = 0,500 mol L-1

Para fins de comparação e avaliação da qualidade dos resultados obtidos experimentalmente, o valor de pKa teórico em µ = 0,500 mol L-1 foi obtido graficamente por ajuste polinomial dos valores disponíveis de pKa versus . Os valores usados nesse ajuste foram aqueles criticamente selecionados na literatura por Martell & Smith.22

 

RESULTADOS E DISCUSSÃO

Estudos exploratórios com cloridrato de anilina por voltametria cíclica (CV) e voltametria de pulso diferencial (DPV)

Foi realizado um estudo por voltametria cíclica para averiguar a resposta eletroquímica do sistema anilina com o eletrodo de trabalho de carbono vítreo. O voltamograma cíclico (CV) para a anilina (Figura 2a) exibiu um comportamento não reversível, apresentando dois picos de oxidação em 0,900 V (Pico 1, Ep1) e 1,154 V (pico 2, EP2) de menor intensidade que Ep1 e um pico de redução com intensidade de corrente também menor que Ep1 em - 0,635 V (pico 3). O voltamograma do branco não apresentou pico de oxidação ou redução, confirmando que o eletrólito não sofre processo redox na janela de potencial estudada.

 


Figura 2. a) Voltametria cíclica e b) voltametria de pulso diferencial na ausência (-) e na presença () de cloridrato de anilina 4,00 x 10-3 mol L-1 em solução de NaNO3 0,400 mol L-1, pH = 3,50, ajustado com HCl

 

Para o estudo por voltametria de pulso diferencial foram utilizadas as condições experimentais descritas por Fulgêncio et al.27 para um composto de estrutura similar à anilina (3,5 - dicloroanilina) também usando eletrodo de carbono vítreo e não aquela sugerida por Hernandez et al.28 que trabalharam com eletrodo de pasta de carbono.

Os picos 1 e 2 da anilina protonada sofrem deslocamento de potencial quando se compara os resultados obtidos por CV e DPV. Na Figura 2, verifica-se que o pico 1 variou de 0,900 V para 0,666, enquanto o pico 2 variou de 1,154 para 1,245 V. Para o pico 1, menor energia foi necessária para a oxidação da anilina ao utilizar a DPV. Para o pico 2, observa-se o inverso.

Estudo do comportamento eletroquímico do sistema anilina por DPV com a variação do pH

O perfil geral da família de voltamogramas de pulso diferencial obtidos em diferentes valores de pH das duas condições foi similar, sendo apresentada na Figura 3 apenas a condição A. Nessa Figura observa-se que os potenciais de pico anódico Ep1 e Ep2 e as correntes de pico anódica Ip1 e Ip2 variavam com o pH. O potencial de pico anódico Ep1 teve um deslocamento para potenciais mais próximos do zero com o aumento do pH, como esperado pelo efeito direto do pH sobre o potencial de pico (Equação 9). Em relação ao segundo pico, Ep2, o comportamento foi mais complexo e será discutido a posteriori.

 


Figura 3. Voltamogramas de pulso diferencial com solução de cloridrato de anilina 4,0 x 10-3 mol L-1 em tampão BR 0,04 mol L-1 e ajuste de força iônica pela condição A. Variação crescente do pH indicada pela seta

 

Na Figura 4 são apresentados a variação do potencial de pico anódico Ep1 em função do pH para as condições de força iônica A e B.

Para a condição A (Figura 4A), as retas foram obtidas por modelos de regressão linear simples, pois o gráfico do desvio padrão de pico em cada ponto não apresentou correlação com o pH. A qualidade do ajuste, assim como a faixa adequada, foi verificada por gráficos de resíduos.

 


Figura 4. Relação entre deslocamento do potencial de pico anódico 1 (Ep1) da anilina protonada (4,0 x 10-3 mol L-1) em tampão BR 0,04 mol L-1 com a variação do pH: (A) Ajuste de força iônica pela condição A e (B) Ajuste de força iônica pela condição B

 

Na Tabela 2 são apresentados os valores de inclinação e termo constante das curvas ajustadas. Os valores de pKa estimados pela intersecção das retas são apresentados na Tabela 3.

 

 

 

 

Para a condição B (Figura 4B), a faixa utilizada para calcular o modelo de regressão compreendeu os 5 primeiros valores de pH menores que o pKa, no entanto não foram considerados dois pontos antes da região de intersecção das retas. Para a faixa de valores de pH maiores que pKa, os quatro últimos pontos foram utilizados. A análise de resíduos indicou a presença de outlier no pH 5,5 (o seu resíduo foi maior que três vezes o desvio padrão dos resíduos) e o valor foi retirado do tratamento. Foi utilizado um modelo de regressão linear ponderado utilizando a recíproca da estimativa da variância em cada ponto, pois, ao contrário da condição A, observou-se uma correlação positiva significativa entre o desvio padrão do potencial de pico e o pH.

As informações da Tabela 1 resumem o procedimento de cálculo da razão teórica entre as inclinações "antes" e "depois" do valor do pKa para as formas oxidada e reduzida.

As inclinações (I) da Equação 15 obtidas "antes" e "depois" são explicadas em função do sistema ácido-base envolvido, podendo assumir os valores descritos na Tabela 1.

Supondo que apenas a espécie reduzida tem comportamento ácido-base de Brönsted e a espécie do sistema que participa da oxidação é anilina neutra (α1), a razão entre as inclinações deve descrita pela Equação 32:

Considerando a validade da semirreação proposta na Equação 18, que envolve a transferência de 2 prótons e 2 elétrons, bem como o coeficiente estequiométrico da anilina é igual a 2, a razão entre as inclinações deverá ser igual a 2. Os resultados da Tabela 2 mostram que na condição A, o valor obtido foi bastante menor (1,41) em comparação com aquele obtido para a Condição B (1,64). O valor obtido na Condição B não varia significativamente de 2, a nível de 95% de confiança.

Cálculo do valor estequiométrico teórico de pKa

A Figura 5 apresenta os valores de pKa criticamente selecionados por Martell e Smith,22 a 25 °C em função da força iônica. Foi obtido um modelo de regressão polinomial em função do quadrado da força iônica. O termo linear não foi significativo e então o modelo linear em função da força iônica foi obtido e apresentado na Equação 33.

 


Figura 5. Influência da força iônica no valor de pKa da anilina de acordo com os valores da literatura criticamente selecionados por Martell e Smith22

 

O modelo obtido pode ser explicado pela relação entre a constante estequiométrica, a termodinâmica e os coeficientes de atividade das espécies, de acordo com a Equação 34:

Dessa maneira, a Equação 35 mostra que a variação observada depende do coeficiente de atividade da espécie neutra (a molécula de anilina):29,30

Comumente, os coeficientes de atividade de espécies neutras são expressos como função da força iônica:

na qual o termo k é também usualmente positivo para espécies neutras (efeito 'salting in'), tais como ácido acético (0,066); ácido benzóico (0,191); ácido salicílico (0,196). Dessa maneira, o valor observado (0,206) é razoável.

A variação da força iônica em função do pH para a condição A é apresentada na Figura 6. Os valores de força iônica foram calculados mediante a Equação 29. A força iônica variou entre 0,428 e 0,518 mol L-1. Considerando esse intervalo e mediante a Equação 33, determinou-se que a variação média teórica admitida para a constante estequiométrica na condição A é 4,708 < pKa < 4,725. Para a condição B, na qual, independentemente do valor de pH, o valor da força iônica é constante e igual a 0,500 mol L-1, o valor estequiométrico teórico de pKa calculado pela Equação 33 é igual a 4,722.

 


Figura 6. Variação da força iônica (µ) para a condição A e de pKa teórico em função do pH. (○) força iônica calculada pela Equação 28; (■) pKa calculado pela Equação 33

 

Na Figura 6 é possível constatar que prática usual de empregar a concentração do eletrólito em pelo menos cem vezes a concentração da espécie de interesse (condição A) não é suficiente para manter a força iônica da solução constante. A variação observada nos valores de µ (entre 0,428 e 0,518 mol L-1) é devido à variação de µ1, que considera os sistemas ácido-base de Brönsted no meio (fosfato, anilina, acetato e borato), e que variou entre 0,028 a 0,118 mol L-1, uma vez que as concentrações no equilíbrio dos íons com diferentes cargas varia com o pH.

Comparação entre os valores de pKa teórico e experimentais

Na Tabela 3 são comparados os valores de pKa determinados experimentalmente pelo método de intersecção das retas Epico x pH com os valores de pKa teóricos calculados pela Equação 33.

Para a condição A, na qual a força iônica µ varia entre 0,428 e 0,518 mol L-1, o pKa experimental foi igual a 5,691. A variação teórica admitida para o pKa nessa condição (0,017 unidades) é muito inferior à variação observada experimentalmente nas condições limites de força iônica (entre 0,983 e 0,966 unidades) porque há uma variação gradual da força iônica do meio com a variação do pH, causando um erro sistemático nas retas obtidas. Foi possível avaliar que o erro na estimativa do pKa variou entre 20 e 21%.

Para a condição B, na qual a força iônica µ é mantida constante em 0,500 mol L-1, independentemente do valor do pH, o valor de pKa estimado pela intersecção das retas Epico versus pH foi igual a 4,938, diferindo apenas 0,216 unidades em relação ao valor teórico, um erro de 4,6%. É importante ressaltar que o objetivo deste artigo não foi obter a constante de equilíbrio com elevada exatidão, mas sim comparar os procedimentos A e B para ajuste de força iônica, mostrando que a exatidão na determinação pela condição A pode ser menor do que aquela obtida pela condição B e os resultados obtidos evidenciam essa diferença.

O segundo pico observado no voltamograma da Figura 3 está associado a outros processos oxidativos e não está diretamente relacionado à anilina. Aparentemente, há mais de um sistema ácido-base de Brönsted envolvido, uma vez que há uma alteração no sinal da inclinação.

 

CONCLUSÕES

Foi possível mostrar que o procedimento usual em voltametria no qual o eletrólito inerte é usado em concentração igual a 100 vezes o composto de interesse causa um erro sistemático na determinação do pKa. A força iônica do meio em diferentes valores de pH foi calculada considerando-se além do eletrólito inerte, as concentrações no equilíbrio da espécie química com comportamento redox e dos componentes do sistema tampão. Observou-se variação da força iônica entre 0,418 e 0,528 mol L-1 no intervalo de pH de 2,0 a 7,0.

Para a determinação do pKa foi utilizado o método da intersecção das retas no gráfico de Epico versus o pH. Para isso, o método foi discutido teoricamente, permitindo explicar o comportamento para diferentes condições, tais como se a espécie eletroativa é a protonada ou a desprotonada, assim, como se ela age como agente oxidante ou redutor. Além disso, a expressão geral foi deduzida.

Ainda que o pKa estequiométrico teórico do sistema ácido-base de Brönsted da anilina varie apenas entre 4,708 e 4,725 naquele intervalo de força iônica, o valor de pKa experimental foi muito distante (5,691).

Tendo em vista a proximidade entre os valores de pKa estimado e pKa teórico foi possível propor que a espécie eletroativa é a espécie neutra do sistema ácido-base de Bronsted da anilina, bem como a participação de dois elétrons e dois prótons na semi-reação proposta.

Utilizando o procedimento experimental em que a força iônica é ajustada adequadamente em 0,500 mol L-1 em cada valor de pH, o valor de pKa experimental determinado 4,938 é bastante próximo ao valor teórico estequiométrico (4,722).

O valor teórico da constante estequiométrica foi obtido pelo ajuste de um modelo quadrático dos valores criticamente selecionados na literatura em relação à força iônica. Adicionalmente à determinação desse valor, foi verificada a influência da atividade da anilina neutra no sistema.

Conclui-se, portanto, que para a determinação de pKa por método voltamétrico, o ajuste da força iônica deve ser realizado em cada valor de pH, com o cálculo da força iônica considerando todas as espécies dos sistemas ácido-base de Brönsted e eventualmente complexos.

 

AGRADECIMENTOS

Os autores agradecem à CNPq e à CAPES pela concessão de bolsas de estudo para P. A. L. e J. A. D.

 

REFERÊNCIAS

1. Bard, A.; Falkner, L. R.; Eletrochemical Methods: Fundamentals and Applications, 2nd ed., John Wiley & Sons: New York, 2001.

2. Qiang, Z.; Adams, C.; Water Res. 2004, 38, 2874.

3. Pandey, M. M.; Jaipal, A.; Kumar, A.; Malik, R.; Charde, S.Y.; Spectrochim. Acta, Part A 2013, 115, 887.

4. Kantar, C.; Mavi, V.; Baltas, N.; Islamoglu, F.; Sasmaz, S.; J. Mol. Struct. 2016, 1122, 88.

5. Jover, J.; Bosque, R.; Sales, J.; QSAR Comb. Sci. 2008, 27, 563.

6. Senior, S. A.; Nassar, A. M.; Int. J. Quantum Chem. 2012, 112, 683.

7. Zhang, Z. Y.; Lan, H. C.; Liu, H.; Qu, J.; Colloids Surf., A 2015, 471, 133.

8. Cheng, H. Y.; Song, D. A.; Liu, H.; Qu, J.; Chemosphere 2015, 136, 297.

9. Song, D.; Sun, H.; Jiang, X.; Kong, F.; Qiang, Z.; Zhang, A.; Liu, H.; Qu, Jiuhui.; J. Mol. Struct. 2018, 1152, 53.

10. Box, K. J.; Völgy, G.; Ruiz, R.; Comer.; J. E.: Krisztina, T. N.; Bosch, E.; Rafols, C.; Rosés, M.; Helv. Chim. Acta. 2007, 90, 1538.

11. Aleixo, H.; Okumura, L.L.; Gurgel, A.; Silva, A. F. S.; Diniz, J.; Anal. Methods 2019, 11, 1743.

12. Cavanillas, S.; Serrano, N.; Cruz, J. M. D.; Arino, C.; Esteban, M.; Analyst 2013, 138, 2171.

13. Afkhami, A.; Ghaedi, H.; Madrakian, T.; Nematollahi, D.; Mokhtari, B.; Talanta 2014, 12, 1.

14. Lima, A. C. A.; Melo, A. M.; Pires, E. V.; Ferreira, R. C. S.; Sant'ana, A.E.G.; Goulart, M.D.; Abreu, F. C.; Chemosphere 2010, 81, 884.

15. Jovanović, I. N.; Cižmekb, L.; Komorsky-Lovrić, Š.; Electrochim. Acta 2016, 208, 273.

16. Karadas, N.; Sanli, S.; Akmese, B.; Dogan-Topal, B.; Can, A.; Ozkan, S. A.; Talanta 2013, 115, 911.

17. Harned, H. S.; Owen, B. B.; The Physical Chemistry of Elecrolytic Solutions, 3rd ed., Reinhold Publishing Corporation: New York, 1958.

18. Reijenga, J.; Hoof, A.; Loon, A.; Teunissen, B.; Anal. Chem. Insights 2013, 8, 53.

19. Pacheco, L. C. M.; De Souza, D.; De Lima-Neto, P.; Correia, A. N.; Electroanalysis 2010, 22, 2502.

20. Elgrishi, N.; Rountree, K. J.; McCarthy, B. D.; Rountree, E. S.; Eisenhart, T.T.; Dempsey, J.; J. Chem. Educ. 2018, 95, 2, 197.

21. Oliveira, A. F.; Química de soluções - Avaliação de Equilíbrio Químico em Solução Aquosa, Editora da Universidade Federal de Viçosa: Viçosa, no prelo.

22. Martell, A. E.; Smith, R. M.; Critical Stability Constants 2nd supplement part 6, Springer: New York, 1989.

23. Sousa, R. A.; Araújo, O. A.; Freitas, P. S.; De Paoli, M. A.; Quim. Nova 2003, 26, 938.

24. Hand, R. C.; Nelson, R. F.; J. Am. Chem. Soc. 1974, 96, 850.

25. Hand, R. C.; Nelson, R. F.; J. Electrochem. Soc. 1978, 125, 1059.

26. Bacon, J.; Adam, R. N.; J. Am. Chem. Soc. 1968, 20, 6596.

27. Fulgêncio, A. C. C.; Saczk, A. A.; Oliveira, M. F.; Okumura, L. L.; Food Anal. Methods 2013, 7, 31.

28. Hernandez, L.; Hernandez, P.; Sosa Ferrera, Z.; Z. Anal. Chem. 1988, 329, 756.

29. Kotrlý, S.; Sucha, L.; Handbook of Chemical Equilibria in Analytical Chemistry, 1st ed., Ellis Horwood Ltd.: Chichester, 1985.

30. Langmuir, D.; Aqueous Environmental Geochemistry, 1st ed., Prentice Hall: New Jersey, 1997.

On-line version ISSN 1678-7064 Printed version ISSN 0100-4042
Qu�mica Nova
Publica��es da Sociedade Brasileira de Qu�mica
Caixa Postal: 26037 05513-970 S�o Paulo - SP
Tel/Fax: +55.11.3032.2299/+55.11.3814.3602
Free access

GN1